|
| |
|
| 0) |
le dimanche 1 décembre 2002
|
Catégorie : Histoire |
Type : Revue périodique |
FPPR, avenue E. Parmentierlaan 48, 1150 Bruxelles
Revue FPPR n°1 (décembre 2002)
Nicolas Bieliavsky Fondation pour la Préservation du Patrimoine Russe dans l'Union Européenne Sommaire : Présentation générale de la Revue. Daniel Stevens, Président de la Fondation Editorial de la Rédaction. Nicolas Bieliavsky, Directeur de la Rédaction La FPPR, son histoire — ses buts — ses projets concrets. Deux exemples de son action. Daniel Stevens, Président de la Fondation Novgorod le Grand. Anatomie d'une métropole médiévale russe. Jean Blankoff, Professeur honoraire à l'ULB La mission de protection de la Famille Impériale en Crimée par un commando d'officiers du régiment de la Garde Impériale de Pétrograd. Serge Apoukhtine. Introduction, traduction et notes de Nicolas Bieliavsky. Classification des archives placées en dépôt ou donnée au Musée Royal de l'Armée et d'Histoire Militaire par des personnes ayant émigré de Russie entre 1917 et 1940. Nicolas Bieliavsky Du bon voisinage à la coopération. Brève réflexion sur le dialogue euro-russe. Laetitia Spetschinsky, Assistante de recherches à l'Institut d'Etudes Européennes, UCL.
Note : ce numéro étant épuisé, une copie scannée au format image .jpg est offerte en album d'images.
Siège social : avenue E. Parmentierlaan, 48 - 1150 Bruxelles Présidence : Nicolas Bieliavsky | courriel : nbieliavsky at skynet dot be | tél. : +32 (0)60 39 10 27 Secrétariat : André Schorochoff | courriel : a.schoro at skynet dot be | tél. : +32 (0)2 384 37 40 Banque : ING 310-1446138-51 (IBAN: BE75310144613851 BIC: BBRUBEBB)
Сайт/Site : http://www.e-federations.com/revue/revue-Album-Images.htm
|
Liste
des titres des 146 enregistrements
contenant
« FPPR » :
1)
FPPR - Assemblée générale ordinaire 2026.
[2026-05-27 | 1050 Bruxelles (Ixelles)]
2)
L'élimination de la Garde Impériale, préalable au succès de la révolution russe de 1917.
[2026-05-27 | 1050 Bruxelles (Ixelles)]
3)
Nicolas II et Raspoutine, une histoire russe, par Alexandre Jevakhoff.
[2026-03-04 | 1000 Bruxelles ]
4)
Les décembristes 1825-2025.
[2025-12-02 | 1000 Bruxelles ]
5)
Calendrier d'événements à caractère culturel russe. Décembre 2025.
[2025-12-01 | 6060 Charleroi (Gilly)]
6)
Calendrier d'événements à caractère culturel russe. Novembre 2025.
[2025-11-01 | 6060 Charleroi (Gilly)]
7)
Voyage à Paris. Musée d'Orsay : Exposition Paul Troubetzkoy | Musée des Cosaques : Visite guidée Pierre Kouteynikoff.
[2025-10-25 | F-92400 Courbevoie/F-75007 Paris]
8)
Calendrier d'événements à caractère culturel russe. Octobre 2025.
[2025-10-01 | 6060 Charleroi (Gilly)]
9)
FPPR - Assemblée générale ordinaire 2025.
[2025-06-16 | 1050 Ixelles (Bruxelles)]
10)
Le Lac Baïkal « Perle de Sibérie ».
[2025-02-05 | 1000 Bruxelles ]
11)
Calendrier d'événements à caractère culturel russe. Février 2025.
[2025-01-28 | 6060 Charleroi (Gilly)]
12)
60 icônes de la Mère de Dieu.
[2024-12-04 | 1000_Bruxelles ]
13)
mi-novembre 2024 => Calendrier d'événements à caractère culturel russe.
[2024-11-14 | 6060 Charleroi (Gilly)]
14)
Dorothée de Lieven, Diplomate et icône du Concert Européen.
[2024-09-16 | 1000 Bruxelles ]
15)
L’Ordre de Malte en Russie.
[2024-06-25 | 1000 Bruxelles]
16)
La Confrérie de la Vérité russe, un réseau secret de monarchistes russes.
[2024-04-24 | 1000 Bruxelles ]
17)
mi-Avril 2024 => Calendrier d'événements à caractère culturel russe.
[2024-04-01 | 6060 Gilly (Charleroi)]
18)
Les enfants du Potemkine, les chemins de l'exil, d'Odessa à Bruxelles.
[2024-02-19 | 1000 Bruxelles ]
19)
Février 2024 => Calendrier d'événements à caractère culturel russe.
[2024-01-31 | ]
20)
Revue FPPR n°12 (décembre 2023) - Grégoire Grégorievitch Marazli (1831-1907).
[2024-01-01 | 1150 Bruxelles]
21)
FPPR : Convocation à l'assemblée générale extraordinaire.
[2023-12-11 | 1000 Bruxelles ]
22)
Histoire de la famille Bezobrazoff.
[2023-12-11 | 1000 Bruxelles]
23)
Décembre 2023 => Calendrier d'événements à caractère culturel russe.
[2023-11-30 | ]
24)
Géorgie hors du temps.
[2023-11-15 | 1000 Bruxelles]
25)
Le cimetière de Sainte-Geneviève-des-Bois - histoire et situation actuelle.
[2023-06-15 | 1000 Bruxelles]
26)
Juin 2023 => Calendrier d'événements à caractère culturel russe.
[2023-06-01 | 6060 Gilly (Charleroi)]
27)
Retracer la vie d'un ancêtre Russe Blanc.
[2023-05-25 | 1000 Bruxelles]
28)
Mai 2023 => Calendrier d'événements à caractère culturel russe.
[2023-04-30 | 6060 Gilly (Charleroi)]
29)
Le cimetière de Sainte-Geneviève-des-Bois - histoire et situation actuelle.
[2023-04-20 | 1000 Bruxelles]
30)
Janvier 2023 => Calendrier d'événements à caractère culturel russe.
[2023-01-01 | 6060 Gilly (Charleroi)]
31)
Revue FPPR n°11 (décembre 2022) - Ivan Tourguéniev (1818-1883).
[2023-01-01 | 1150 Bruxelles]
32)
La Princesse d'Orange, Anna Pavlovna, les années bruxelloises.
[2022-11-28 | 1000 Bruxelles ]
33)
Octobre 2022 => Calendrier d'événements à caractère culturel russe.
[2022-10-01 | 6060 Gilly (Charleroi)]
34)
Léon Tolstoï, l'homme.
[2022-09-19 | 1000 Bruxelles]
35)
Revue FPPR n°10 (décembre 2021) - Guerre russo-turque de 1877-1878 dans le Caucase.
[2022-02-02 | 1150 Bruxelles]
36)
Notre chère amie Nadia est partie rejoindre son Yegor ...
[2021-12-16 | 5590 Ciney]
37)
Revue FPPR n°9 (décembre 2020) - 14 Novembre 1920 - Départ de la Crimée.
[2021-05-31 | 1150 Bruxelles]
38)
Ivan Tourgueniev, pont entre les cultures et homme de paix.
[2020-02-28 | 1170 Bruxelles (Watermael-Boitsfort)]
39)
Ma Russie - 2e partie.
[2019-12-13 | 1170 Bruxelles (Watermael Boitsfort)]
40)
Décembre 2019 => Calendrier d'événements à caractère culturel russe.
[2019-12-01 | 6060 Gilly]
41)
Ma Russie - 1e partie.
[2019-11-29 | 1170 Bruxelles (Watermael Boitsfort)]
42)
Novembre 2019 => Calendrier d'événements à caractère culturel russe.
[2019-11-01 | ]
43)
Octobre 2019 => Calendrier d'événements à caractère culturel russe.
[2019-10-01 | ]
44)
Revue FPPR n°8 (septembre 2019) - Pierre le Grand et la Table des Rangs.
[2019-10-01 | 1150 Bruxelles]
45)
Exposition. Le Cœur Flamboyant.
[2019-09-26 | 1160 Bruxelles (Watermael-Boitsfort)]
46)
La Russie en Chanson - Groupe (Public)
[2019-05-31 | France]
47)
Histoire de la Russie : Mieux la connaître. Deuxième séance.
[2019-04-04 | 7000 Mons]
48)
Histoire de la Russie : Mieux la connaître. Première séance.
[2019-03-07 | 7000 Mons]
49)
Poutine, l'homme que l'Occident aime haïr.
[2019-02-07 | 1170 Bruxelles (Watermael-Boitsfort)]
50)
Diffusion courriel : Bonne Année 2019! С Новым Годом 2019! Gelukkig Nieuwjaar 2019!
[2019-01-12 | 3080 Tervueren]
51)
La cosaquerie jusqu'à la révolution de 1917.
[2018-11-29 | 1170 Bruxelles (Watermael-Boitsfort)]
52)
La fédération de Russie - Eltsine, Poutine, Medvedev, Poutine « le retour »… les questions du futur.
[2018-11-26 | 1200 Woluwé-Saint-Lambert]
53)
Le communisme en Russie, la guerre civile et l’histoire d’URSS.
[2018-11-19 | 1200 Woluwé-Saint-Lambert]
54)
La Russie, des Romanoff à la démocratie de 1917.
[2018-11-12 | 1200 Woluwé-Saint-Lambert]
55)
Des origines de la Russie à la conquête par la Pologne.
[2018-11-05 | 1200 Woluwé-Saint-Lambert]
56)
Revue FPPR n°7 (septembre 2018) -Edition spéciale « l'assassinat de la famille impériale ».
[2018-11-01 | 1150 Bruxelles]
57)
Выставка « А в разлуке пришлось жить года » проходит в САФУ.
[2018-09-22 | RU - Arkhangelsk]
58)
L'icône russe, objet d'art, instrument politique ou fenêtre de l'au-delà.
[2018-07-11 | 1200 Bruxelles (Woluwé-Saint-Lambert)]
59)
La musique russe.
[2018-07-10 | 1200 Bruxelles (Woluwé-Saint-Lambert)]
60)
Andreï Zvyagintsev : l'amour en question.
[2018-07-09 | 1200 Bruxelles (Woluwé-Saint-Lambert)]
61)
L'affrontement USA-URSS dans la course à la lune.
[2018-06-25 | 1200 Bruxelles (Woluwé-Saint-Lambert)]
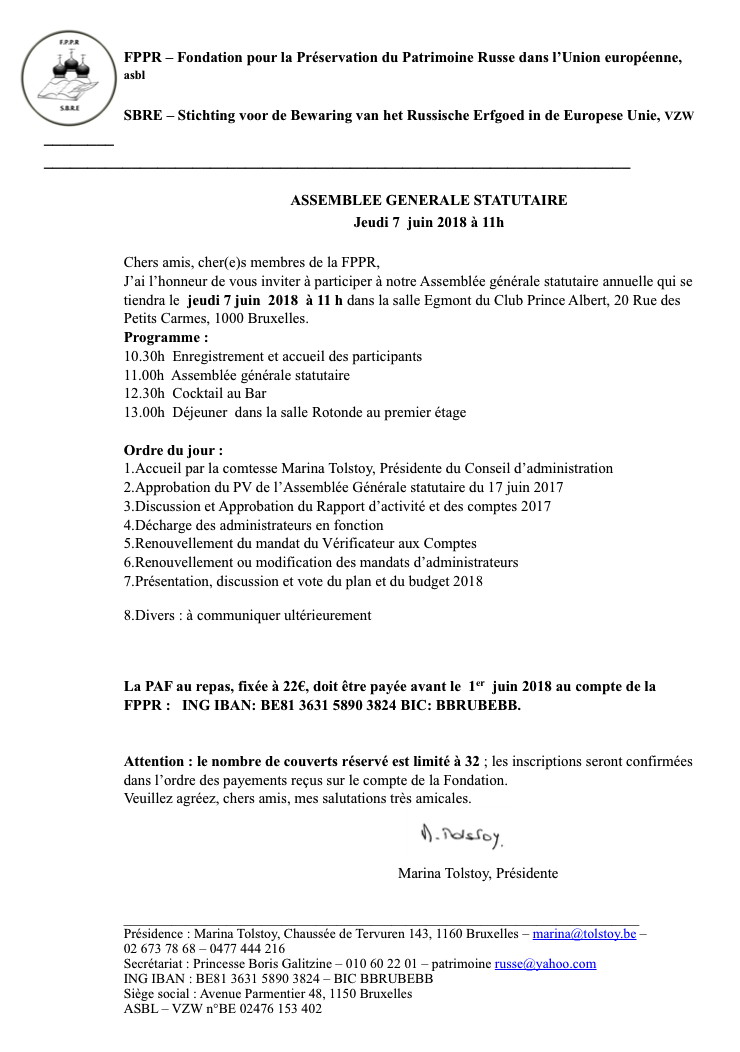
62)
FPPR - Assemblée générale statutaire 2018.
[2018-06-07 | 1000 Bruxelles]
63)
Juin 2018 => Calendrier d'événements à caractère culturel russe.
[2018-05-31 | 6060 Gilly]
64)
A N N U L É Concert de musique russe : Arensky, Rachmaninoff et Tchaïkovski.
[2018-05-03 | 1200 Woluwé-Saint-Lambert]
65)
Mai 2018 => Calendrier d'événements à caractère culturel russe.
[2018-04-30 | 6060 Gilly]
66)
Les élections présidentielles russes du 18 mars et la nouvelle guerre froide.
[2018-04-23 | 1200 Bruxelles]
67)
Le tragique destin des Romanov. Pierre Gilliard, treize années à la Cour de Russie.
[2018-03-10 | 1200 Woluwé-Saint-Lambert]
68)
Mars 2018 => Calendrier d'événements à caractère culturel russe.
[2018-02-28 | 6060 Gilly]
69)
Les compositeurs russes après 1917. Rester ou partir ? Et quoi après ?
[2018-02-05 | 1200 Bruxelles]
70)
Ces grands russes qui vécurent en Belgique.
[2017-11-20 | 1200 Bruxelles]
71)
In memoriam : Pierre Rosniansky - Livre de condoléances.
[2017-11-10 | CH-1206 Genève]
72)
Mes derniers jours à Tsarskoïe Selo (1917). Souvenirs de mon grand-père.
[2017-10-23 | 1200 Bruxelles]
73)
Octobre 2017 => Calendrier d'événements à caractère culturel russe.
[2017-10-01 | ]
74)
Revue FPPR n°6 (juin 2017) - Edition spéciale « Cent ans après la révolution ».
[2017-10-01 | 1150 Bruxelles]
75)
FPPR - Assemblée générale statutaire.
[2017-06-16 | 1000 Bruxelles]
76)
Juin 2017 => Calendrier d'événements à caractère culturel russe.
[2017-06-01 | ]
77)
FPPR - Assemblée générale statutaire => ATTENTION : cette réunion est reportée au vendredi 16 juin 2017.
[2017-05-16 | 1000 Bruxelles]
78)
Mai 2017 => Calendrier d'événements à caractère culturel russe.
[2017-04-30 | ]
79)
L'art des exilés russes en Europe - 1919-1939.
[2017-04-25 | 1200 Bruxelles]
80)
Avril 2017 => Calendrier d'événements à caractère culturel russe.
[2017-03-31 | ]
81)
« Toute terre étrangère est pour eux une patrie ». Cent cinquante ans de présence orthodoxe russe en Belgique.
[2017-02-20 | 1200 Bruxelles (Woluwé-Saint-Lambert)]
82)
A N N U L E <= Chants russes et tziganes Karandash.
[2016-12-13 | 1210 Bruxelles (Saint-Josse-ten-Noode)]
83)
Y aurait-il une part de responsabilité de nos grands-parents dans les événements de 1917 ?
[2016-11-22 | 1200 Bruxelles]
84)
La Mémoire historique de l'Emigration russe dans l'entre-deux-guerres.
[2016-09-28 | 1200 Bruxelles (Woluwé-Saint-Lambert)]
85)
Événements à caractère culturel russe - derniers jours septembre et agenda d'octobre 2016
[2016-09-27 | ]
86)
19 Septembre 2016 => Conférence M. Kovalev => Mémoire historique Emigration russe entre-2-guerres.
[2016-09-19 | ]
87)
Septembre 2016. Suite - Événements à caractère culturel russe.
[2016-09-13 | ]
88)
Assemblée Générale FPPR 2016.
[2016-06-09 | 1000 Bruxelles. ]
89)
Juin 2016 : calendrier d'événements relatifs à la culture russe.
[2016-06-01 | ]
90)
Revue FPPR n°5 (juin 2016)
[2016-06-01 | 1150 Bruxelles]
91)
Assemblée générale de la FPPR 9 juin 2016
[2016-05-23 | ]
92)
Réunion du comité d'administration FPPR. Собрание комитета ФСРН.
[2016-05-17 | 1000 Bruxelles]
93)
Mai 2016 : calendrier d'événements relatifs à la culture russe.
[2016-05-01 | ]
94)
Mars 2016 : calendrier d'événements relatifs à la culture russe.
[2016-03-01 | ]
95)
Répine et les haleurs de la Volga.
[2016-02-11 | 1000 Bruxelles]
96)
Mise à jour => février 2016. Evénements à caractère culturel russe.
[2016-02-10 | ]
97)
Meilleurs vœux de bonne et heureuse Année 2016
[2015-12-23 | ]
98)
Conférence : Catherine la Grande, le charme et la fermeté.
[2015-10-29 | 1000 Bruxelles]
99)
Conférence : Catherine la Grande, le charme et la fermeté, par Sacha Korsak.
[2015-10-10 | ]
100)
Assemblée Générale FPPR.
[2015-06-16 | 1000 Bruxelles]
101)
Nathalie Bourmeister, pianiste et Victoria Lepko poétesse. Concert exceptionnel.
[2015-06-08 | 1420 Braine l’Alleud]
102)
Juin 2015 : calendrier d'événements relatifs à la culture russe.
[2015-06-01 | ]
103)
Maîtres et Serviteurs. La science historique.
[2015-04-02 | 4000 Liège]
104)
Avril 2015 : calendrier d'événements relatifs à la culture russe.
[2015-04-01 | ]
105)
A N N U L É <= Cyrille et Méthode ou quelles frontières pour les slaves dans l'Europe unie et plurielle?
[2015-01-08 | 4000 Liège]
106)
Noël cosaque : les grandes voix cosaques du Kouban.
[2014-12-11 | 1040 Bruxelles (Etterbeek)]
107)
Concert de chants russes.
[2014-11-25 | 1150 Bruxelles (Woluwé-Saint-Pierre)]
108)
Assemblée statutaire FPPR.
[2014-09-17 | 1000 Bruxelles]
109)
Juillet/août 2014 : Calendrier d'événements relatifs à la culture russe.
[2014-07-01 | ]
110)
Conférence : 1814. Un Tsar à Paris. Царь в Париже.
[2014-06-27 | 1000 Bruxelles]
111)
Le 27 juin 2014 à 10 heures 30' au Musée de l'Armée : Conférence 1814, un Tsar à Paris par M.-P. Rey
[2014-06-20 | ]
112)
Assemblée Générale FPPR.
[2014-06-11 | 1000 Bruxelles]
113)
Juin 2014 : Calendrier d'événements relatifs à la culture russe.
[2014-06-03 | ]
114)
Réunion du comité d'administration FPPR. Собрание комитета ФСРН.
[2014-05-07 | 1000 Bruxelles]
115)
Mai 2014 : Calendrier d'événements relatifs à la culture russe.
[2014-04-30 | ]
116)
Exposition & récital : « L'Art et l'Ecologie ».
[2014-04-23 | 1180 Bruxelles (Uccle)]
117)
Avril 2014. Evénements à caractère culturel russe et œuvres littéraires.
[2014-03-30 | ]
118)
Conférence. La Russie une terre d'opportunité pour les investisseurs ?
[2014-03-18 | 1000 Bruxelles]
119)
Моё ненаглядное семейство. Ma famille adorée (vaudeville en langue russe).
[2014-02-23 | 1200 Bruxelles (Woluwé-Saint-Lambert)]
120)
Моё ненаглядное семейство. Ma famille adorée (vaudeville en langue russe).
[2014-02-16 | 1200 Bruxelles (Woluwé-Saint-Lambert)]
121)
Exposition d'archives de l'émigration russe.
[2013-12-18 | 1000 Bruxelles]
122)
Réunion du comité d'administration FPPR. Собрание комитета ФСРН.
[2013-11-21 | 1000 Bruxelles]
123)
Calendrier d'événements à caractère culturel russe : septembre 2013 <= vava.be
[2013-08-28 | ]
124)
FPPR. Invitation assemblée générale annuelle.
[2013-06-20 | 1000 Bruxelles]
125)
Juin 2013. Relevé de plusieurs « rendez-vous » déjà programmés.
[2013-05-29 | ]
126)
Invitation à l'Assemblée Générale de la FPPR ce 20 juin 2013 prochain
[2013-05-23 | 1000 Bruxelles]
127)
Réunion du comité d'administration FPPR. Собрание комитета ФСРН.
[2013-04-25 | 1000 Bruxelles]
128)
« Dialogue musical - Muzikale dialoog ».
[2013-03-12 | 1000 Bruxelles]
129)
Mestchersky's art exhibition at Galerie « rue Blaes 150 ».
[2013-03-01 | 1000 Bruxelles]
130)
Agenda mars 2013 => 26 événements à caractère culturel russe.
[2013-02-28 | ]
131)
« ЧУЖОЙ РЕБЁНОК » В. Шкваркина.
[2013-02-10 | 1200 Woluwé-Saint-Lambert]
132)
Le Congo au temps des belges. L'Histoire manipulée. Les contrevérités réfutées 1885-1960.
[2013-02-01 | ]
133)
Au théâtre les 10 et 17 février 2013 dès 17 h : « Чужой ребёнок » В. Шкваркина | « L'enfant d'un autre » de V. Shkvarkin.
[2013-01-21 | ]
134)
Entre Kant et la Sainte-Alliance d'Alexandre Ier & Concert « Borodino ».
[2012-12-14 | 1200 Woluwé-Saint-Lambert]
135)
Evénements à caractère culturel russe du mois de décembre 2012
[2012-12-03 | ]
136)
Les Partisans russes en Belgique lors de la 2e guerre mondiale.
[2012-11-17 | 1000 Bruxelles]
137)
Nouveaux événements à caractère culturel russe sur vava.be
[2012-10-22 | ]
138)
Assemblée Générale FPPR.
[2012-06-26 | 1000 Bruxelles]
139)
Revue FPPR n°4 (juin 2012)
[2012-06-01 | ]
140)
Réunion du comité d'administration FPPR. Собрание комитета ФСРН.
[2012-05-21 | 1000 Bruxelles]
141)
Mémoire musicale de la Russie impériale. Un programme exceptionnel de musique et de poésie russes.
[2011-09-25 | 1200 Woluwé-Saint-Lambert]
142)
Condition de artistes en Russie aujourd'hui.
[2011-09-21 | 1000 Bruxelles]
143)
Дуэт кошек - Récital musique-poésie comprenant le « duo des chats » de G. Rossini.
[2009-05-29 | 1420 Braine l'Alleud]
144)
Revue FPPR n°3 (décembre 2008)
[2008-05-01 | ]
145)
Revue FPPR n°2 (décembre 2005)
[2005-12-01 | ]
146)
Revue FPPR n°1 (décembre 2002)
[2002-12-01 | 1150 Bruxelles]
|
| |
|
| 1) |
le mercredi 27 mai 2026
|
Catégorie : Assemblée générale |
Type : Associations |
Hôtel Barsey by Warwick, avenue Louise 381, 1050 Bruxelles (Ixelles)
FPPR - Assemblée générale ordinaire 2026.
FPPR - Assemblée générale ordinaire 2026. |
Comte Nicolas Apraxine, Président de la FPPR Fondation pour la Préservation du Patrimoine Russe dans l'Union Européenne INVITATION - CONVOCATION à notre ASSEMBLEE GENERALE ORDINAIRE 2026 et au déjeuner qui suivra (sur réservation) le 27 mai 2026 à l’hôtel Barsey by Warwick, avenue Louise 381, 1050 Bruxelles
Chers ami(e)s et cher(e)s membres de la FPPR,
J’ai l’honneur de vous inviter à participer à notre assemblée générale statutaire annuelle qui se tiendra le mercredi 27 mai 2026 à 11 h à l’hôtel Barsey by Warwick, avenue Louise 381, 1050 Bruxelles, et, si vous le souhaitez, au déjeuner et à la conférence qui suivront. Programme : v. 10 h 45 Enregistrement et accueil des participants 11 h 00 Assemblée générale statutaire v. 12 h 15 Déjeuner v. 13 h 00 Conférence par le Comte Nicolas Apraxine : » L’élimination de la Garde Impériale, préalable au succès de la révolution russe de 1917 » v. 13 h 20 Dessert
Ordre du jour : • Accueil par le président du conseil d’administration, le Comte Nicolas Apraxine • Approbation du PV de l’assemblée générale statutaire du vendredi 16 juin 2025 • Présentation et approbation du rapport d’activité 2025 • Présentation et approbation des comptes 2025 • Décharge aux administrateurs • Renouvellement des mandats de cinq administrateurs • Election ou renouvellement du mandat du vérificateur aux comptes • Présentation, discussion et approbation du plan d’activités 2026 • Détermination du montant de la cotisation 2027 • Présentation, discussion et approbation du budget 2026
11. Divers Nous rappelons que seuls pourront voter les membres EFFECTIFS en règle de cotisation. La cotisation de 60 € (20 € pour le/la partenaire, conjoint ou enfant au domicile) est encore payable au compte ci-dessous. AU CAS OU VOUS NE POURRIEZ PAS Y ASSISTER, NOUS VOUS PRIONS DE REMPLIR LA PROCURATION EN ANNEXE (deux procurations maximum par mandataire). La PAF au déjeuner qui suivra est fixée par personne à 40 € pour les membres en règle de cotisation et à 45 € pour les autres, vin et café non compris. La PAF doit être payée pour le 20 mai 2026 au compte ING de la FPPR (BE81 3631 5890 3824) avec indication du nom et du nombre de personnes. Le restaurateur ne nous permet pas d’accepter une réservation de dernière minute.
Veuillez agréez, chers amis, l’expression de toute mon amitié, Comte Nicolas Apraxine, Président de la FPPR
Сайт/Site : http://www.patrimoine-russe-fppr.be/
|
|
| 2) |
le mercredi 27 mai 2026 à 12 heures 30' précises
|
Catégorie : Histoire |
Type : Déjeuner Conférence |
Hôtel Barsey by Warwick, avenue Louise 381, 1050 Bruxelles (Ixelles)
L'élimination de la Garde Impériale, préalable au succès de la révolution russe de 1917.
 La Garde Impériale, ... Conférence de Nicolas Apraxine. |  Armée Russe - Chevalier Garde de S. M. Marie Theorodovna - 1914. |
Cycle de conférences 2026 - par Nicolas Apraxine FPPR - Fondation pour la Préservation du Patrimoine Russe dans l'Union Européenne ASBL Chers Amis de la FPPR,
A la suite de l'AG de la FPPR, nous avons le plaisir de vous annoncer notre prochain déjeuner-conférence qui aura lieu à l'Hôtel Barsey Warwick, Avenue Louise à Bruxelles, le mercredi 27 mai à 12h30 précises.
Attention, le nombre de places est limité. Inscrivez-vous tôt.
Nous nous réjouissons de vous revoir,
Grégoire Tolstoï
Notre conférencier est né à Tallin en Estonie en 1936, il arriva en Belgique en octobre 1939. Il fit ses études secondaires au Collège Saint-Pierre à Uccle puis celles d'ingénieur civil à l'Université de Louvain. Il travailla pour l'Union Minière au Katanga, puis pour Petrofina S.A. à Bruxelles et au Zaire.
Il termina sa carrière comme Délégué général de Petrofina pour la CEI et les pays de l'Est.
Il participa en tant que représentant laïque au Concile (Sobor) pour l'élection du patriarche Alexis II en 1990, et fut au Kremlin le 16 août 1991, jour du coup d'état contre Gorbatchev qui marqua la fin du communisme en Russie.
Il est le Président de la F.P.P.R. depuis novembre 2019.
La conférence sera suivie d'un drink Président : Comte Nicolas Apraxine Réservation indispensable : gregoire.tolstoi at gmail.com Prix : 40€ le couvert pour les membres de la FPPR, en règle de cotisation 2026 et 45€ pour les autres à régler avant le 20 mai sur le compte de la FPPR. Banque : IBAN : BE81 3631 5890 3824 - BIC: BBRUBEBB avec la mention « Garde Ipériale + Nom et prénom du/des participant(s) ».
http://www.patrimoine-russe-fppr.be/ http://www.vava.be/Russian-events-notice.htm?IDEvent=8880
|
|
| 3) |
le mercredi 4 mars 2026 à 12:00' heures précises
|
Catégorie : Histoire |
Type : Déjeuner Conférence |
Club Prince Albert, rue des Petits Carmes 24, Entrée par la porte cochère, parking à gauche, 1000 Bruxelles
Nicolas II et Raspoutine, une histoire russe, par Alexandre Jevakhoff.
 Les décembristes 1825-2025. Conférence de Grégoire Tolstoï. |  Nicolas II et Raspoutine, une histoire russe par Alexandre Jevakhoff aux éditions Perrin, 2025. |
Cycle de conférences 2026 - par Grégoire Tolstoï FPPR - Fondation pour la Préservation du Patrimoine Russe dans l'Union Européenne ASBL Notre conférencier est un historien et haut fonctionnaire français né à Paris dans une famille d'Emigrés Russes, ses deux grands-pères étaient des officiers de la Marine Impériale qui ont quitté la Russie en novembre 1920 avec le général Wrangel. Il est aujourd'hui président de l'Association des Anciens Officiers de la Marine Impériale Russe en France. Formé à Sciences Po, HEC et l'ENA, Alexandre Jevakhoff est inspecteur général des finances depuis 2001. Sa brillante carrière professionnelle l'a mené aussi bien dans la fonction publique auprès des ministères de la Défense, de l'Intérieur, de la Justice ou des Affaires étrangères, que dans le privé auprès de grands groupes comme TF1.
Marguillier de la cathédrale Saint-Alexandre-Nevsky de la Rue Daru, membre de l'Union de la Noblesse Russe, il est un acteur important et un observateur attentif de l'Emigration Russe à laquelle il a consacré plusieurs ouvrages : Les Russes Blancs (2007), Le Roman des Russes à Paris (2014), La guerre civile russe (2017); ainsi que des ouvrages sur Kemal Atatürk (1989) ou Istanbul (2003), et d'autres encore. Nous l'avions reçu à la FPPR en juin 2022 pour son livre de Gaulle et la Russie.
L'auteur dédicacera son livre. Pensez à prendre des espèces (25 €)
L'histoire inédite d'une relation qui a forgé la Russie contemporaine. En dehors de leur âge, tout les sépare. L'un règne en autocrate sur plus de 130 millions de sujets, à la tête d'un empire s'étendant de l'Europe à l'Extrême-Orient. L'autre est un moujik sibérien et analphabète, qui n'aurait jamais dû quitter son village natal. Pourtant, ces deux personnages vont se rencontrer à Saint-Pétersbourg et tisser un lien qui changera le cours de leurs vies personnelles mais aussi l'avenir de l'Empire russe et du Monde.
400 pages, broché, I25€, SBN-10 : 2262096228, ISBN-13 : 978-2262096229, Poids de l'article : 616 g, Dimensions : 15.7 x 3.4 x 24.2 cm La conférence sera suivie d'un drink Président : Comte Nicolas Apraxine Réservation : gregoire.tolstoi at gmail.com Prix : 55€ pour les membres de la FPPR, à régler avant le 23 février sur le compte de la FPPR. Banque : IBAN : BE81 3631 5890 3824 - BIC: BBRUBEBB avec la mention « Nom et prénom du/des participant(s).
http://www.patrimoine-russe-fppr.be/ http://www.vava.be/Russian-events-notice.htm?IDEvent=8870
|
|
| 4) |
le mardi 2 décembre 2025
|
Catégorie : Histoire |
Type : Conférence |
Club Prince Albert, rue des Petits Carmes 24, Entrée par la porte cochère, parking à gauche, 1000 Bruxelles
Les décembristes 1825-2025.
 Les décembristes 1825-2025. Conférence de Grégoire Tolstoï. |
Cycle de conférences 2025 - par Grégoire Tolstoï FPPR - Fondation pour la Préservation du Patrimoine Russe dans l'Union Européenne ASBL La mort mystérieuse et inattendue de l'Empereur Alexandre de Russie, le 1er décembre 1825, provoque un flottement politique dans l'Empire. Des jeunes gens idéalistes en profitent pour se lancer dans un coup de force pour renverser l'Autocratie. Animés d'idées libérales et d'idéaux démocratiques, certains veulent instaurer en Russie une monarchie constitutionnelle à l'anglaise, d'autres complotent la mort du Tsar et l'instauration d'une république à la française.  Attaque du carré des Décabristes par le régiment des Gardes à Cheval, le 14 décembre 1825. Tableau de Vassi, Timm, 1853 © Musée de l'Ermitage, Saint-Pétersbourg. |
Ils sont des centaines de jeunes hommes des plus anciennes familles de la noblesse russe, officiers dans la Garde, certains membres de la Franc-Maçonnerie ou de nombreuses sociétés secrètes qui fleurissent à l'époque en Russie, à se lancer dans l'aventure avec leurs régiments. On les appellera les « Décembristes », ou « Décabristes » en russe. Ce coup d'État aura lieu à Saint-Pétersbourg le 14 décembre 1825, il y a exactement 200 ans. Malgré l'échec de cette tentative, l'impact de cette affaire sur l'histoire de la Russie et de l'Europe sera considérable, comme nous le verrons lors de cette conférence. Grégoire Tolstoï est le créateur et animateur d'un webmagazine culturel européen, Culturius Magazine. Il est administrateur de plusieurs sociétés avec la mention "Décembristes" et associations, parmi lesquelles notre Fondation, la FPPR.
Président : Comte Nicolas Apraxine Réservation : gregoire.tolstoi at gmail.com Prix : 10€ pour les membres de la FPPR, 15€ pour les non-membres. à régler avant le 25 novembre sur le compte de la FPPR. Banque : IBAN : BE81 3631 5890 3824 - BIC: BBRUBEBB avec la mention « Décembristes ».
La conférence sera suivie d'un drink
http://www.patrimoine-russe-fppr.be/ http://www.vava.be/Russian-events-notice.htm?IDEvent=8775
|
|
| 5) |
le lundi 1 décembre 2025
|
Catégorie : Calendrier |
Type : Diffusion courriel |
6060 Charleroi (Gilly)
Calendrier d'événements à caractère culturel russe. Décembre 2025.
Diffusion de décembre 2025. Calendrier d'événements à caractère culturel russe.| A la veille de la conférence FPPR de Grégoire Tolstoï sur le thème des décembristes (Декабристы), la paroisse des Saints Panteleimon et Nicolas (Xрам Св.Целителя Пантелеймона и Св.Николая) nous annonce déjà la reprise de sa prochaine soirée Blini (Блины) animée par l'ensemble musical Karandash (Карандаш).
|
| 6) |
du samedi 1 novembre 2025 au dimanche 30 novembre 2025
|
Catégorie : Calendrier |
Type : Diffusion courriel |
6060 Charleroi (Gilly)
Calendrier d'événements à caractère culturel russe. Novembre 2025.
Diffusion de novembre 2025. Calendrier d'événements à caractère culturel russe.| Notons que la FPPR nous annonce ici ces 2 articles Internet de ses membres Nicolas Zmamensky et Grégoire Tolstoï ainsi que déjà la réunion en date du 2 décembre 2025 de son « Cycle de conférences 2025 » sur le thème des Décembristes.
|
| 7) |
le samedi 25 octobre 2025
|
Catégorie : Musées |
Type : Tourisme |
Musée des Cosaques, rue Saint-Guillaume 12, F-92400 Courbevoie Musée d'Orsay, Esplanade Valéry Giscard d'Estaing, F-75007 Paris
Voyage à Paris. Musée d'Orsay : Exposition Paul Troubetzkoy | Musée des Cosaques : Visite guidée Pierre Kouteynikoff.
 Proposition FPPR : Voyage à Paris. |  Musée d'Orsay — Musée des Cosaques. |
FPPR - Fondation pour la Préservation du Patrimoine Russe dans l'Union Européenne ASBL Exceptionnellement, nous vous proposons un voyage à Paris. En effet, l'exposition Paul Troubetzkoy qui se tiendra cet automne dans le merveilleux Musée d'Orsay, est pour tous les amateurs d'art russe un événement unique à ne pas manquer. Nous avons pensé vous proposer, en plus de cela, une visite privée et guidée par M. Pierre Kouteynikoff, du fantastique, et trop souvent méconnu, Musée des Cosaques, à Courbevoie, dont beaucoup d'entre nous ont entendu parler, mais qu'ils n'ont pas encore eu la chance de visiter.
Pratiquement, nous vous proposons de vous déplacer librement jusqu'à Paris par vos propres moyens, en voiture ou en train. Le temps de trajet dans le cas où nous aurions affrété un bus, n'est pas raisonnable. Porte à porte, c'est cinq heures à l'aller, cinq heures au retour, cela fait trop pour un voyage d'une seule journée. Cela laissera plus de liberté à ceux qui le désirent de rester un peu plus longtemps à Paris. Nous vous demandons de vous inscrire et de payer à l'avance les visites de votre choix, soit les Cosaques, soit Troubetzkoy, soit les deux. Programme : 11h précises : visite guidée du Musée des Cosaques (temps estimé : 1 h30) 13h : Déjeuner au restaurant du Musée d'Orsay (chacun paie individuellement ses consommations) 15h : visite libre de l'exposition Troubetzkoy (temps estimé : 2h)
Musée d'Orsay : Exposition Paul Troubetzkoy L'exposition retrace le parcours de cet artiste, né en Italie et parisien d'adoption, qui mène parallèlement une brillante carrière aux États-Unis. Porté par un grand talent de portraitiste, il est recherché par une élite cosmopolite, les célébrités, le tout Paris, jusqu'aux premières stars du cinéma américain. Sa vie est ponctuée de rencontres et d'amitiés décisives avec des hommes de lettres, tels que Tolstoï en Russie, Georges Bernard Shaw à Paris, avec lesquels il partage un mode de vie végétarien, assez inhabituel pour l'époque. Au-delà des portraits qui ont fait sa réputation, l'exposition met aussi en lumière sa sculpture animalière, ainsi que ses travaux en rapport avec la cause animale dont il était, avant l'heure, un fervent défenseur.
Musée des Cosaques : Visite guidée Pierre Kouteynikoff. Le mess-musée du Régiment des Cosaques de Sa Majesté de la Garde impériale, situé à Courbevoie est la transposition, en région parisienne, du musée que les officiers du régiment des Cosaques de Sa Majesté avaient constitué au sein de leur mess, dans leur caserne de Saint-Pétersbourg, à partir des années 1880. Ce régiment de cavalerie était l'un des plus prestigieux de la Garde impériale, elle-même corps d'élite de l'armée impériale russe, et il s'est particulièrement illustré pendant les guerres napoléoniennes, au point d'avoir l'honneur de pénétrer en premier à Paris le 31 mars 1814, après que la ville se soit rendue aux armées coalisées.
Président : Comte Nicolas Apraxine Réservation : gregoire.tolstoi at gmail.com Prix des places : 25 € pour le Musée des Cosaques 16 € pour l'exposition Paul Troubetzkoy à régler avant le 11 octobre sur le compte de la FPPR. Banque : IBAN : BE81 3631 5890 3824 - BIC BBRUBEBB avec la mention « Cosaques et/ou Troubetskoy ».
http://www.fppr.be http://www.patrimoine-russe-fppr.be
|
|
| 8) |
du mercredi 1 octobre 2025 au vendredi 31 octobre 2025
|
Catégorie : Calendrier |
Type : Diffusion courriel |
6060 Charleroi (Gilly)
Calendrier d'événements à caractère culturel russe. Octobre 2025.
Diffusion d'octobre 2025. Calendrier d'événements à caractère culturel russe.| Notons cette fois la parution de « Nouvelles nouvelles » en hommage mémoire aux organisateurs du camp de vacances des enfants de « la Tourelle » ainsi que l'annonce du prochain voyage « visites guidées au Musées d'Orsay et des Cosaques » à Paris proposé par la FPPR.
|
| 9) |
le lundi 16 juin 2025 à 11 heures
|
Catégorie : Assemblée générale |
Type : Associations |
Hôtel Barsey by Warwick, avenue Louise 381, 1050 Ixelles (Bruxelles)
FPPR - Assemblée générale ordinaire 2025.
FPPR - Assemblée générale ordinaire 2025. |
Comte Nicolas Apraxine, Président de la FPPR
Fondation pour la Préservation du Patrimoine Russe dans l'Union Européenne Chers ami(e)s et cher(e)s membres de la FPPR,
J’ai l’honneur de vous inviter à participer à notre assemblée générale statutaire annuelle qui se tiendra le lundi 16 juin 2025 à 11 h à l’hôtel Barsey by Warwick, avenue Louise 381, 1050 Bruxelles, et, si vous le souhaitez, au déjeuner et à la conférence qui suivront. Programme : v. 10 h 45 Enregistrement et accueil des participants 11 h 15 Assemblée générale statutaire v. 12 h 30 Déjeuner (un choix entre deux menus vous sera adressé) v. 13 h 30 Présentation de Mme Dr Daria Brancart-Dvornikova sur les Tendances culturelles de l’Emigration russe v. 13h 50 Dessert (un choix entre deux menus vous sera adressé)
Ordre du jour : 1. Accueil par le président du conseil d’administration, le Comte Nicolas Apraxine 2. Approbation du PV de l’assemblée générale statutaire du mardi 25 juin 2024 3. Présentation et approbation du rapport d’activité 2024 4. Présentation et approbation des comptes 2024 5. Décharge aux administrateurs 6. Election ou renouvellement du mandat du vérificateur aux comptes 7. Présentation, discussion et approbation du plan d’activités 2025 8. Détermination du montant de la cotisation 2026 9. Présentation, discussion et approbation du budget 2025 10. Démission et élection d’un administrateur 11. Divers Nous rappelons que seuls pourront voter les membres EFFECTIFS en règle de cotisation. La cotisation de 60 € (30 € pour le/la partenaire, conjoint ou enfant au domicile) est encore payable au compte ci-dessous. AU CAS OU VOUS NE POURRIEZ PAS Y ASSISTER, NOUS VOUS PRIONS DE REMPLIR LA PROCURATION EN ANNEXE (deux procurations maximum par mandataire). La PAF au déjeuner qui suivra est fixée par personne à 45 €, boissons non comprises. La PAF doit être payée avant le 11 juin 2025 au compte ING de la FPPR (BE81 3631 5890 3824) avec indication du nom et du nombre de personnes. Le restaurateur ne nous permet pas d’accepter une réservation de dernière minute.
Veuillez agréez, chers amis, l’expression de toute mon amitié, Comte Nicolas Apraxine, Président de la FPPR
ASBL — VZW : N° d'entreprise 476 153 402 | N° de l'association 234 432 001 Siège social : Avenue Edmond Parmentier 48, 1150 Bruxelles. Secrétariat général : Daniel Stevens, courriel : dstevensric at skynet.be | téléphone : 0474 69 07 97 Banque : IBAN BE81 3631 5890 3824 Revue annuelle disponible sur demande : galitzine.boris at hotmail.com
Сайт/Site : http://www.patrimoine-russe-fppr.be/
|
|
| 10) |
le mercredi 5 février 2025 à 19 heures précises
|
Catégorie : Découverte |
Type : Conférence |
Club Prince Albert, rue des Petits Carmes 24, 1000 Bruxelles
Le Lac Baïkal « Perle de Sibérie ».
 « 60 icônes de la Mère de Dieu. » Conférence de Nicolas Pernot. |
Cycle de conférences 2025 de la FPPR => Conférence de Nicolas Pernot Chers Amis de la FPPR, Nous sommes heureux de vous présenter notre prochain film-conférence sur le LAC BAÏKAL qui aura lieu le mercredi 5 février à 19h00 au Cercle Prince Albert. Nicolas Pernot nous avait déjà étonnés en 2023 avec un magnifique film-conférence sur la Géorgie, il revient avec ce superbe nouveau sujet. En attendant le plaisir de vous retrouver nombreux, nous vous souhaitons une Excellente Nouvelle Année 2025 et un Joyeux Noël Orthodoxe. Grégoire Tolstoï.
Bordé de hautes montagnes, et gelé six mois par an, le Baïkal contient le plus grand volume d'eau non salée du monde! Avec des profondeurs dépassant les 1600 mètres, c'est aussi le lac le plus profond au monde. Ses eaux sonl d'une ponde inouïe, en hiver on peut voir jusqu'à 40 mètres de profondeur à travers la glace qui le recouvre. Le Baïkal est aussi le plus vieux lac sur Terre, il aurait plus de 25 millions d'années. Il n'est donc pas étonnant qu'il abrite des espèces uniques au monde, comme le sympathique phoque de Sibérie Un tel trésor est inscrit depuis 1996 au Patrimoine Mondial de l'UNESCO. L'île d'Olkhon est la plus grande île du Lac Baïkal, et c'est aussi un lieu sacré, habitat des esprits terribles du lac, qui apparaît dans les mythes et les légendes bouriates. Elle est considérée comme le Centre Sacré du monde des chamans du Nord, dont le centre suprême est le Rocher des Chamans, où les corps des chamans défunts étaient autrefois brûlés.  Le Lac Baïkal « Perle de Sibérie ». | Nicolas Pernot est photographe, réalisateur documentariste et conférencier, mais c'est plutôt en nomade des temps modernes qu'il tend lui-même à se définir. Infatigable baroudeur, il part à l'exploration de contrées souvent méconnues pour en découvrir et révéler les secrets, la culture et les beautés. Puis, lors de ses ciné-conférences, il monte sur scène et, tel un conteur, il donne vie à ses photographies et films documentaires. Il est déjà venu en 2023 nous présenter son magnifique film « Géorgie Hors du Temps ». La conférence sera suivie d'un drink.
Président : Comte Nicolas Apraxine Réservation : gregoire.tolstoi at gmail.com Prix : 10€ pour les membres de la FPPR, 15€ pour les non-membres. à régler avant le 31 janvier sur le compte de la FPPR. Banque : IBAN : BE81 3631 5890 3824 - BIC: BBRUBEBB avec la mention « Baïkal ».
Сайт/Site : http://www.fppr.be
|
|
| 11) |
le mardi 28 janvier 2025
|
Catégorie : Calendrier |
Type : Diffusion courriel |
6060 Charleroi (Gilly)
Calendrier d'événements à caractère culturel russe. Février 2025.
Diffusion de février 2025. Calendrier d'événements à caractère culturel russe.Entre autres nombreux événements à l'affiche, une surprise jusqu'au 28 février 2025 - un « Baba au rhum » à la Maison CFC - bravo Ludmila! En vous rappelant le prochain rendez-vous de la FPPR du 4 février 2025, nous vous invitons à papillonner au travers des 25 nouvelles affichettes du mois.
|
| 12) |
le mercredi 4 décembre 2024 à 19 heures précises
|
Catégorie : Histoire |
Type : Conférence |
Club Prince Albert, rue des petits Carmes 24, 1000 Bruxelles
60 icônes de la Mère de Dieu.
 « 60 icônes de la Mère de Dieu. » Conférence d'Ariane de Saint-Marcq. |
Cycle de conférences 2024 de la FPPR => Conférence de Ariane de Saint-Marcq. FPPR - Fondation pour la Préservation du Patrimoine Russe dans l'Union Européenne ASBL Au cours de ses nombreux voyages d'étude allant de la Russie à l'Égypte, l'auteure, Ariane de Saint-Marcq, a rassemblé photographies et relevés des représentations de la Dormition réalisées par les Anciens. Elle décrypte, pour nous, 60 icônes parfois totalement inconnues, tant orientales qu'occidentales, exécutées du Ve au XVe siècles sur différents supports comme la pierre, l'ivoire, le bois, le parchemin, et nous fait ainsi découvrir l'un des aspects le plus méconnu de la foi chrétienne et son message divin d'espérance.  Icône de la Mère de Dieu. | Ariane de Saint-Marcq est experte à Drouot depuis 1987 et enseignante à l'École Cathédrale, collège des Bernardins, depuis 1994. Elle a été directrice pédagogique de l'Accueil Jeunes à Notre Dame de Paris (1992-2001) et accompagnatrice de voyages culturels pour l'Association Française des Amis de l'Orient, AFAO ( Musée Guimet), ainsi que pour d'autres associations dont l'IHEDN. Conférencière reconnue à travers le monde, c'est une des meilleures spécialistes françaises des icônes. L'auteure dédicacera son livre après la conférence. La conférence sera suivie d'un drink.
Président : Comte Nicolas Apraxine Réservation : gregoire.tolstoi at gmail.com Prix : 10€ pour les membres de la FPPR, 15€ pour les non-membres. à régler avant le 10 septembre sur le compte de la FPPR. Banque : IBAN : BE81 3631 5890 3824 - BIC: BBRUBEBB avec la mention « Icônes ».
Сайт/Site : http://www.e-federations.com
|
|
| 13) |
le jeudi 14 novembre 2024
|
Catégorie : Calendrier |
Type : Diffusion courriel |
6060 Charleroi (Gilly)
mi-novembre 2024 => Calendrier d'événements à caractère culturel russe.
Diffusion de novembre 2024. Calendrier d'événements à caractère culturel russe.Cette diffusion courriel de mi-novembre est consacrée entre autres à l'annonce : • de la soirée d'hommage dédiée à la mémoire de notre ami Serge Delvenne ; • des panikhides « Gallipoli » en souvenir des soldats du grand exode russe ; • de l'appel de l'Higoumène Prokhor à votre générosité pécuniaire pour aider l'église des Saints Pantéleimon et Nicolas à affronter l'inique adversité ; • de la prochaine conférence FPPR sur le thème des icônes de la mère de Dieu...
|
| 14) |
le lundi 16 septembre 2024
|
Catégorie : Histoire |
Type : Conférence |
Club Prince Albert, rue des petits Carmes 24, 1000 Bruxelles
Dorothée de Lieven, Diplomate et icône du Concert Européen.
 Conférence de Monsieur Christophe Juban. |
Cycle de conférences 2024 de la FPPR => Conférence de Monsieur Christophe Juban. Fondation pour la Préservation du Patrimoine Russe dans l'Union Européenne ASBL Le destin de Dorothée de Lieven, née Benckendorff, est le brillant miroir de la première moitié du XlXème siècle. Née à Riga en 1785, élevée à Saint-Pétersbourg, elle épouse à l'âge de 15 ans le comte (et futur prince) Christophe de Lieven, qui, en 1812, devient ambassadeur de Russie à Londres. Les Lieven resteront dans la capitale anglaise jusqu'en 1834. Grande, mince, d'une extrême élégance et d'une distinction incomparable, parlant quatre langues à la perfection, pianiste de grand talent, elle devient rapidement l'une des figures les plus importantes de la société londonienne. Elle met son intelligence, sa vivacité d'esprit, sa compréhension des situations et des hommes au service de son unique passion : la diplomatie et la « haute politique ».  Dorothée de Lieven, Diplomate et icône du Concert Européen. |
En 1830 éclate la crise de l'indépendance de la Belgique qui aurait pu dégénérer en guerre générale européenne sans l'habileté de diplomates de talents comme le français Talleyrand ou l'anglais Palmerston. Grace à son intimité avec le Premier ministre Lord Grey, Dorothée de Lieven joue un rôle primordial pour rapprocher les cours de Londres et de Saint-Pétersbourg et éviter un conflit européen. Christophe Juban, notre conférencier, a été formé à l'École Nationale Supérieure des Mines et a fait une longue carrière chez Total où il assuma la vice-présidence de la Gouvernance. Son livre sur Dorothée de Lieven a été publié cette année aux éditions Michel de Maule. La conférence sera suivie d'un drink
Président : Comte Nicolas Apraxine Réservation : gregoire.tolstoi at gmail.com Prix : 10€ pour les membres de la FPPR, 15€ pour les non-membres. à régler avant le 10 septembre sur le compte de la FPPR. Banque : IBAN : BE81 3631 5890 3824 - BIC: BBRUBEBB avec la mention « Lieven ».
Сайт/Site : http://www.e-federations.com
|
|
| 15) |
le mardi 25 juin 2024 à 11 heures
|
Catégorie : Histoire |
Type : Conférence |
Restaurant de l’hôtel WARWICK BARSEY, avenue Louise 381, 1000 Bruxelles
L’Ordre de Malte en Russie.
Croix Ordre de Malte. |
par Grégoire Tolstoï FPPR - Fondation pour la Préservation du Patrimoine Russe dans l’Union européenne, ASBL L'Ordre de Malte, basé à Malte depuis 1530, en fut évincé par Bonaparte en juin 1798. Certains chevaliers se sont retrouvés en Russie, sous la « protection » de Paul 1er de Russie. Voir à ce sujet l'article : Les Chevaliers, 1798-1799.
J’ai l’honneur de vous inviter à participer à notre assemblée générale statutaire annuelle qui se tiendra mardi 25 juin 2024 à 11 h 30 au restaurant de l’hôtel WARWICK BARSEY, av. Louise 381 à 1000 Bruxelles, et, si vous le souhaitez, au déjeuner qui suivra.
Programme : 11 h 00 Enregistrement et accueil des participants 11 h 30 Assemblée générale statutaire 12 h 30 Déjeuner
Ordre du jour : 1. Accueil par le président du conseil d’administration, le Comte Nicolas Apraxine 2. Approbation du PV de l’assemblée générale statutaire du 15 juin 2023 3. Présentation et approbation du rapport d’activité 2023 4. Présentation et approbation des comptes 2023 5. Décharge aux administrateurs 6. Election ou renouvellement du mandat du vérificateur aux comptes 7. Présentation, discussion et approbation du plan d’activités 2024 8. Détermination du montant de la cotisation 2025 9. Présentation, discussion et approbation du budget 2024 10. Divers
Nous rappelons que seuls pourront voter les membres effectifs en règle de cotisation. AU CAS OU VOUS NE POURRIEZ PAS Y ASSISTER, NOUS VOUS PRIONS DE REMPLIR LA PROCURATION EN ANNEXE (deux maximum par bénéficiaire). L’AG sera suivie à 12h30 d’un déjeuner - conférence par Grégoire Tolstoï sur « L’Ordre de Malte en Russie ». Veuillez agréez, chers amis, l’expression de toute mon amitié, Comte Nicolas Apraxine, Président de la FPPR
La PAF au repas est fixée à 35 € par personne, vin et café non compris. Menu : Entrées 1. Salade de Pouilles Burrata tomates et fraise ou 2. Melon mantovano et jambon de Parma Plats 3. Solette meunière et ses légumes ou 4. Poulet façon coq-au-vin meli mélo des légumes. Dessert Tartare des fruit exotiques et boule glace vanille. Le choix des plats nous doit être transmis avec l’inscription au déjeuner pour le samedi 22 juin au plus tard au compte ING de la FPPR (BE81 3631 5890 3824) avec indication du nombre de personnes et du choix de menu ( menu 1 - 4 par exemple).
http://www.e-federations.com https://visiterlavalette.com/2019/08/28/les-chevaliers-1798-1799-apres-malte-la-russie/
|
|
| 16) |
le mercredi 24 avril 2024 à 19 heures précises. (Entrée par la porte cochère, parking à gauche)
|
Catégorie : Histoire |
Type : Conférence |
Club Prince Albert, rue des petits Carmes 24, 1000 Bruxelles
La Confrérie de la Vérité russe, un réseau secret de monarchistes russes.
 La Confrérie de la Vérité russe, un réseau secret de monarchistes russes. |
Cycle de conférences 2024 de la FPPR => Conférence de Madame Ekaterina Nikolaeva-Tendil Fondation pour la Préservation du Patrimoine Russe dans l'Union Européenne ASBL Après la Guerre Civile, dispersés à travers le monde, les Russes blancs tentent de poursuivre leur combat antibolchevique en espérant qu'un jour, ils pourront retourner dans leur patrie. De nombreuses organisations et unions sont alors créées par des émigrés russes à l'étranger. Parmi elles, une organisation obscure et secrète : Братство Русской Правды. Confrérie de la Vérité russeOrganisée autour d'un vaste réseau de « frères » qui communiquaient entre eux sous couvert de numéros de matricules et de pseudonymes, elle menait son activité dans l'ombre. Elle reste aujourd'hui très peu étudiée par les historiens. Poursuivie sans relâche par la Guépéou, la Confrérie de la Vérité russe a poursuivi son activité pendant presque deux décennies, impliquant des centaines de frères à travers le mondeExperte en art russe et spécialiste de l'émigration blanche, Ekaterina Nikolaeva-Tendil, présentera cette conférence autour de l'organisation la plus secrète des exilés russes dans les années 1920-1930. Elle dévoilera son activité et sa structure, racontera comment la découverte d'un corpus d'archives mises aux enchères publiques a permis de redécouvrir cette organisation et son importance. La conférence sera suivie d'un drink.
Président : Comte Nicolas Apraxine Réservation : gregoire.tolstoi at gmail.com Prix : 10€ pour les membres de la FPPR, 15€ pour les non-membres. à régler avant le 19 avril sur le compte de la FPPR. Banque : IBAN : BE81 3631 5890 3824 - BIC: BBRUBEBB avec la mention « Confrérie ».
Сайт/Site : https://russian-history.fandom.com/wiki/Братство_Русской_Правды
|
|
| 17) |
du lundi 1 avril 2024 au mardi 30 avril 2024
|
Catégorie : Calendrier |
Type : Diffusion courriel |
6060 Gilly (Charleroi)
mi-Avril 2024 => Calendrier d'événements à caractère culturel russe.
Diffusion d'avril 2024. Calendrier d'événements à caractère culturel russe.Cette diffusion-courriel est destinée à rappeler que l'Agenda Culture Russe peut être consulté en ligne à tout moment et ce sans en attendre la présente distribution expresse épisodique. En effet, de nouvelles affiches sont régulièrement ajoutées au calendrier et nous remercions les personnes nous signalant les mises à jour liées aux traditions et à l'histoire de notre communauté. Bien triste nouvelle : une petite pensée souvenir à Michel Fossoul notre grand ami de mère russe et membre fidèle de la FPPR.
|
| 18) |
le lundi 19 février 2024
|
Catégorie : Histoire |
Type : Conférence |
Club Prince Albert, rue des petits Carmes 24, 1000 Bruxelles
Les enfants du Potemkine, les chemins de l'exil, d'Odessa à Bruxelles.
 Les enfants du Potemkine, les chemins de l'exil, d'Odessa à Bruxelles. |
par André Waedemon-Baugniet Cycle de conférences FPPR - Fondation pour la Préservation du Patrimoine Russe dans l'Union Européenne André Waedemon-Baugniet vient de publier à Paris son livre « Les enfants du Potemkine », inspiré par la vie de sa mère qui était russe. Olga Reich est née à Odessa en 1902. Après une enfance dorée, elle a été chassée en 1917, comme tant d'autres familles russes, sur les chemins de l'exil. Et dans les tourbillons de l'histoire, elle échappe à la mort, fuit d'Odessa à Constantinople, à Rome, à Berlin, à Varsovie pour se poser finalement à Bruxelles où elle vivra jusqu'à l'an 2000. Olga était une femme incroyablement libre, pleine d'audace et de fantaisie, se sachant belle, passionnée. Intransigeante. Et amoureuse. Entre autres, de son joli prince Bentivoglio. Et du consul d'Italie à Berlin, Giacomo Corvino, d'un banquier polonais dont elle fit son premier mari mais qu'elle quitta trois mois plus tard et de Serge Pitoëff à Paris. Elle a vécu la montée du fascisme en Italie, celle des nazis en Allemagne, la dictature de Pilsudski en Pologne, les Années folles et le krash de 1929. Elle n'a jamais cessé de croire à sa bonne étoile. Elle n'a jamais renoncé à ses rêves. Elle est une héroïne de roman. André Waedemon-Baugniet a été avocat et chef d'entreprise. Il nous livre ce magnifique récit qui met en lumière une femme extraordinaire.
La conférence sera suivie d'un drink. Président : Cte Nicolas Apraxine - Réservation : gregoire.tolstoi at gmail.com - Prix : 10€ pour les membres de la FPPR. 15€ pour les non•membres, à régler avant le 12 février 2024 sur le compte de la FPPR ou sur place le soir de la conférence. Banque : IBAN BE8I 3631 5890 3824 - BIC : BBRUIBEBB avec la mention « Potemkine ».
http://www.fppr.be
|
|
| 19) |
du mercredi 31 janvier 2024 au jeudi 1 février 2024
|
Catégorie : Calendrier |
Type : Diffusion courriel |
6060 Gilly (Charleroi)
Février 2024 => Calendrier d'événements à caractère culturel russe.
Diffusion de février 2024. Calendrier d'événements à caractère culturel russe.Entre autres affiches de l'album de février 2024, notons les deux concerts Grétry donnés les 10&11/02 en Cité ardente à l'occasion de la visite de l'accordéoniste Roman Jbanov. L'annonce par la FPPR de la sortie de sa revue annuelle ainsi que sa prochaine conférence du 19/02 dédiée aux enfants du Potemkine. Puis de l'ouverture du livre-souvenirs en mémoire de Nadia Voïekoff qui nous a quittés au début de cette année.
|
| 20) |
le lundi 1 janvier 2024
|
Catégorie : Histoire émigration russe |
Type : Revue périodique |
FPPR - Fédération pour la Préservation du Patrimoine Russe en Union Européenne, avenue E. Parmentierlaan 48, 1150 Bruxelles
Revue FPPR n°12 (décembre 2023) - Grégoire Grégorievitch Marazli (1831-1907).
Grégoire Grégorievitch Marazli (1831-1907). |
Le mot du Président, par Nicolas Apraxine Fondation pour la Préservation du Patrimoine Russe dans l'Union Européenne Mot du Président par le Comte Nicolas Apraxine I. in Memoriam Jean Blankoff par Vladimir Berelowitch II. in Memoriam Nicolas Bieliavsky par Daniel Stevens III. in Memoriam Pierre Apraxine par le Comte Nicolas Apraxine IV. in Memoriam Irène Sergueïeff par Daniel Stevens V. in Memoriam Michel Drachoussof par Alexandre Khoudokormoff VI. La Russie et l'indépendance de la Grèce par Grégoire Tolstoï VII. Journal de Vladimir Drachoussoff par Michel Drachoussoff VIII. Réalités sur la révolution bolchevique par Miche! Schorochoff IX. André Illiashenko par Daria Brancart X. Baron balte ou Prince géorgien par Alexandre von Sivers
Revue annuelle disponible sur demande : galitzine.boris at hotmail.com (12 € + frais de port). Siège social : FPPR, avenue E. Parmentierlaan, 48 - 1150 Bruxelles Banque : IBAN BE81 3631 5890 3824 Contact : landsberg.andre at skynet.be
Сайт/Site : http://www.e-federations.com/
|
|
| 21) |
le lundi 11 décembre 2023
|
Catégorie : Assemblée générale |
Type : Associations |
Club Prince Albert, rue des petits Carmes 24, 1000 Bruxelles
FPPR : Convocation à l'assemblée générale extraordinaire.
 Convocation à l|assemblée générale extraordinaire de la FPPR. |
Comité d'administration de la FPPR Fondation pour la Préservation du Patrimoine Russe dans l'Union Européenne ASBL Fondation pour la Préservation du Patrimoine Russe dans l'Union européenne, ASBL Stichting voor de Bewaring van het Russische Erfgoed in de Europese Unie, VZW Foundation for the Preservation of the Russian Heritage in the European Union Convocation à l'assemblée générale extraordinaire du 11 fdécembre 2023 à 18 heures Cher membre de la FPPR, Le Conseil d'Administration de la Fondation pour la Préservation du Patrimoine Russe en U.E. A.S.B.L. a l'honneur de vous inviter à son Assemblée Générale Extraordinaire qui se tiendra le lundi 11 décembre 2023 à 18h00 au Club Prince Albert, 24 rue des petits Carmes à 1000 Bruxelles avec uniquement à l'ordre du jour le point suivant : Modification des statuts pour les mettre en concordance avec la loi du 23 mars 2019 introduisant le Code des Sociétés et des Associations
Par souci de clarté, l'ensemble des statuts coordonnés sont repris ci-après, avec les ajouts en rouge et les suppressions en bleu.
Le Conseil signale qu'un quorum de 2/3 de membres est requit. Le Conseil compte donc sur votre présence ou, en cas d'empêchement, sur votre représentation par un autre membre de l'A.S.B.L. en remplissant le talon ci dessous, et en le renvoyant par mail à un administrateur ou à (galitzine.boris@hotmail.com) ou par courrier à Princesse Boris Galitzine — Venelle des Buissons 1 bte 11 — 1300 WAVRE. Ce qui vous permettra d'exercer votre droit de vote. Vous pouvez aussi laisser en blanc le nom du destinataire de la procuration, chaque membre présent ne pouvant accepter que 2 procurations. Au cas où le quorum n'est pas atteint, il sera convoqué une autre Assemblée Générale Extraordinaire avec le même ordre du jour le mercredi 27 décembre à 18h00 au même endroit. Cette assemblée se tiendra valablement quel que soit le nombre de présents ou de représentés.
Après cette AG extraordinaire, à 19 heures, Alexandra Besobrasoff nous parlera de l'histoire de sa famille. La soirée se terminera, comme d'habitude, par les moments de convivialité habituels.
Pour le Conseil d'Administration le Président
Comte Nicolas Apraxine
ASBL — VZW : N° d'entreprise 476 153 402 | N° de l'association 234 432 001 Siège social : Avenue Edmond Parmentier 48, 1150 Bruxelles. Secrétariat général : Daniel Stevens, courriel : dstevensric at skynet.be | téléphone : 0474 69 07 97
|
|
| 22) |
le lundi 11 décembre 2023 à 19 heures précises
|
Catégorie : Histoire |
Type : Conférence |
Cercle Prince Albert, rue des Petits Carmes, 1000 Bruxelles
Histoire de la famille Bezobrazoff.
Alexandra Bezobrazoff Conférence FPPR Histoire de la famille Bezobrazoff. |
par Alexandra Bezobrazoff Cycle de conférences FPPR - Fondation pour la Préservation du Patrimoine Russe dans l'Union Européenne La famille Bezobrazoff a traversé l'histoire de la Russie depuis le XVème siècle jusqu'à la fin de l'Empire des tsars. Toujours proche de la famille régnante, les Romanoff, mais aussi avant eux dans l'entourage d'Ivan le Terrible ou de Boris Godounov, elle a donné de nombreux serviteurs de l'Etat russe au plus haut niveau du pouvoir. Le grand-père de notre conférencière, le général Vladimir Bezobrazoff, a été un des grands généraux russes de la Première Guerre Mondiale. Ancien commandant du prestigieux régiment des Chevaliers-Gardes, il fut nommé par le tsar Nicolas II à la tête de l'Armée de la Garde pour combattre les Puissances Centrales. Il dirigeait à la fois les forces spéciales les mieux équipées, et l'élite de l'armée russe. Complots, amours, grandeurs et difficultés d'une famille de l'aristocratie russe, nous suivrons les différents rebondissements de celle-ci, et nous voyagerons dans le temps et dans l'espace, de la Russie au Congo, du Danemark à la Belgique.
Président : Cte Nicolas Apraxine - Réservation : gregoire.tolstoi at gmail.com - Prix : 10€ pour les membres de la FPPR. 15€ pour les non•membres, à régler sur le compte de la FPPR ou sur place le soir de la conférence. Banque : IBAN BE8I 3631 5890 3824 - BIC : BBRUIBEBB avec la mention « Alexandra ».
http://www.fppr.be
|
|
| 23) |
le jeudi 30 novembre 2023
|
Catégorie : Calendrier |
Type : Diffusion courriel |
|
| 24) |
le mercredi 15 novembre 2023 à 19 heures précises
|
Catégorie : Géorgie |
Type : Film et conférence |
Club Prince Albert, rue des Petits Carmes 20, 1000 Bruxelles
Géorgie hors du temps.
 Nicolas Pernot => Géorgie hors du temps. |
Cycle de conférences 2023 de la FPPR => Film et conférence de Nicolas Pernot. Fondation pour la Préservation du Patrimoine Russe dans l'Union Européenne ASBL Nicolas Pernot est photographe, réalisateur documentariste et conférencier, mais c'est plutôt en nomade des temps modernes qu'il tend lui-même à se définir. Infatigable baroudeur, il part à l'exploration de contrées souvent méconnues pour en découvrir et révéler les secrets, la culture et les beautés. Puis, lors de ses ciné-conférences, il monte sur scène et, tel un conteur, il donne vie à ses photographies et films documentaires.
Quatre longs séjours ont chacun débouché sur des ouvrages photographiques et de grandes tournées de conférences illustrées en France, en Suisse, en Belgique et au Canada : le Tadjikistan (2010-2014), l'île d'Olkhone au Lac Baïkal (2012-2016), la Géorgie depuis 2015, et l'Arménie (2021-2023). Le film qu'il nous présentera, « Géorgie Hors du Temps », est un voyage onirique à la découverte de ce pays à la fois proche et lointain, qui est mis à l'honneur en ce moment en Belgique avec Europalia Géorgie.
Président : Cte Nicolas Apraxine Réservation : gregoire.tolstoi at gmail.com Prix : 10€ pour les membres de la FPPR, 15€ pour les non-membres, à régler avant le 10 novembre sur le compte de la FPPR. Banque : IBAN : BE81 3631 5890 3824 - BIC : BBRUBEBB avec la mention « Géorgie ».
Сайт/Site : http://www.fppr.be
|
|
| 25) |
le jeudi 15 juin 2023 à 12 heures 30' précises
|
Catégorie : Histoire |
Type : Conférence |
Club Prince Albert, rue des Petits Carmes, 20 1000 Bruxelles
Le cimetière de Sainte-Geneviève-des-Bois - histoire et situation actuelle.
 Déjeuner-conférence => Le cimetière de Sainte-Geneviève-des-Bois - histoire et situation actuelle. |
par Nicolas Lapoukhine, président du CESOR (Comité pour l’Entretien des Sépultures Orthodoxes Russes) Déjeuner-conférence à l'occasion de l'Assemblée générale statutaire 2023 de la FPPR Nicolas Lapoukhine viendra spécialement de Paris pour nous parler de ce joyau du Patrimoine russe en Europe.
Après une carrière dans l'industrie dans les fonctions financières et logistiques, et parallèlement chef de chœur à l'église de la Dormition de la Mère de Dieu à Sainte Geneviève des Bois, il est actuellement membre de l'administration diocésaine à l'Archevêché des églises orthodoxes de tradition russe en Europe occidentale (rue Daru à Paris), d'abord en tant que secrétaire diocésain et maintenant en tant que trésorier. Longtemps membre actif de l'ACER-MJO et maintenant secrétaire de l'ACCSS (Association Culturelle de la Colline St Serge) dont l'objet est la réhabilitation de la Colline St Serge à Paris (19 ème).
Sur proposition de Tatiana Chomcheff, il a pris sa succession en tant que président du CESOR (Comité pour l'Entretien des Sépultures Orthodoxes Russes) de Sainte Geneviève des Bois et marguillier (responsable laïc) de la paroisse de la Dormition à Sainte Geneviève des Bois. Au cimetière repose ses arrières grand parents, ses grands-parents, ses parents, deux de ses soeurs, et de très nombreux parents et amis.
Nicolas et son épouse sont tous deux issus de familles de la première émigration (l'un issu de vieilles familles nobiliaires, l'autre de famille d'intellectuels de renom et d'académiciens), il est père de 4 enfants et grand-père comblé
Participation aux frais : € 45,00 à payer avant le 10 juin sur le compte de la FPPR : IBAN : BE81 3631 5890 3824 / BIC : BBRUBEBB Mention : Lopoukhine A confirmer par courriel à gregoire.tolstoi at gmail.com Au plaisir de vous y rencontrer, Marie-Marcelle Galitzine, secrétaire ASBL-VZW N° BE 0476.153.402 / Siège social : avenue E. Parmentier 48 B-1150 Bruxelles
http://www.fppr.be
|
|
| 26) |
le jeudi 1 juin 2023
|
Catégorie : Calendrier |
Type : Diffusion courriel |
|
| 27) |
le jeudi 25 mai 2023 à 19 heures précises
|
Catégorie : Généalogie |
Type : Conférence |
Club Prince Albert, rue des Petits Carmes 20, 1000 Bruxelles
Retracer la vie d'un ancêtre Russe Blanc.
 Nicolas ZnamenskyRetracer la vie d'un ancêtre Russe Blanc. |
Conférence de Nicolas Znamensky Organisée par la Fondation pour la Préservation du Patrimoine Russe dans l'Union Européenne Notre conférencier Nicolas Znamensky est né dans une famille issue de l'Emigration des Russes Blancs en Belgique. Il s'est lancé dans la recherche de renseignements sur ses ancêtres, un véritable labyrinthe administratif et d'archives diverses dans lequel ceux qui aimeraient aussi retrouver leurs ancêtres risquent de se perdre. Ayant acquis une grande expertise dans cette matière, il a voulu la partager avec te plus grand nombre pour faciliter les démarches de chacun. Il nous transmet son expérience dans un ouvrage en deux volumes.
« Les Russes Blancs, Contexte d'un exil forcé ». Ce volume fait le point sur les différentes vagues d'Emigration russe au XXème siècle, revient sur le contexte historique de l'Emigration blanche pour appréhender au mieux la réalité de l'époque, présente la succession de révolutions et de guerres qui changèrent à jamais le destin de ces populations et détaille les trajectoires de l'exode, les difficultés matérielles et juridiques auxquelles les exilés furent confrontés, ainsi que les actions de secours mises en place pour leur venir en aide.
« Les Russes Blancs, Retracer la vie d'un ancêtre ». Ce volume indique les sources d'archives et les pistes à explorer pour reconstituer la généalogie de ces familles russes dispersées un peu partout dans le monde. Il détaille les particularités de cette recherche généalogique (barrière de la langue, problèmes de datation, modifications de frontières et de noms de villes, relations avec les archives russes, difficultés de paiement, etc.). Il liste les principaux dépôts d'archives concernant les Russes Blancs à travers le monde, et explore les sources d'archives disponibles en Belgique, en France et en Fédération de Russie.
Président : Cte Nicolas Apraxine Réservation : gregoiretolstoi at gmail.com Prix : 10 € pour les membres de la FPPR, 15 € pour les non-membres, à régler avant le 18 mai sur le compte de la FPPR. Banque : IBAN : BE81 3631 5890 3824 - BIC : BBRUBEBB avec la mention « Znamensky »
• https://russesblancs.fr • http://www.vava.be/Russian-events-notice.htm?IDEvent=7903 • http://www.vava.be/Russian-events-notice.htm?IDEvent=7904
|
|
| 28) |
le dimanche 30 avril 2023
|
Catégorie : Calendrier |
Type : Diffusion courriel |
6060 Gilly (Charleroi)
Mai 2023 => Calendrier d'événements à caractère culturel russe.
Diffusion de mai 2023. Calendrier d'événements à caractère culturel russe.Parmi les affichettes de cet album notons les souhaits de Joyeuses Pâques exprimés au cours du mois écoulé par Cazo via la page d'un « Часовой » belge ainsi que par notre paroisse qui lance par ailleurs un appel impérieux aux dons pour traverser une lourde période d'astreintes iniques. Mais quid cette année du pèlerinage annuel au cimetière à Mourmelon (week end de la Pentecôte) ? alors que le 83ème camp d'été des Vitiaz est bel et bien annoncé! La FPPR - Fondation pour la Preservation du Patrimoine Russe dans l'Union Européenne annonce ses conférence du 25 mai 2023 et assemblée générale du 15 juin 2023. Puis, une première : la sortie du film de fiction « Вызов » qui transcende les nombreux autres divertissements culturels. http://www.vava.be/Mail/RC_Mailing_April_30,_2023.html
|  |
|
|
| 29) |
le jeudi 20 avril 2023 à 11 heures
|
Catégorie : Assemblée générale |
Type : Associations |
Cercle Prince Albert, rue des Petits Carmes, 1000 Bruxelles
Le cimetière de Sainte-Geneviève-des-Bois - histoire et situation actuelle.
 Le cimetière de Sainte-Geneviève-des-Bois - histoire et situation actuelle. |
par Nicolas Lapoukhine, président du CESOR (Comité pour l’Entretien des Sépultures Orthodoxes Russes) Déjeuner-conférence à l'occasion de l'Assemblée générale statutaire 2023 de la FPPRNicolas Lapoukhine, président du CESOR (Comité pour l’Entretien des Sépultures Orthodoxes Russes) viendra spécialement de Paris pour nous parler de ce joyau du Patrimoine russe en Europe. Cher membre, COTISATIONS 2023 LIDBIJDRAGENPouvons-nous vous demander de renouveler votre cotisation pour l’année en cours ; vous aviez eu l’amabilité de le faire pour l’une des années précédentes. Comme vous le savez, la cotisation donne droit au bulletin, prévu pour la seconde partie de l’année, et à une réduction pour la participation aux activités organisées par la Fondation. Le montant normal de la cotisation - inchangé - est fixé à 60 (soixante) EURO, (et à 20 € pour les conjoints des membres ainsi que pour les étudiants) que nous vous demandons de verser au compte habituel BE81 3631 5890 3824 le code BIC de la banque ING Belgium est BBRUBEBB. Nous vous informons déjà de la date de notre prochaine conférence : le 25 mai (détails suivront) et de l’assemblée générale statutaire : le 15 juin prochain à 11 h, au Cercle Prince Albert, rue des Petits Carmes, 1000 Bruxelles, suivi d’un déjeuner. Les membres en règle de cotisation y seront invités selon les formes légales, à condition que la cotisation 2023 ait été payée pour le 25 mai au plus tard. Nous exprimons notre gratitude à la vingtaine de membres qui ont déjà versé spontanément leur cotisation pour cette année. Recevez, avec nos remerciements anticipés, l’expression de nos sentiments très distingués. Au nom du Conseil d’Administration Marie-Marcelle Galitzine, Secrétaire du Conseil Nicolas Apraxine, Président
Participation aux frais : € 45,00 à payer d’avance sur le compte de la FPPR : IBAN : BE81 3631 5890 3824 / BIC : BBRUBEBB Mention : déjeuner 15/06/23 A confirmer par courriel à gregoire.tolstoi at gmail.com Au plaisir de vous y rencontrer, Marie-Marcelle Galitzine, secrétaire ASBL-VZW N° BE 0476.153.402 / Siège social : avenue E. Parmentier 48 B-1150 Bruxelles
http://www.fppr.be
|
|
| 30) |
le dimanche 1 janvier 2023
|
Catégorie : Calendrier |
Type : Diffusion courriel |
|
| 31) |
le dimanche 1 janvier 2023
|
Catégorie : Histoire émigration russe |
Type : Revue périodique |
FPPR - Fédération pour la Préservation du Patrimoine Russe en Union Européenne, avenue E. Parmentierlaan 48, 1150 Bruxelles
Revue FPPR n°11 (décembre 2022) - Ivan Tourguéniev (1818-1883).
Ivan Tourguéniev (1818-1883). |
Le mot du Président, par Nicolas Apraxine Fondation pour la Préservation du Patrimoine Russe dans l'Union Européenne Sommaire Le mot du Président I. In memoriam - Comtesse Marie Apraxine, par André, Barbara, Elisabeth et Pierre Apraxine Général René Bats, par Daniel Stevens II. Mémoires Vladimir Drachoussoff - Une vie contrastée 1917-2002 - Russie, Belgique, Congo Belge, Belgique, Russie, par Vladimir Drachoussoff III. Mémoires du Colonel Schorochoff - Sur l'offensive Kerenski de juillet 1977, par André Schrochoff IV. Comité Sakharov en Belgique - La guerre froide et le Comité Sakharov International en Belgique, par Prof. Em. Daniel van Steenberghe V. Ivan Tourguéniev - Le pont entre les cultures et homme de paix, écrivain russe, mais aussi écrivain de langue française, par Michel De Grave VI. Dons reçus par la FPPR VII. Index par auteur du n°1 à 11 de la revue par André Landsberg VIII. Index chronologique du n° 1 à 11 de la revue par André Landsberg
Editeur responsable, rédacteur en chef : André Landsberg Imprimerie : European Graphic - Le livre en Papier Graphisme et retouche photo : Alexandre Kouprianoff
Revue annuelle disponible sur demande : galitzine.boris at hotmail.com (12 € + frais de port). Siège social : FPPR, avenue E. Parmentierlaan, 48 - 1150 Bruxelles Banque : IBAN BE81 3631 5890 3824 Contact : landsberg.andre at skynet.be
Сайт/Site : http://www.e-federations.com/
|
|
| 32) |
le lundi 28 novembre 2022 à 20 heures précises
|
Catégorie : Histoire |
Type : Conférence |
Palais des Académies, rue Ducale 1, 1000 Bruxelles
La Princesse d'Orange, Anna Pavlovna, les années bruxelloises.
Paul Rem => Anna Pavlovna, Princesse d'Orange. |
Conférence de Paul Rem FPPR - Fondation pour la Préservation du Patrimoine Russe dans l'Union Européenne Notre conférencier, Paul Rem, est l'actuel conservateur du Palais Het Loo, palais de la Famille Royale des Pays-Bas à Apeldoom, et qui fut une résidence de la Maison d'Orange-Nassau jusqu'à la mort de la Reine Wilhelmine en 1962. A ce titre il a organisé une grande exposition sur la Reine Anna Pavlovna dans ce palais en 2016 et en a rédigé le catalogue. Paul Rem est un historien de l'Art, il est aussi présentateur d'émissions à caractère historique à la télévision hollandaise. Il écrit également avec beaucoup de talent pour différents magazines. Le magazine Esquire lui a décerné le titre d'Homme le Plus Elégant des Pays-Bas en 2020.
Anna Pavlovna Fille de l'empereur Paul ler et petite-tille de Catherine la Grande, sœur des empereurs Alexandre le et Nicolas 1er, Anna Pavlovna a épousé en 1816 le Prince d'Orange, héros de la Bataille de Waterloo et héritier de la Couronne des Pays-Bas. En tant que Princesse d'Orange elle a habité à Bruxelles où elle a fait bâtir le magnifique palais qui nous accueillera pour cette conférence unique : le Palais du Prince d'Orange, connu aujourd'hui sous le nom de Palais des Académies. Elle est devenue Reine des Pays-Bas en 1840 lorsque son mari a accédé au Trône, après que son père le Roi Guillaume Ier ait abdiqué par amour pour épouser la comtesse belge Henriette d'Oultremont.
Président : Cte Nicolas Apraxine - Réservation : gregoire.tolstoi at gmail.com - Prix : 10€ pour les membres de la FPPR. 15€ pour les non•membres, à régler sur le compte de la FPPR ou sur place le soir de la conférence. Banque : IBAN BE8I 3631 5890 3824 - BIC : BBRUIBEBB avec la mention « Anna Pavlovna ».
Сайт/Site : http://www.e-federations.com/
|
|
| 33) |
le samedi 1 octobre 2022
|
Catégorie : Calendrier |
Type : Diffusion courriel |
6060 Gilly (Charleroi)
Octobre 2022 => Calendrier d'événements à caractère culturel russe.
Agenda culture russe - octobre 2022 Cliquer sur cette illustration pour la rendre interactive. |
| Voici la liste des événements actuellement proposés au calendrier : 01/10 → La Russie face à l'Europe, géopolitique et panslavisme (Nicolas Danilevski). 01/10 → La Voix – Le Fils. 01/10 → Russes et Ukrainiens : les frères inégaux du Moyen Âge à nos jours. 01/10 → Автобусная экскурсия - Германия – Бонн, Замок Августусбург. 04/10 → Stravinsky / Ravel. Teodor Currentzis / Utopia Orchestra. 05/10 → Le Bonheur de Tatiana Frolova. 06/10 → Cazo : Art russe - Русское искусство. 07/10 → L'Art d’ici et d’ailleurs. Svetlana Grichina. 08/10 → Saint-Péterbourg au centre de l'Europe musicale. 11/10 → Cinema club : « Selfie » 13/10 → Ukraine : quel avenir pour les relations entre la Russie et l’Union européenne? 15/10 → Spectacle Cocon. 15/10 → Exposition de couvre-chefs russes œuvres d'auteur. 16/10 → Les dimanches en famille. Danse, Petrouchka! 16/10 → Тот, кто сидит в пруду. 20/10 → Artistes russes en Europe. Intimités, créations, exils. Ajouts aux livres d'or des sites :
- vava.be :
- Земля припомнит всё ... La terre se rappellera de tout
- Если Бог за нас, кто против нас?
- Россия есть живой организм (Иван Ильин)
- FPPR.be :
- Re-naturalisation d'émigrés blancs
- Souscription concession sépulture André Illiaschenko
|
|
|
| 34) |
le lundi 19 septembre 2022 à 19 heures précises
|
Catégorie : Biographie |
Type : Conférence |
Club Prince Albert, rue des Petits Carmes 20, 1000 Bruxelles
Léon Tolstoï, l'homme.
Sacha Tolstoï => Léon Tolstoï, l'homme.. Conférence FPPR. |
Conférence de Sacha Tolstoï suivie d'un cocktail FPPR - Fondation pour la Préservation du Patrimoine Russe en Union Européenne Notre conférencier Sacha Tolstoï est né à Paris, fils du comte Serge Mikhaïlovitch Tolstoï (1911-1996) médecin connu à Paris, petit-fils de Léon Tolstoï et auteur de trois, livres biographiques et familiaux : Tolstoï et les Tolstoï (1980). Les enfants de Tolstoï (1989) et de Léon Tolstoï (en collaboration avec Pierre Apraxine, 1991). En 1977 Serge Tolstoï a créé l'Association des Amis de Léon Tolstoï que préside aujourd'hui Dimitri Tolstoï, le frère de notre conférencier. Serge Tolstoï a transmis à son fils Sacha l'amour de la famille et de la littérature.
Sacha Tolstoï a connu plusieurs vies. Dans l'une d'elles il fut un très grand pêcheur, spécialiste reconnu mondialement et auteur de nombreux records du Monde aux quatre coins de la planète, propriétaire d'un célèbre magasin à Paris, Le Coin de Pêche. Il a enseigné l'art de la pêche aux rois et aux présidents, a créé deux revues de pêche et une chaîne de télévision consacrée à cette passion. Sacha Tolstoï est aussi un auteur prolifique de nouvelles, chroniques, contes et récits, et de livres consacrés à sa passion. Parmi eux : Pêche au Gros (1987), Des Grands Poissons et des Hommes (1991), Au-delà de l'Océan (2002), Comme un Poisson dans l'Eau (autobiographie 2010), Concupiscence (2005), Bric-à-Brac (2011), Du Coq à l'Âne (2015), Nicolas Wyrouboff, Héros français, seigneur russe (biographie 2018), Exil (2019), Correspondance (2020), Ma Dourakine (2021). Officier de la Légion Etrangère, Sacha Tolstoï a participé à la guerre d'Algérie. Il alongtemps habité en Uruguay et vit aujourd'hui, en Normandie.
Prix : 10 € pour les membres FPPR, 15 € pour les non-membres à régler avant le 14 septembre sur le compte IBAN: BE81 3631 5890 3824 / BIC: BBRUBEBB de la FPPR avec la mention « Sacha Tolstoï ». Réservation indispensable à gregoire.tolstoi at gmail.com.
|
|
| 35) |
le mercredi 2 février 2022
|
Catégorie : Histoire émigration russe |
Type : Revue périodique |
FPPR, avenue E. Parmentierlaan 48, 1150 Bruxelles
Revue FPPR n°10 (décembre 2021) - Guerre russo-turque de 1877-1878 dans le Caucase.
Guerre russo-turque de 1877-1878 dans le Caucase. |
Le mot du Président, par Nicolas Apraxine Fondation pour la Préservation du Patrimoine Russe dans l'Union Européenne Sommaire I. In memoriam Nathalie Reingardt par Alexandre Khoudokormoff II. Visage de l'Orthodoxie russe en Belgique Le père Athanase Petrov, acquéreur de la maison de l'Eglise Russe rue des Chevaliers (Ixelles) par le père Serge Model III. Récit de l'histoire de la Famille Gabaieff Lettre du Général Gabaieff à son fils Traduction et introduction par Alexandre Khoudokormoff IV. Le coup du sort ou le destin de la Famille de Boulatzell Les retrouvailles inattendues des deux frères par Pierre Lierneux V. Téhéran 1929 - Paris 1923 Trois années de la Brigade Cosaque perse au Champ de Mars par Hélène Svetoividoff Runge VI. Tourisme en URSS Récit de l'accompagnement de Touristes en URSS par la Baronne Marie Noldé VII. Acquisitions du M.R.A. Parmi les dons fournis cette année au Musée Royal de l'Armée par Pierre Lierneux
Editeur responsable, rédacteur en chef : André Landsberg Imprimerie : European Graphic - Le livre en Papier Graphisme et retouche photo : Alexandre Kouprianoff
Revue annuelle disponible sur demande : galitzine.boris at hotmail.com (12 € + frais de port). Siège social : FPPR, avenue E. Parmentierlaan, 48 - 1150 Bruxelles Banque : IBAN BE81 3631 5890 3824
Сайт/Site : http://www.e-federations.com/
|
|
| 36) |
le jeudi 16 décembre 2021 à 13 heures
|
Catégorie : Faire-part |
Type : Décès |
Église collégiale Saint-Nicolas de Ciney, rue Nicolas Anciaux 5, 5590 Ciney
Notre chère amie Nadia est partie rejoindre son Yegor ...
 Cette photo de Nadia est très belle !!! |
Notre chère amie Nadia est partie rejoindre son Yegor ... Elle aimait la fête, elle aimait la vie, elle aimait sincèrement ses amis ... Une vraie Cosaque qui va nous manquer ! Repose en paix chère Nadia, nous ne t'oublierons jamais ... Michel Sélezneff
 Les membres de la Fondation pour la Préservation du Patrimoine Russe dans l'Union Européenne ( FPPR), ainsi que les membres de la Fondation Internationale Pouchkine ( FIP) ont la profonde tristesse de se joindre à Monique Marie Didembourg - cousine de Nadia - pour vous annoncer le décès de Nadia Chaperon du Larrêt, née Nadezhda Viktorovna Teviachoff, à Ixelles, le 18 janvier 1940, et décédée à Bouge (Namur), ce 29 novembre 2021. Les funérailles religieuses, selon le rite orthodoxe, seront célébrées par le Père Pavel le jeudi 16 décembre 2021 à 13h00 en l'Église collégiale Saint-Nicolas, rue Nicolas Anciaux 5, 5590 Ciney et suivies de l'inhumation au cimetière de Ciney, rue du Cimetière 5590 Ciney. Mémoire éternelle ! Livre de condoléances pour recueillir les marques de sympathie et d'amitiés, raconter des souvenirs de vie, rassembler des textes, des photos, des vidéos.  Faire-part décès Nadia Teviachoff. 29 novembre 2021 |
Ainsi, nous nous joignons ici aux 428 de ses amis sur la toile dont 37 en commun pour exprimer et partager notre profonde tristesse ressentie au départ de notre Nadia Teviachoff.
Ma petite contribution et un in memoriam suivent ...
Dans ses derniers voeux, Nadia ne souhaitait ni fleurs ni couronnes, mais que toute marque d'amitié puisse s'exprimer par un don à la Fondation Internationale Pouchkine, aisbl, av. Hyppolyte Boulenger, 1180 Bruxelles IBAN BE44 3630 2325 1445 BIC BBRUBEBB
Liens : https://www.facebook.com/nadia.teviachoff.5 http://www.vava.be/Vava-Guestbook/Signer.htm Note : Momentanément, en parallèle de FB, le livre d'or de vava.be accueille vos marques de sympathie et souvenirs. Ils seront regroupés par la suite sous nos autres in memoria.
|
|
| 37) |
le lundi 31 mai 2021
|
Catégorie : Histoire émigration russe |
Type : Revue périodique |
FPPR, avenue E. Parmentierlaan 48, 1150 Bruxelles
Revue FPPR n°9 (décembre 2020) - 14 Novembre 1920 - Départ de la Crimée.
14 Novembre 1920 Départ de la Crimée. |
Le mot du Président, par Nicolas Apraxine Fondation pour la Préservation du Patrimoine Russe dans l'Union Européenne Sommaire I. In memoriam Le comte Anthony de Meeûs Un pont entre les dissidents soviétiques et l'Occident par Daniel Stevens et Gabriel de Meeûs Taniana Fabergé par Marie de Schlippe II. Centenaire de l'Exode L'évacuation de Crimée par Alexandre Khoudokormoff La brigade Cosaque Perse par Hélène Svetoividoff Runge III. La dissidence en URSS Dimitri Seseman, Une récidive dans l'exode Conversation avec Nikita Krivochéine par Anna Kouznetsova IV. Visage de l'orthodoxie russe en Belgique Le Père Nicolas Belorossov, premier prêtre orthodoxe russe en Belgique par le père Serge Model V. Dictionnaire biographique Les artistes russes en Belgique par Nadiejda Lecomte
Gratuite pour les membres FPPR 2019 (60 €) mais 12 € + frais d'envoi pour les non-membres. Siège social : avenue E. Parmentierlaan, 48 - 1150 Bruxelles Banque : IBAN BE81 3631 5890 3824 Revue annuelle disponible sur demande : galitzine.boris at hotmail.com
|
|
| 38) |
le vendredi 28 février 2020 à 19 heures 30'
|
Catégorie : Russie |
Type : Conférence |
Centre culturel La Vénerie/Ecuries, place Gilson 3, 1170 Bruxelles (Watermael-Boitsfort)
Ivan Tourgueniev, pont entre les cultures et homme de paix.
Michel De Grave => Ivan Tourgueniev, pont entre les cultures et homme de paix. Conférence FPPR. |
par Michel De Grave FPPR - Fondation pour la préservation du patrimoine russe dans l'Union Européenne Conférence donnée dans le cadre du cycle de conférences 2020 de la FPPR, par Michel De Grave, Président de l’Association des amis d’Ivan Tourgueniev, Pauline Viardot et Maria Malibran, et du Musée Tourgueniev à Bougival (France). Ecrivain russe, mais aussi écrivain de langue française, Ivan Tourgueniev fut l’un des principaux artisans de l’abolition du servage en Russie.
Président : Cte Nicolas Apraxine Réservation indispensable : patrimoine.russe at yahoo.com Les conférences sont suivies du verre de l’amitié. Banque : IBAN BE81 3631 5890 3824 – BIC : BBBRUBEBB avec la mention « Conférence » Rappel : les membres en règle de cotisation pour 2020 ont droit au tarif préférentiel de 8,00 € pour l’entrée au lieu de 12,00 €. Pour ceux qui ne le sont pas : la cotisation de 60,00 € est à verser au compte BE81 3631 5890 3824 de la FPPR asbl avec indication “cotisation 2020” suivi du nom et prénom du cotisant ( avant jeudi 27/02/2020 pour en profiter pour la conférence) N.B. Ceux qui ont déjà versé le montant de l’entrée à la conférence et qui ne sont pas intéressés par la nouvelle, peuvent en demander le remboursement par Mail avant dimanche 23 février à minuit soit à Georges Woronoff georgesworonoff at gmail.com, soit à nicolas.apraxine at compaqnet.be
http://www.patrimoine-russe.be
|
|
| 39) |
le vendredi 13 décembre 2019 à 19h30
|
Catégorie : Histoire |
Type : Conférence |
|
La Vénerie/Ecuries, Centre culturel, place Gilson 3, 1170 Bruxelles (Watermael Boitsfort)
Ma Russie - 2e partie.
 Ma Russie - 2e partie. Documentaire de Michel Drachoussoff. |
Documentaire de Michel Drachoussoff Titrer un film « Ma Russie » pourrait paraître prétentieux de la part de son auteur. Bien loin de lui la volonté de s’accaparer cet immense pays-continent, son histoire à la fois dramatique et glorieuse, ses habitants si souvent attachants et parfois quelque peu rébarbatifs. Comme chacun a sa vision personnelle d’un lieu, d’une personne, ou simplement d’une histoire, il a voulu ainsi exprimer sa propre vision et sa perception d’un pays qui pour lui évoque tant d’émotions et de souvenirs. Au cours de la vingtaine de voyages qu’il y a effectués depuis 1986, traversant la période allant de M. S. Gorbatchev à V. V. Poutine, ses sentiments vis-à-vis de la Russie ont souvent été contradictoires, passant de l’amour au rejet à un rythme déconcertant, au gré de ses rencontres et de ses humeurs, non par inconstance, mais plutôt par frustration de parfois ne pas comprendre, cerner la complexité de l’âme russe contemporaine. Ce film est le quatrième qu'il consacre à la terre de ses ancêtres. Ainsi, il vous présente les aspects les plus beaux de la Russie ancienne, au travers de ses cités grandioses, de ses palais, des bulbes de ses églises et cathédrales, de ses fêtes populaires. Mais également la Russie d’aujourd’hui, celles des grattes-ciel de verre et d’acier, des motards vêtus de cuir chevauchant leurs montures bruyantes, des chanteurs et des artistes. Enfin, il n’a pas voulu occulter l’histoire tragique de la période révolutionnaire et la terreur qui s’en suivit, celle qui provoqua l’élimination de dizaines de millions de Russes. Un pays ne peut exister sans sa mémoire, fût-elle glorieuse ou tragique. Entre enfer et paradis, l’espace est ténu. Il en est ainsi pour la Russie, capable du pire comme du meilleur. Un commentaire sans concession accompagné d’une bande sonore de grande qualité, cette ciné-conférence raconte un voyage qui ne vous laissera pas indifférent. Un film pour le plaisir des yeux, des oreilles… et de l’esprit. La séance du 29 novembre présentera entre autres Saint-Pétersbourg, divers lieux de mémoire, un voyage en voiture vers les îles Solovki, la renaissance de l’orthodoxie et les festivités traditionnelles de Ribinsk. La séance du 13 décembre nous emmènera à Moscou et ses environs, nous montrera la recherche des traditions dans l’artisanat et la chanson, ainsi quelques sites de l’Anneau d’Or.
PS : La salle de la Vénerie comporte 70 places assises, ne tardez pas à vous signaler … (confirmez-moi par retour du courrier, il ne reste plus que 40 places !) Entrée : 12 € (8 € membres FPPR et - 30 ans). Les conférences sont suivies du verre de l'amitié Banque : IBAN BE81 3631 5890 3824 avec la mention « conférence Ma Russie - Nom et nbre de personnes »
Le 22 novembre2019 chers membres et sympathisants de la FPPR, Nous sommes dans l’obligation de vous signaler que nous avons atteint l’extrême limite de la capacité de la salle « La Vennerie » et que nous devons donc clôturer impérativement les inscriptions Les nouveaux paiements que nous constaterons à partir de ce soir seront, bien entendu, remboursés. L’expression « être victime de son succès », bien souvent galvaudée, est hélas d’application. Très cordiales salutations de la part du Conseil d’Administration
Сайт/Site : http://www.drachoussoff.com
En tournée :
|
|
| 40) |
le dimanche 1 décembre 2019
|
|
|
Décembre 2019 => Calendrier d'événements à caractère culturel russe.
Diffusion de décembre 2019. Calendrier d'événements à caractère culturel russe.Calendrier d'événements à caractère culturel russe. Décembre 2019. Lien pour visualiser ce courriel dans votre navigateur : Mail/RC_Mailing_December_01,_2019.html | Calendrier vava.be décembre 2019 | Liste des intitulés | Album des affiches/illustrations | Descriptifs détaillés | Nouvelles affiches | Diaporama 1 → 100 ans culture russe (Bruxelles) 3,11 → Médias de grand chemin (Ixelles) 3 → Promenade en Carélie (Paris) 4,7-8, 12-14 → Casse noisette (Bruxelles/LLN/Oostende/Antwerpen) 5-6 → Lac des Cygnes (Bruxelles) → 6 Research Fellowships (London) 6 → Jahrezeiten Rachmaninow/Scriabin (Bad Homburg) 6 → Concert Noël Dzvinha (Forrières) 7 → Вечер песен и стихов (Sossenheim) 7,28 → Гастротур (Gent) 7-8 → Неоконченный роман (Antwerpen/Den Haag) 7 → Belfius art collection (Bruxelles) → 8 Anatevka (Antwerpen/Gent) 8 → Дело о средневековом убийстве (Bruxelles) 11,25,29/12-1/1 → Chœur d'hommes Alexandre Nevsky (Guebwiller/Paris) 11→ Russia cultural powerhouse (Woluwé-Saint-Lambert) 13,15,17-18 → Choeurs Armée Russe (Huy/Namur/Frameries/Mouscron/Ath) 13 → Ma Russie (Watermael) 14 → Christmas Concert (Bruxelles) 14-15 → Chantres Orthodoxes Russes (Roscoff/Crozon)
| 14 → Excursion autobus (Cologne/Bonn) 14-15 → Noël couleurs Russie (Forrières) 14 → Рождество Click Club (Aartselaar) 15,17,21 → Ballets Moroshka (Aix/Pau/Annecy) 16 → Faites entrer les musiciens (Paris) → 19 Je veux voir Mioussov (Paris) 19-20 → Concert de Noël (Bruxelles) 19 → Noël - Musiques de films (Paris) → 20 Intarsien-Kreativ Natur (Sossenheim) → 20 Tziganes 2 Guerre mondiale (Guipavas) 20-21 → Fille des neiges (Bruxelles) 20-31 → The Nutcracker (Sint-Niklaas/Namur/Bruxelles/Liège/Berlin) 22 → De Notenkraker (Beernem) 22 → Новогодняя сказка (Ougrée) → 24 Minin(g) (Marcinelle) 27-30 → Casse-Noisette (Bruxelles) 28-30 → De notenkraker(Gent/Forest) 29 → Брейгель в черно-белом (Bruxelles) → 5/1 Rodchenko. Kazan Art (Saint-Josse) → 31/1 ERA.Net RUS Plus Call 2019 (Gent) → 1/2 Hommage Maurice Ravel (Oostende/Longuenesse/Antwerpen/Mons/Gent/Liège)
|
Biographie : Revue FPPR n°8 (septembre 2019) La Russie et ses monstres au début de l'ère soviétique Histoire de l'Union soviétique Essais sur Boris Pasternak Goulag - Une histoire soviétique La Russie et la France : de Pierre le Grand à Lénine Le Jeu Russe sur l'échiquier global Rossica Quarta. Bibliothèque russe Baïkonour - Vestiges du Programme Spatial Soviétique Histoire et mythes de la mémoire russe
|
|
|
| 41) |
le vendredi 29 novembre 2019 à 19h30
|
Catégorie : Histoire |
Type : Conférence |
La Vénerie/Ecuries, Centre culturel, place Gilson 3, 1170 Bruxelles (Watermael Boitsfort)
Ma Russie - 1e partie.
 Ma Russie - 1e partie. Documentaire de Michel Drachoussoff. |
Documentaire de Michel Drachoussoff Titrer un film « Ma Russie » pourrait paraître prétentieux de la part de son auteur. Bien loin de lui la volonté de s’accaparer cet immense pays-continent, son histoire à la fois dramatique et glorieuse, ses habitants si souvent attachants et parfois quelque peu rébarbatifs. Comme chacun a sa vision personnelle d’un lieu, d’une personne, ou simplement d’une histoire, il a voulu ainsi exprimer sa propre vision et sa perception d’un pays qui pour lui évoque tant d’émotions et de souvenirs. Au cours de la vingtaine de voyages qu’il y a effectués depuis 1986, traversant la période allant de M. S. Gorbatchev à V. V. Poutine, ses sentiments vis-à-vis de la Russie ont souvent été contradictoires, passant de l’amour au rejet à un rythme déconcertant, au gré de ses rencontres et de ses humeurs, non par inconstance, mais plutôt par frustration de parfois ne pas comprendre, cerner la complexité de l’âme russe contemporaine. Ce film est le quatrième qu'il consacre à la terre de ses ancêtres. Ainsi, il vous présente les aspects les plus beaux de la Russie ancienne, au travers de ses cités grandioses, de ses palais, des bulbes de ses églises et cathédrales, de ses fêtes populaires. Mais également la Russie d’aujourd’hui, celles des grattes-ciel de verre et d’acier, des motards vêtus de cuir chevauchant leurs montures bruyantes, des chanteurs et des artistes. Enfin, il n’a pas voulu occulter l’histoire tragique de la période révolutionnaire et la terreur qui s’en suivit, celle qui provoqua l’élimination de dizaines de millions de Russes. Un pays ne peut exister sans sa mémoire, fût-elle glorieuse ou tragique. Entre enfer et paradis, l’espace est ténu. Il en est ainsi pour la Russie, capable du pire comme du meilleur. Un commentaire sans concession accompagné d’une bande sonore de grande qualité, cette ciné-conférence raconte un voyage qui ne vous laissera pas indifférent. Un film pour le plaisir des yeux, des oreilles… et de l’esprit. La séance du 29 novembre présentera entre autres Saint-Pétersbourg, divers lieux de mémoire, un voyage en voiture vers les îles Solovki, la renaissance de l’orthodoxie et les festivités traditionnelles de Ribinsk. La séance du 13 décembre nous emmènera à Moscou et ses environs, nous montrera la recherche des traditions dans l’artisanat et la chanson, ainsi quelques sites de l’Anneau d’Or.
PS : La salle de la Vénerie comporte 70 places assises, ne tardez pas à vous signaler … (confirmez-moi par retour du courrier, il ne reste plus que 40 places !) Entrée : 12 € (8 € membres FPPR et - 30 ans). Les conférences sont suivies du verre de l'amitié Banque : IBAN BE81 3631 5890 3824 avec la mention « conférence Ma Russie - Nom et nbre de personnes »
Le 22 novembre2019 chers membres et sympathisants de la FPPR, Nous sommes dans l’obligation de vous signaler que nous avons atteint l’extrême limite de la capacité de la salle « La Vennerie » et que nous devons donc clôturer impérativement les inscriptions Les nouveaux paiements que nous constaterons à partir de ce soir seront, bien entendu, remboursés. L’expression « être victime de son succès », bien souvent galvaudée, est hélas d’application. Très cordiales salutations de la part du Conseil d’Administration
Сайт/Site : http://www.drachoussoff.com
En tournée :
|
|
| 42) |
le vendredi 1 novembre 2019
|
|
|
Novembre 2019 => Calendrier d'événements à caractère culturel russe.
Diffusion de novembre 2019. Calendrier d'événements à caractère culturel russe.Calendrier d'événements à caractère culturel russe. Novembre 2019.
Lien pour visualiser ce courriel dans votre navigateur : Mail/RC_Mailing_November_01,_2019.html
| Calendrier vava.be novembre 2019 |  1-2 → Ballet Carmen (Bruxelles/Namur) 1-3 → Concert chœur de Crimée (Aulnat/Saint-Nectaire/Manglieu) 2 → Бард-клуб « Времена года » (Sossenheim) 3,15,17,24,29 → Tournée Kalinka (Retie/Alt-Hoeselt/Haaltert/Temploux/Herenthout) 3→ Встреча с Игорем Шевчуком (Anvers/Gand/Bruxelles) 4 → Levan Akin dance (Bruxelles) 4-15 → Corps expéditionnaire russe 1916-1920 (Neuilly-sur-Marne) 4-6 → Morphine - Морфий (Paris) 4 → Colloquium Russia and China (Gent) 5 → Concert Daniil Trifonov (Ixelles) 8 → Classique en jazz (Fontainebleau) 8 → Концерт солистов Государственного телевидения и радио России (Saint-Josse) → 9,14-24 Film Andrei Roublev (Ixelles) 13-19 → Cinéma festival. Regards de Russie (Paris) 15 → Conférence FPPR - Ma Russie (Watermael) 15 → Concert M. Martinova & M. Sabbah (Bruxelles)
| 15 → Vente Art russe (Paris) 16-18 → Auction russian art (Monaco) 16 → Qualification Euro 2020 : Russie-Belgique (Bruxelles) 19 → Conférence sur Pouchkine(Saint-Josse) 19 → Conférence Retour Russie en Afrique (Jodoigne) 19-24 → Triomphe de l’Art (Bruxelles) 21 → Financing products in EEU (Bruxelles) 22 → Gala Pouchkine 2019 (Genval) 23 → Toon Fret & Veronika Iltchenko (Ixelles) 24 → Swan Lake on the Water! (Laeken) → 30 Vassily Polenov - France terre de création et d’exil (Paris) 27-30 → inner landscapes (Bruxelles) 24/11-8/12 → Anatevka. Fiddler on the roof (Antwerpen/Gent) → 10-19/12 Je veux voir Mioussov (Paris) → 24/12 Minin(g) Charleroi (Marcinelle) 7/10-1/2/2020 → Ballet - Hommage aan Maurice Ravel (Oostende/Longuenesse/Antwerpen/Mons/Gent/Liège)
| Articles : Décès d’Anthony de Meeûs, qui rendit l’espoir aux dissidents russes ex cathedra : Comment les Russes ont sauvé la Belgique en 1914 ex cathedra : L’armée russe en 14-18 entre mythes et réalités Liste des intitulés | Album des affiches/illustrations | Descriptifs détaillés | Nouvelles affiches | Diaporama |
|
|
| 43) |
le mardi 1 octobre 2019
|
|
|
Octobre 2019 => Calendrier d'événements à caractère culturel russe.
Diffusion d'octobre 2019. Calendrier d'événements à caractère culturel russe.Calendrier d'événements à caractère culturel russe. Octobre 2019.
Lien pour visualiser ce courriel dans votre navigateur : Mail/RC_Mailing_October_01,_2019.html
| Calendrier vava.be octobre 2019 |  26/9 => Expo Cœur Flamboyant (Watermael) 29/9 => Salon Tourguéniev (Ixelles) 1/10 => Life is not in pink (Saint-Josse) 2 => Concert Tatiana Samouil (Bruxelles) 2-11 => Film festival (Saint-Josse) 4 => Kalinka ensemble (Mouscron) 4 => Conférence Geopolitical Competition (Saint-Josse) 5-6 => Excursion en autobus en Bourgogne 5-26 => Expo Sergei Sviatchenko (Ixelles) 5 => Muzikaal diner Kalinka (Geetbets) 6 => Cérémonie partiotique (Anthisnes) 9-10 => Irkutsk Baikal Economic Trade Mission (Bruxelles) 10/10-19/12 => Théâtre Je veux voir Mioussov (Paris) 11-13 => L'art d’ici et d’ailleurs (Huy) 11 => Conférence — A la table des tsars (Aix-en-Provence) 11-30 => Théâtre Dans les forêts de Sibérie (Paris) 11 => Opéra Jevgeni Onegin (Antwerpen) 13 => Live gypsy muziek aan tafel (Gent) | 14-15 => Meeting delegation Ryazan region (Brussels, Antwerp, Liege, Luxembourg) 15 => Concert Marriinsky Theaterorkest (Antwerpen) 15 => 2019 Transport & Logistics (Antwerpen) 15-18 => CCBLR Welcomes Rosneft Mission (Belgique) 18-21 => Het Zwanenmeer 2019-2020 (Hasselt, Gent, Antwerpen, Brugge) 19 => Excursion en autobus (Tournai, Lille) 20 => Kalinka ensemble (Wijnendale) 22 => Gala Dinner around Russian and Belarus ambassadors (Ixelles) 23 => Little big 1. Skibidi (Bruxelles) 25 => Kalinka ensemble (Gosnay, France) 25 => Tsirani Ensemble, Arménie (Ixelles) 26,28 => Théâtre Contes Russes (Paris) 26 => Guitare, Balalaïka et Romances russes (Fontainebleau) 26 => Brussels Dialogue (Ixelles) 27 => Kalinka ensemble (Brasschaat) 28,31 => Ballet Carmen (Sint-Niklaas,Antwerpen) | Bibliographie : Le siècle rouge, les mondes communistes 1919-1989, de Jean-Christophe Buisson, aux Éditions Perrin Famine rouge : La guerre de Staline en Ukraine, d'Anne Applebaum, aux Éditions Grasset Décès : ☦ Nina Borrissovna Carrée (Hansch - Ганш) nous a quittés début septembre 2019. Nous adressons nos profondes condoléances à la famille de la défunte, dont la mémoire a été évoquée au cours de l'AG de la FPPR de ce 19 septembre 2019 et suivie d'un recueillement et d'un Souvenir éternel.
Liste des intitulés | Album des affiches/illustrations | Descriptifs détaillés | Nouvelles affiches | Diaporama |
|
|
| 44) |
le mardi 1 octobre 2019
|
Catégorie : Histoire |
Type : Revue périodique |
FPPR, avenue E. Parmentierlaan 48, 1150 Bruxelles
Revue FPPR n°8 (septembre 2019) - Pierre le Grand et la Table des Rangs.
Pierre le Grand et la Table des Rangs. |
Marina Tolstoy Fondation pour la Préservation du Patrimoine Russe dans l'Union Européenne Sommaire I. La Fondation pour la Préservation du Patrimoine Russe - FPPR Activités et projets par Marina Tolstoy, présidente In memoriam : Nina Carrée-Hansch par Dimitri de Heering Michel De Grave à la tête du Musée Touguéniev de Bougival Nouvelles donations d'archives II. La noblesse de Russie Une exception et des aspects contrastés dans les noblesses d'Europe par Patrick de Gmeline III. Deuxieme vague d'émigration (1940-1950) The victims of Yalta — Count Nikolai D. Tolstoy-Miloslavski L'émigration russe à Prague après la Révolution par Nicolas Apraxine et Anna Kouznetzova Qu'est-ce être un Savitsky ? par Anna Kouznetzova Les filles égarées de Staline au Congo belge — Les «Ostarbeiterinen», par Vladimir Ronin Décès de Vitaly Shentalinsly, président de la Commission pour l'héritage créatif des écrivains russes opprimés par Marie de Schlippe IV. Assistance et enseignement aux russes émigres et à leurs enfants Union royale des Russes diplômés des Hautes Études en Belgique - VUZ par Vladimir Kozyreff Le Zemgor par Marina Tolstoy d'après Catherine Gousseff L'enseignement aux enfants de Russes émigrés par Elena Sedova V. Épisodes de guerre Bataille de Kovno durant la Guerre 1914-1918 par Georges Woronoff Les prisonniers de guerres russes en Belgique en 1918-1919 par Pierre Lierneux Nécropole militaire russe au cimetière d'Uccle à Bruxelles par Alexandre Khoudokormoff Ivan Grézine, historien, généalogiste, détective et archiviste par Marie de Schlippe
Gratuite pour les membres FPPR 2019 (60 €) mais 12 €+ frais d'envoi pour les non-membres. Siège social : avenue E. Parmentierlaan, 48 - 1150 Bruxelles Banque : IBAN BE81 3631 5890 3824
|
|
| 45) |
du jeudi 26 septembre 2019 au dimanche 29 septembre 2019 Vernissage – le Jeudi 26 septembre 2019 de 18h à 22h
|
Catégorie : Peintures |
Type : Exposition |
Écuries de la Maison Haute, place Gilson 3, 1160 Bruxelles (Watermael-Boitsfort)
Exposition. Le Cœur Flamboyant.
 Anna Kuznetsova — Œuvres 2011-2019. |
Anna Kuznetsova — Œuvres 2011-2019. Exposition : Vendredi 27.09 : ouvert de 18h à 21h Samedi 28.09 – matin sur rdv (+32.494.08.21.10 ) et de 15h à 21h Dimanche 29.09 – matin sur rdv (+32.494.08.21.10) et de 15h à 22h
Contact : anjakb at yandex.ru, nicolas.apraxine at compaqnet.be Téléphone : +32.494.08.21.10 Remerciements à la Fondation pour la Préservation du Patrimoine Russe en UE ( FPPR ) asbl, Bruxelles, Belgique pour son aide technique.
|
|
| 46) |
le vendredi 31 mai 2019
|
|
|
France
La Russie en Chanson - Groupe (Public)
 La Russie en Chanson - Groupe (Public). |
Administrateurs et modérateurs : Germana Ma, Mick ael Stefan, Thilda Marthe Ma (Essen) La Russie en Chanson Groupe ayant pour simple objectif de faire connaître au plus grand nombre, la musique Russe, aussi bien traditionnelle qu'actuelle. Bon nombre de chanteurs, chanteuses, compositeurs et compositrices nous sont inconnues. Toutes les musiques en provenance du Grand Empire sont les bienvenues. Ce Groupe évoluera dans sa maturité, je ne souhaite aucune musique Militaire. Je tenais à vous préciser un point, qui est valable dans tous les Groupes dont je suis administrateur et créateur, que toute les publications n'ayant aucun rapport avec le thème du Groupe partiront immédiatement à la poubelle, quel qu'en soit l'auteur. Donc gagnons du temps en évitant de la faire. De plus les personnes qui ne tiennent pas compte de cet avertissement, verront leur avenir fort compromis dans le Groupe Le seul but de ce Groupe est de nous distraire, et de nous faire oublier les brumes de la vie quotidienne. SOYEZ LES BIENVENU(E)S. Notes : Le créateur de ce groupe Mickael Stefan vient de nous quitter. Repose en paix Stefan. (22 mai 2024). Thilda Marthe Ma (Essen)
 Chansonnier Rossa i Nota Constitue un catalogue original de paroles et vidéos de chansons. Permet la préparation conviviale de libretti à distribuer aux choristes et au public lors de concerts. Archivé depuis le décès le 30 octobre 2017 de notre chef de cœur Pierre Borissovitch Rosniansky.
697 membres au 25/04/2025
https://www.facebook.com/groups/164021663966543 https://www.facebook.com/groups/164021663966543/user/100002895994512 http://www.vava.be/Guestbook/AfficherFR.htm?IM=Rosniansky http://www.russianconcepts.com/Noty/rossaINota.htm
|
|
| 47) |
le jeudi 4 avril 2019 Les 7 mars et 4 avril 2019 à 17h15 (soit 2 séances d’1h30)
|
Catégorie : Histoire de Russie |
Type : Conférence |
|
Centre russe de l'Université de Mons, Vésale 020, Campus de la Plaine de Nimy, 7000 Mons
Histoire de la Russie : Mieux la connaître. Deuxième séance.
 Histoire de la Russie : Mieux la connaître. |
Conférence donnée par Daniel Stevens Fondateur et vice-président de la FPPR et Vice-président de la CCBLR Bonjour, Je donnerai le 7 mars une conférence sur l'Histoire de Russie, des origines à 1917, au Centre russe de l'Université de Mons. Une 1e conférence sur l'histoire de l'URSS et de la Russia actuelle a eu lieu le 7 mars . L'objectif est d'aider à mieux connaître le plus grand voisin de l’UE, et sa mentalité marquée par son histoire. Au plaisir de vous y voir peut-être. Daniel Stevens Plus que tout autre pays imprégnée de son histoire, la Russie, grand voisin de l’Union Européenne, est prioritaire pour nous tant par son influence politique étrangère que par sa grande complémentarité économique. Ces deux conférences chercheront aussi à compléter nos connaissances de l’histoire de ce pays en lien avec le présent, qui en est totalement imprégné, et à en présenter une vision cohérente, maintenant que les visions historiques anciennes de l’Emigration russe et de l’Occident peuvent s’harmoniser avec l’histoire officielle soviétique, souvent orientée. II. Guerre civile, communisme en URSS et Russie contemporaine : Ici on verra Lénine et son coup d’état d’octobre 1917 inaugurant une des histoires les plus tragiques du XXe s., avec les communismes de guerre et de terreur, la paix séparée, les réformes, la guerre civile, la fin des Romanov, les interventions et l’émigration massive de l’élite, Staline, la place des juifs et de l’église orthodoxe, les répressions et le goulag, l’histoire manipulée et ses pourquoi. Puis les 27 millions de morts de l’URSS dans la 2e guerre et sa victoire, ses pays satellites et sa politique étrangère, sa course à l’espace, la guerre froide, les répressions, les dissidents, le désarmement, Gorbatchev adulé à l’Ouest et haï à l’Est, Tchernobyl, et la chute et la scission du pays. La Russie d’Eltsine et de Poutine, amputée, humiliée, qui a vaincu tout retour du communisme mais n’a pas trouvé d’appui à l’Ouest. Empêtrée en Tchétchénie, encerclée par l’OTAN, tombée un temps aux mains d’oligarques, elle se redonne une fierté avec Poutine le réformateur, qui lui redonne une place internationale. Son histoire reste difficile avec le Koursk, Beslan, l’Ossétie, la Lybie, la Géorgie, les conflits gaziers, la Crimée, le voisin ukrainien, un allié syrien compliqués à gérer, et un Occident ambigu. Mais elle s’en sort, malgré une économie centralisée et peu diversifiée. Appuyée par les médias et par l’église, sa démocratie « forte » correspond-elle à nos critères ? Jusqu’où chacun peut-il aller trop loin ? La Russie sera-t-elle un jour le partenaire de l’Union Européenne et, pourquoi pas aussi des USA, ou ratons-nous tous une occasion de paix et de prospérité commune ?
Entrée libre Renseignements : centrerusse at umons.ac.be Claire Revercez / 065 37 36 06
En tournée :
|
7000 Mons
| jeudi
7
mars 2019 |
Les 7 mars et 4 avril 2019 à 17h15 (soit 2 séances d’1h30)
|
|
7000 Mons
| jeudi
4
avril 2019 |
Les 7 mars et 4 avril 2019 à 17h15 (soit 2 séances d’1h30)
|
|
|
| 48) |
le jeudi 7 mars 2019 Les 7 mars et 4 avril 2019 à 17h15 (soit 2 séances d’1h30)
|
Catégorie : Histoire de Russie |
Type : Conférence |
Centre russe de l'Université de Mons, Vésale 020, Campus de la Plaine de Nimy, 7000 Mons
Histoire de la Russie : Mieux la connaître. Première séance.
 Histoire de la Russie : Mieux la connaître. |
Conférence donnée par Daniel Stevens Fondateur et vice-président de la FPPR et Vice-président de la CCBLR Bonjour, Je donnerai le 7 mars une conférence sur l'Histoire de Russie, des origines à 1917, au Centre russe de l'Université de Mons. Une 2e conférence sur l'histoire de l'URSS et de la Russia actuelle aura lieu le 4 avril. L'objectif est d'aider à mieux connaître le plus grand voisin de l’UE, et sa mentalité marquée par son histoire. Au plaisir de vous y voir peut-être. Daniel Stevens Plus que tout autre pays imprégnée de son histoire, la Russie, grand voisin de l’Union Européenne, est prioritaire pour nous tant par son influence politique étrangère que par sa grande complémentarité économique. Ces deux conférences chercheront aussi à compléter nos connaissances de l’histoire de ce pays en lien avec le présent, qui en est totalement imprégné, et à en présenter une vision cohérente, maintenant que les visions historiques anciennes de l’Emigration russe et de l’Occident peuvent s’harmoniser avec l’histoire officielle soviétique, souvent orientée. I. Des origines de la Russie à la chute des Romanoff et à la démocratie de 1917 : Après une préhistoire très ancienne et des premières cultures, dont les Scythes, on évoquera les présences grecques en Crimée, Saint André, l’arrivée des Slaves et des Varègues, l’empire khazar, la pénétration de l’orthodoxie en pendant à la séparation des catholiques, et la Rus’ de Kiev. Puis l’occupation tatare de 250 ans, Novgorod-le-Grand, la reconquête autour de Moscou, Ivan le Terrible et la succession byzantine, la conquête de la Sibérie, Boris Godounov et le temps des Troubles, la République des Deux Nations et l’occupation polonaise, l’Ukraine et la cosaquerie, la construction d’un état russe transformé par un génie, Pierre le Grand, dont les réformes vont contribuer à un essor inégalé de la civilisation russe et mondiale aux XVIIIe et XIXe siècles, les Romanoff et leur influence grandissante en Europe, leurs efforts pour l’accès à la mer, pour la paix mondiale, pour défendre l’empire des attaques étrangères et en faire un bastion de l’orthodoxie, les partages de la Pologne, la guerre de Crimée, les réformes du servage et des finances, l’industrialisation et les emprunts russes, le rôle des belges et des français, la guerre russo-japonaise, les révoltes, l’introduction d’un régime parlementaire, les réformes scolaires, politiques et agricoles, le rôle décisif dans la guerre 14-18 et sa conséquence, et la révolution « démocratique » de février 1917.
Entrée libre Renseignements : centrerusse at umons.ac.be Claire Revercez / 065 37 36 06
En tournée :
|
7000 Mons
| jeudi
7
mars 2019 |
Les 7 mars et 4 avril 2019 à 17h15 (soit 2 séances d’1h30)
|
|
7000 Mons
| jeudi
4
avril 2019 |
Les 7 mars et 4 avril 2019 à 17h15 (soit 2 séances d’1h30)
|
|
|
| 49) |
le jeudi 7 février 2019 à 19 heures 30'
|
Catégorie : Politique Russie |
Type : Conférence |
Centre culturel La Vénerie/Ecuries, place Gilson 3, 1170 Bruxelles (Watermael-Boitsfort)
Poutine, l'homme que l'Occident aime haïr.
Nina Bachkatov => Poutine, l'homme que l'Occident aime haïr. Conférence FPPR. |
par Nina Bachkatov | Docteur en sciences politiques (Université de Liège) | Analyste politique spécialisée dans la Russie-Eurasie FPPR - Fondation pour la préservation du patrimoine russe dans l'Union Européenne Conférence donnée dans le cadre du cycle de conférences 2018-2019 et d’après son dernier livre paru aux Ed. Jourdan (qui sera mis en vente à cette occasion)
Présidente : Ctesse Marina Tolstoy Réservation souhaitée : patrimoine.russe at yahoo.com Entrée : 12 € (8 € membres et - 30 ans). Les conférences sont suivies du verre de l’amitié. Banque : IBAN BE81 3631 5890 3824 – BIC : BBBRUBEBB avec la mention « Conférence »
http://www.patrimoine-russe.be http://www.vava.be/RC_Events-Full.htm?IDEvent=4241&Subject=Bachkatov
|
|
| 50) |
le samedi 12 janvier 2019
|
Catégorie : Histoire |
Type : Conférence-repas |
Royal Club de Belgique, Château de Ravenstein, 3080 Tervueren
Diffusion courriel : Bonne Année 2019! С Новым Годом 2019! Gelukkig Nieuwjaar 2019!
Calendrier d'événements à caractère culturel russeСтарый Pусский Новый Год 2019.Parmi les célébrations trouvées à la date 2019-01-12
• Concert choral la magie du Noël Russe. (F-75007 Paris) • Fêtons ensemble le Nouvel An Russe. (F-75011 Paris) • Het Zwanenmeer. (1652 Alsemberg) • « The Old New Year » among friends. (1210 Saint-Josse) • Les Russes en Amérique du Nord du temps des Tsars. (3080 Tervuren) • Nieuwjaarsklanken 2019 from Russia with Music. (8930 Menen ) • Russian Old New Year. Старый Pусский Новый Год. (NL-2516 LX Den Haag) • Taalcarrousel Nederlands - Russisch. (2018 Antwerpen ) • Автобусная экскурсия Германия – МЕТЛАХ, ТРИР. (Trier) • Празднуем! Рождество Христово! и Старый Новый Год! (D-65936 Sossenheim) • Рождественская Ёлка в Приходе Рождества Христова. (2018 Antwerpen) • Рождественская Ёлка. Arbre de Noël. (F-75015 Paris)
Russian America 1860. Conférence de John Kalish. |
Frieda Lamberty membre de la FPPR (Fondation pour la Préservation du Patrimoine Russe dans l'UE) nous propose une conférence-repas ce samedi 12 janvier 2019 à 12 heures | Catégorie : Histoire | Type : Conférence-repas au Royal Club de Belgique, Château de Ravenstein, 3080 Tervueren Les Russes en Amérique du Nord du temps des Tsars, par John Kalish Au cours XVIIIe siècle, l'Empire russe entreprit plusieurs expéditions afin d'explorer la partie orientale de la Sibérie et de déterminer si une route passage du Nord-Est existait entre l'Asie et l'Amérique du Nord. La deuxième expédition du Kamtchatka notamment, mené par Vitus Béring permit la découverte de l'Alaska en 1741. Néanmoins ce n'est qu'à la fin du siècle, en grande partie grâce à la Compagnie russe d'Amérique que la Russie pris pleinement possession du territoire et l'érigea en colonie. La colonisation russe de l'Amérique est la période durant laquelle l'Empire russe possédait des territoires en Amérique du Nord, principalement l'Alaska, avant la vente de cette dernière aux États-Unis ; les marchands et trappeurs russes, dans le but de trouver des fourrures de loutres de mer, touchèrent également le nord de la Californie, entrant ainsi en compétition avec les Espagnols établis au sud. En 1867, la Russie vendit sa colonie pour 7 200 000 $ aux États-Unis.
Inscriptions : 1) repas-conférence (35 €) par courriel friedalamberty@gmail.com ou téléphone 02 648 19 83 2) dîner privé (60 €) de Nouvel An russe ( FPPR) du 13 janvier 2019 belcanto.eu@skynet.be ou téléphone 02 469 28 78
Coût : 35 € à régler sur place
|
|
| 51) |
le jeudi 29 novembre 2018 à 19 heures 30'
|
Catégorie : Histoire de Russie |
Type : Conférence |
La vénerie/Ecuries, Centre culturel, place Gilson 3, 1170 Bruxelles (Watermael-Boitsfort)
La cosaquerie jusqu'à la révolution de 1917.
Yashko Golembiowsky => Conférence : La cosaquerie jusqu'à la révolution de 1917, sous les auspices de la FPPR. |
par Yashko Golembiowsky FPPR - Fondation pour la Préservetion du Patrimoine Russe dans l'Union Européenne. Cycle de conférences 2018-2019. Conférence illustrée de chants cosaques par des musiciens des groupes « Rossa i Nota » et « Karandash ». La conférence est suivie du verre de l'amitié.
Présidente : Ctesse Marina Tolstoy. Réservation souhaitée : patrimoine.russe at yahoo.com Entrée : 12 € (8 € membres et - de 30 ans). Banque : IBAN BE81 3631 5890 3824 - BIC : BBBRUBEBB avec la communication « Conférence Golembiowsky ».
|
|
| 52) |
le lundi 26 novembre 2018 de 14 à 16h
|
Catégorie : Histoire |
Type : Conférence |
|
UDA (Université des Aînés), Auditoires de l'UCL, 1200 Woluwé-Saint-Lambert
La fédération de Russie - Eltsine, Poutine, Medvedev, Poutine « le retour »… les questions du futur.
La fédération de Russie - Eltsine, Poutine, Medvedev, Poutine « le retour »… les questions du futur, par Daniel Stevens. |
par Daniel Stevens Cycle Formation théorique. L'Histoire de la Russie : Mieux la connaître. Comment, pourquoi la réécrire. Description : L’histoire de ce grand pays qu’est la Russie nous concerne tous : puissance influente et partenaire économique idéal, ce grand voisin de l’Union Européenne, plus que tout autre imprégné de son histoire, est prioritaire dans la politique étrangère et économique belge. Le cours cherche à compléter une double lacune : cette histoire est hélas moins connue car elle n’est plus enseignée dans nos universités. D’autre part sa vision en a été double, celle écrite par l’émigration et l’occident s’opposant à l’histoire officielle soviétique, et, depuis la guerre froide, les versions des deux anciens rivaux étant forcément orientées, elle doit être réunifiée par une coopération d’historiens. Le cours tend à en présenter une vision plus cohérente, des origines à nos jours. Si la Russie reste une énigme, son histoire étudiée précédemment nous aide à bien la comprendre. Amputée, humiliée, elle a vaincu tout retour du communisme, mais n’a pas trouvé d’appui à l’Ouest. Empêtrée en Tchétchénie, encerclée par l’OTAN, tombée un temps aux mains d’oligarques, la Russie retrouve une fierté avec Poutine, intelligent réformateur, qui lui redonne la place internationale qu’on lui refusait. Son histoire reste difficile avec le Koursk, Beslan, l’Ossétie, la Lybie, la Géorgie, les conflits gaziers, la Crimée, le voisin ukrainien et un allié syrien compliqués à gérer, et un Occident plus qu’ambigu. Mais la Russie s’en sort, confortant son président dans un rôle qu’il considérera peut-être comme incontournable, malgré les difficultés d’une économie encore trop centralisée et peu diversifiée. Appuyée par les médias et par l’église, sa démocratie « forte » correspond-elle, et doit-elle correspondre, à nos critères ? Jusqu’où chacun peut-il aller trop loin ?
La Russie sera-t-elle un jour le partenaire de l’Union Européenne et, pourquoi pas, aussi des USA, ou ratons-nous tous une occasion de paix et de prospérité commune ?
Chers membres de la Fondation Patrimoine russe et / ou Chers amis, J'ai le plaisir de vous annoncer que j'animerai les lundis 5, 12, 19 et 26 novembre de 14 à 16h des formations théoriques de 2 heures chacune (soit 8 heures formant un tout), organisées par l'UDA (Université des Aînés) dans les Auditoires de l'UCL à Woluwé-Saint-Lambert, sur L'Histoire de la Russie : Mieux la connaître. Comment, pourquoi la réécrire Les formations seront illustrées par de nombreuses projections qui aideront à beaucoup mieux comprendre et retenir une histoire étonnante, proche, passionnante, et importante pour nous tous, mais méconnue et parfois plus nuancée que ce qu'écrivent des auteurs à cours de temps d'analyse. Au plaisir réel de vous revoir peut-être bientôt. Daniel Stevens Fondateur, past-président et vice-président, Fondation pour la Préservation du Patrimoine Russe dans l'UE, asbl vice-président et secrétaire général, Chambre de Commerce belgo-luxembourgeoise pour la Russie et la Belarus administrateur et past-vice-président, Société Royale des Amis du Musée de l'Armée et d'Histoire militaire (SRAMA) asbl vice-président, Club Culturel belgo-russe
Prix : Grâce à une collaboration UDA-FPPR, les membres FPPR (Fondation Patrimoine russe) qui ne seraient pas membres de l'UDA pourront assister à cette formation sans payer en plus les 30 € d'inscription à l'UDA, et sans frais d'assurances additionnels. (En contrepartie, les membres UDA ont droit à une réduction de 5 € sur les conférences de la FPPR). Le prix fixé par l'UDA pour les 4 séances de deux heures est donc limité à 52 € pour les membres FPPR SI c'est votre cas, si vous n'êtes pas membre de l'UDA et souhaitez venir sans vous inscrire à l'UDA, c'est donc possible, mais alors veuillez me communiquer +/- 5 jours à l'avance vos nom, adresse, téléphone et email, que je puisse communiquer à l'UDA que vous vous inscrivez comme membre FPPR. Merci.
Сайт/Site : http://www.universitedesaines.be/fiche-formation.php?categorie=247
En tournée :
|
1000 Bruxelles
| dimanche
28
octobre 2018 |
в 14ч30
|
|
1200 Woluwé-Saint-Lambert
| lundi
12
novembre 2018 |
de 14 à 16h
|
|
1200 Woluwé-Saint-Lambert
| lundi
19
novembre 2018 |
de 14 à 16h
|
|
1200 Woluwé-Saint-Lambert
| lundi
26
novembre 2018 |
de 14 à 16h
|
|
|
| 53) |
le lundi 19 novembre 2018 de 14 à 16h
|
Catégorie : Histoire |
Type : Conférence |
|
UDA (Université des Aînés), Auditoires de l'UCL, 1200 Woluwé-Saint-Lambert
Le communisme en Russie, la guerre civile et l’histoire d’URSS.
Le communisme en Russie, la guerre civile et l’histoire d’URSS, par Daniel Stevens. |
par Daniel Stevens Cycle Formation théorique. L'Histoire de la Russie : Mieux la connaître. Comment, pourquoi la réécrire. Description : L’histoire de ce grand pays qu’est la Russie nous concerne tous : puissance influente et partenaire économique idéal, ce grand voisin de l’Union Européenne, plus que tout autre imprégné de son histoire, est prioritaire dans la politique étrangère et économique belge. Le cours cherche à compléter une double lacune : cette histoire est hélas moins connue car elle n’est plus enseignée dans nos universités. D’autre part sa vision en a été double, celle écrite par l’émigration et l’occident s’opposant à l’histoire officielle soviétique, et, depuis la guerre froide, les versions des deux anciens rivaux étant forcément orientées, elle doit être réunifiée par une coopération d’historiens. Le cours tend à en présenter une vision plus cohérente, des origines à nos jours. Ici on étudiera Lénine comme arme de guerre et son financement, et le coup d’état d’octobre 1917 qui inaugure une des histoires les plus tragiques du XXe s., avec les communismes de guerre et de terreur, la paix séparée, les réformes, la guerre civile, la fin des Romanov, les interventions et l’émigration massive d’une élite, Staline, la place des juifs et de l’église orthodoxe, les répressions et le goulag avec leurs millions de victimes, l’histoire truquée et ses pourquoi, la politique étrangère de l’URSS, les 27 millions de morts soviétiques de la 2e guerre et la victoire, les pays satellites, la course à l’espace, la guerre froide, les répressions, les dissidents, le désarmement, Gorbatchev adulé à l’Ouest et haï à l’Est, Tchernobyl, et la chute surprenante mais prévisible de l’URSS, scindée en 15 pays.
Chers membres de la Fondation Patrimoine russe et / ou Chers amis, J'ai le plaisir de vous annoncer que j'animerai les lundis 5, 12, 19 et 26 novembre de 14 à 16h des formations théoriques de 2 heures chacune (soit 8 heures formant un tout), organisées par l'UDA (Université des Aînés) dans les Auditoires de l'UCL à Woluwé-Saint-Lambert, sur L'Histoire de la Russie : Mieux la connaître. Comment, pourquoi la réécrire Les formations seront illustrées par de nombreuses projections qui aideront à beaucoup mieux comprendre et retenir une histoire étonnante, proche, passionnante, et importante pour nous tous, mais méconnue et parfois plus nuancée que ce qu'écrivent des auteurs à cours de temps d'analyse. Au plaisir réel de vous revoir peut-être bientôt. Daniel Stevens Fondateur, past-président et vice-président, Fondation pour la Préservation du Patrimoine Russe dans l'UE, asbl vice-président et secrétaire général, Chambre de Commerce belgo-luxembourgeoise pour la Russie et la Belarus administrateur et past-vice-président, Société Royale des Amis du Musée de l'Armée et d'Histoire militaire (SRAMA) asbl vice-président, Club Culturel belgo-russe
Prix : Grâce à une collaboration UDA-FPPR, les membres FPPR (Fondation Patrimoine russe) qui ne seraient pas membres de l'UDA pourront assister à cette formation sans payer en plus les 30 € d'inscription à l'UDA, et sans frais d'assurances additionnels. (En contrepartie, les membres UDA ont droit à une réduction de 5 € sur les conférences de la FPPR). Le prix fixé par l'UDA pour les 4 séances de deux heures est donc limité à 52 € pour les membres FPPR SI c'est votre cas, si vous n'êtes pas membre de l'UDA et souhaitez venir sans vous inscrire à l'UDA, c'est donc possible, mais alors veuillez me communiquer +/- 5 jours à l'avance vos nom, adresse, téléphone et email, que je puisse communiquer à l'UDA que vous vous inscrivez comme membre FPPR. Merci.
Сайт/Site : http://www.universitedesaines.be/fiche-formation.php?categorie=247
En tournée :
|
|
| 54) |
le lundi 12 novembre 2018 de 14 à 16h
|
Catégorie : Histoire |
Type : Conférence |
|
UDA (Université des Aînés), Auditoires de l'UCL, 1200 Woluwé-Saint-Lambert
La Russie, des Romanoff à la démocratie de 1917.
La Russie, des Romanoff à la démocratie de 1917, par Daniel Stevens. |
par Daniel Stevens Cycle Formation théorique. L'Histoire de la Russie : Mieux la connaître. Comment, pourquoi la réécrire. Description : L’histoire de ce grand pays qu’est la Russie nous concerne tous : puissance influente et partenaire économique idéal, ce grand voisin de l’Union Européenne, plus que tout autre imprégné de son histoire, est prioritaire dans la politique étrangère et économique belge. Le cours cherche à compléter une double lacune : cette histoire est hélas moins connue car elle n’est plus enseignée dans nos universités. D’autre part sa vision en a été double, celle écrite par l’émigration et l’occident s’opposant à l’histoire officielle soviétique, et, depuis la guerre froide, les versions des deux anciens rivaux étant forcément orientées, elle doit être réunifiée par une coopération d’historiens. Le cours tend à en présenter une vision plus cohérente, des origines à nos jours. Seront évoquées l’Ukraine et la cosaquerie, la construction d’un état russe transformé par le génie de Pierre le Grand, dont les réformes vont contribuer à un essor inégalé de la civilisation russe et mondiale aux XVIIIe et XIXe siècles, les empereurs et impératrices russes et leur influence grandissante en Europe, leurs efforts pour l’accès à la mer, pour la paix mondiale, pour défendre l’empire des attaques étrangères et en faire un bastion de l’orthodoxie, les partages de la Pologne, la guerre de Crimée, les réformes du servage et corrélativement des finances, l’industrialisation et les emprunts russes, le rôle des belges et des français, la guerre russo-japonaise, les révoltes, l’introduction d’un régime parlementaire, les réformes scolaires, politiques et agricoles, le rôle décisif dans la guerre 14-18 et sa conséquence, la révolution « démocratique » de février 1917.
Chers membres de la Fondation Patrimoine russe et / ou Chers amis, J'ai le plaisir de vous annoncer que j'animerai les lundis 5, 12, 19 et 26 novembre de 14 à 16h des formations théoriques de 2 heures chacune (soit 8 heures formant un tout), organisées par l'UDA (Université des Aînés) dans les Auditoires de l'UCL à Woluwé-Saint-Lambert, sur L'Histoire de la Russie : Mieux la connaître. Comment, pourquoi la réécrire Les formations seront illustrées par de nombreuses projections qui aideront à beaucoup mieux comprendre et retenir une histoire étonnante, proche, passionnante, et importante pour nous tous, mais méconnue et parfois plus nuancée que ce qu'écrivent des auteurs à cours de temps d'analyse. Au plaisir réel de vous revoir peut-être bientôt. Daniel Stevens Fondateur, past-président et vice-président, Fondation pour la Préservation du Patrimoine Russe dans l'UE, asbl vice-président et secrétaire général, Chambre de Commerce belgo-luxembourgeoise pour la Russie et la Belarus administrateur et past-vice-président, Société Royale des Amis du Musée de l'Armée et d'Histoire militaire (SRAMA) asbl vice-président, Club Culturel belgo-russe
Prix : Grâce à une collaboration UDA-FPPR, les membres FPPR (Fondation Patrimoine russe) qui ne seraient pas membres de l'UDA pourront assister à cette formation sans payer en plus les 30 € d'inscription à l'UDA, et sans frais d'assurances additionnels. (En contrepartie, les membres UDA ont droit à une réduction de 5 € sur les conférences de la FPPR). Le prix fixé par l'UDA pour les 4 séances de deux heures est donc limité à 52 € pour les membres FPPR SI c'est votre cas, si vous n'êtes pas membre de l'UDA et souhaitez venir sans vous inscrire à l'UDA, c'est donc possible, mais alors veuillez me communiquer +/- 5 jours à l'avance vos nom, adresse, téléphone et email, que je puisse communiquer à l'UDA que vous vous inscrivez comme membre FPPR. Merci.
Сайт/Site : http://www.universitedesaines.be/fiche-formation.php?categorie=247
En tournée :
|
|
| 55) |
le lundi 5 novembre 2018 de 14 à 16h
|
Catégorie : Histoire |
Type : Conférence |
UDA (Université des Aînés), Auditoires de l'UCL, 1200 Woluwé-Saint-Lambert
Des origines de la Russie à la conquête par la Pologne.
Des origines de la Russie à la conquête par la Pologne, par Daniel Stevens. |
par Daniel Stevens Cycle Formation théorique. L'Histoire de la Russie : Mieux la connaître. Comment, pourquoi la réécrire. Description : L’histoire de ce grand pays qu’est la Russie nous concerne tous : puissance influente et partenaire économique idéal, ce grand voisin de l’Union Européenne, plus que tout autre imprégné de son histoire, est prioritaire dans la politique étrangère et économique belge. Le cours cherche à compléter une double lacune : cette histoire est hélas moins connue car elle n’est plus enseignée dans nos universités. D’autre part sa vision en a été double, celle écrite par l’émigration et l’occident s’opposant à l’histoire officielle soviétique, et, depuis la guerre froide, les versions des deux anciens rivaux étant forcément orientées, elle doit être réunifiée par une coopération d’historiens. Le cours tend à en présenter une vision plus cohérente, des origines à nos jours. Après une préhistoire étonnamment ancienne et les premières migrations européennes, on évoquera notamment les cultures peu connues de Maikop et des Scythes, les présences grecques puis Mithridate en Crimée, Saint André, l’arrivée des Slaves, des Varègues et des princes étrangers, l’empire khazar, la pénétration de l’orthodoxie en pendant à la séparation des catholiques, la Rus’ de Kiev, l’occupation tatare de 250 ans, Novgorod-le-Grand, la reconquête, Ivan le Terrible et la succession byzantine, la conquête de la Sibérie, Boris Godounov et le temps des Troubles, la République des Deux Nations et l’occupation polonaise.
Chers membres de la Fondation Patrimoine russe et / ou Chers amis, J'ai le plaisir de vous annoncer que j'animerai les lundis 5, 12, 19 et 26 novembre de 14 à 16h des formations théoriques de 2 heures chacune (soit 8 heures formant un tout), organisées par l'UDA (Université des Aînés) dans les Auditoires de l'UCL à Woluwé-Saint-Lambert, sur L'Histoire de la Russie : Mieux la connaître. Comment, pourquoi la réécrire Les formations seront illustrées par de nombreuses projections qui aideront à beaucoup mieux comprendre et retenir une histoire étonnante, proche, passionnante, et importante pour nous tous, mais méconnue et parfois plus nuancée que ce qu'écrivent des auteurs à cours de temps d'analyse. Au plaisir réel de vous revoir peut-être bientôt. Daniel Stevens Fondateur, past-président et vice-président, Fondation pour la Préservation du Patrimoine Russe dans l'UE, asbl vice-président et secrétaire général, Chambre de Commerce belgo-luxembourgeoise pour la Russie et la Belarus administrateur et past-vice-président, Société Royale des Amis du Musée de l'Armée et d'Histoire militaire (SRAMA) asbl vice-président, Club Culturel belgo-russe
Prix : Grâce à une collaboration UDA-FPPR, les membres FPPR (Fondation Patrimoine russe) qui ne seraient pas membres de l'UDA pourront assister à cette formation sans payer en plus les 30 € d'inscription à l'UDA, et sans frais d'assurances additionnels. (En contrepartie, les membres UDA ont droit à une réduction de 5 € sur les conférences de la FPPR). Le prix fixé par l'UDA pour les 4 séances de deux heures est donc limité à 52 € pour les membres FPPR SI c'est votre cas, si vous n'êtes pas membre de l'UDA et souhaitez venir sans vous inscrire à l'UDA, c'est donc possible, mais alors veuillez me communiquer +/- 5 jours à l'avance vos nom, adresse, téléphone et email, que je puisse communiquer à l'UDA que vous vous inscrivez comme membre FPPR. Merci.
Сайт/Site : http://www.universitedesaines.be/fiche-formation.php?categorie=247
En tournée :
|
|
| 56) |
du jeudi 1 novembre 2018 au vendredi 30 novembre 2018
|
Catégorie : Histoire |
Type : Revue périodique |
FPPR, avenue E. Parmentierlaan, 48 - 1150 Bruxelles
Revue FPPR n°7 (septembre 2018) -Edition spéciale « l'assassinat de la famille impériale ».
 Revue FPPR n° 7 (2018) |
Marina Tolstoy Fondation pour la Préservation du Patrimoine Russe dans l'Union Européenne SOMMAIRE I. La fondation pour la Préservation du Patrimoine Russe — FPPR Vingt ans d'activités - page 6 Tricentenaire de la venue de Pierre le Grand en Belgique, par Daniel Stevens - page 9 Appel à généalogies, par Daniel Stevens - page 10 In memoriam : Ctesse Nicolas Apraxine - Pierre Rosniansky - page 11 II. Assassinat de la famille impériale Mes derniers jours à Tsarskoïe Selo (1917) par le Cte Nicolas Apraxine - page 12 Nicolas II — Le règne et son aboutissement par Vladimir Kozyreff - page 17 Le « Mur du chagrin » à Moscou par Marina Tolstoy - page 34 Le tragique destin des Romanov. Pierre Gilliard : treize années à la cour de Russie par Christian Dumais-Lvowski - page 36 L' église-mémorial Saint-Job par Dimitri de Heering - page 39 III. Première vague d'émigration (1918-1940) La Guerre civile aurait-elle pu être perdue par les Rouges ? par Alexandre Jevakhof - page 43 Les Russes blancs à Gallipoli par Nicolas Ross - page 50 Les Russes au Congo belge (1870-1970) par Vladimir Ronin - page 60 Lettre à un éditeur inconnu par Michel Petrovitch Schorochoff - page 71 Associations d'émigrés : La ROVS et la Drougina - page 73 IV. Descendants d'émigres retournés en Russie Elisabeth Apraxine a choisi de vivre en RussieparMarina Tolstoy - page 75 V. Orthodoxie 150 ans de présence orthodoxe russe en Belgique par le Père Serge Model - page 77 VI. Archives Archives au MRA et à la FPPR - page 83 Collaboration avec le CCI - page 86 Collaboration avec le Musée de la Culture russe de San Francisco - page 89 Maison de la Russie hors-frontières A. Soljenitsyne - page 90 Centre d'archives à Sainte-Geneviève-des-Bois - page 92
Gratuite pour les membres FPPR 2017 (60 €) mais 12 €+ frais d'envoi pour les non-membres. Siège social : avenue E. Parmentierlaan, 48 - 1150 Bruxelles Présidence : Marina Tolstoy | courriel : patrimoine.russe at yahoo.com | tél. : +32 (0)477 44 42 16 Secrétariat : André Schorochoff | courriel : a.schoro at skynet dot be | tél. : +32 (0)2 384 37 40 Banque : FPPR 310-1446138-51 (IBAN: BE75310144613851 BIC: BBRUBEBB)
|
|
| 57) |
le samedi 22 septembre 2018
|
|
|
Youtube, Réseau Internet
Выставка « А в разлуке пришлось жить года » проходит в САФУ.
Xénia, Olga et Elena Kriloff. Россия 1 - Архангельск Вести Поморья. |
Россия 1 - Архангельск Вести Поморья История страны в судьбах людей. Уникальные документы и фотографии семьи архангельского лесопромышленника Александра Плюснина показали в музее САФУ. Там открылась выставка, посвященная гражданской войне.
Chers amis de la FPPR, chers amis de La Tourelle,
Xénia, Olga, Lièna et Vania Kriloff ont fait don de leurs archives familiales à la ville d’Arkangelsk où vivaient leurs grands-parents maternels avant la révolution. Leur initiative est très intéressante car la bâtisse d'Alexandre Plusnin, leur grand-père, existe toujours et leur initiative a été accueillie à bras ouverts par les conservateurs du musée ainsi que de la population. La famille Kriloff-Plusnin (apparentée à la famille Drachoussoff) avait émigré en Belgique, elle a été très active au sein de la communauté russe orthodoxe bruxelloise. Un reportage ainsi qu’une émission leur a été consacrés à la télévision russe, vous en trouverez ci-dessous les liens, nous pouvons apprécier l’émotion dégagée par ce geste important et généreux. L’existence de la demeure familiale à Arkangelsk assurera la visibilité permanente de ces archives et ajoute évidemment à ce geste une démarche tellement symbolique, après un siècle d’absence, celle d’un retour à la maison ... Bien cordialement à tous
Michel Sélezneff Avec l’autorisation de Vania Kriloff que nous remercions ainsi que ses soeurs
Vidéo ajoutée le 22 septembre 2018 par gtrkPomorie durée 2'36" | 232 vues au 30/01/2019
Сайт/Site : https://www.youtube.com/watch?v=TK4gZrljNTw
|
|
| 58) |
le mercredi 11 juillet 2018
|
Catégorie : Histoire de l'art |
Type : Conférence |
UDA - Université des Ainés, avenue de l'Assomption 73, 1200 Bruxelles (Woluwé-Saint-Lambert)
L'icône russe, objet d'art, instrument politique ou fenêtre de l'au-delà.
L'Icône russe, objet d'art, instrument politique ou fenêtre de l'au-delà, par Daniel Stevens. |
par Daniel Stevens Cycle « La Russie » de l'Université d’été 2017-2018 Chers amis et membres de la Fondation Patrimoine russe, J'ai le plaisir de vous annoncer que j'animerai le 11 juillet une formation théorique de 4 heures organisée par l'UDA à Woluwe-Saint-Lambert sur « L'icône russe, objet d'art, instrument politique ou fenêtre de l'au-delà ». Mon propos sur ce riche sujet sera illustré par plus de 300 projections de photos. Grâce à une collaboration UDA-FPPR, les membres FPPR qui ne seraient pas membres de l'UDA pourront assister à cette formation sans payer en plus l'inscription à l'UDA Détails dans les deux pages en annexe. Au plaisir de vous revoir peut-être bientôt. Daniel Stevens.
Ce cours sur les icônes russes se fera sous 4 aspects : 1. L'icône russe comme objet d'art symbolique : ses précurseurs antiques et byzantins, ses écoles, ses grands maîtres, son évolution, son marché 2. La place de l'icône dans la société russe, l'iconostase et le coin rouge, les liens avec le pouvoir et l'identité russe au temps des princes, des tsars et de nos jours. 3. Les techniques. caractéristiques, types. et modèles des icônes russes, la perspective inversée, la multitude des sujets représentes 4. L'icône russe sainte. objet sacré, fenêtre de l'au-delà qui nous regarde : symbolique religieuse et théologie de l'icône. grands saints russes, conversions et miracles attribues aux icônes russes, tentative d'accès.
Deux formules d'inscription : soit le cycle complet au prix de 68 E, soit à la carte selon vos envies. 2 séances 25 € code 4706 Mais : AVANTAGE FPPR non indiqué dans la brochure : Grâce à une collaboration avec l’UDA, les membres en règle de cotisation de la FPPR (Fondation pour la Préservation du Patrimoine russe) peuvent assister à la formation « L’icône russe » même s’ils ne sont pas membres de l’UDA ! Pour ce faire, ils doivent s’inscrire avant le 8 juillet chez Daniel Stevens (dstevensric at skynet.be) qui communiquera à l’UDA leur prénom et nom, et payer le seul frais d’inscription à cette formation (25 €) + 3,5 € d’assurance = 28,5 €
|
|
| 59) |
le mardi 10 juillet 2018
|
Catégorie : Musicologie |
Type : Conférence |
UDA - Université des Ainés, avenue de l'Assomption 73, 1200 Bruxelles (Woluwé-Saint-Lambert)
La musique russe.
La musique russe, par André Van Oeke. |
par André Van Oeke Cycle « La Russie » de l'Université d’été 2017-2018 LA RUSSIE Après l'Inde et les USA, c'est au tour de la Russie. La Russie nous évoque les Slaves. l'Empire des tsars, la révolution, l'URSS, etc. Une facette particulière de l'histoire de la Russie est la conquête spatiale. Christian Barbier nous racontera l'affrontement entre l'URSS et les USA. Des étoiles à la toile. Olivier Lecomte nous fera découvrir le cinéma russe contemporain incarné par le réalisateur Andreï Zvyagintsev. Nous voyagerons à travers l'histoire via la musique. André Van Oekel vous fera découvrir ou redécouvrir les plus grands compositeurs de cette grande nation qui n'est pas qu'une dictature de la collusion et de la corruption ou de l'espionnage et du dopage. Enfin, nous nous pencherons sur les icônes russes, objet d'art mais également instrument politique avec Daniel Stevens.
Le monde orthodoxe a dominé la musique russe pendant des siècles. Il a fallu attendre la moitié du XIXe siècle pour que les premiers grands compositeurs s'affirment dans le concert des nations européennes, de Glinka à Tchaïkovski. D'emblée, la musique russe a fait preuve d'une singularité s'expliquant par les particularités de l'histoire du pays, par des influences occidentales, par un sens de la couleur et de la description qui s'expriment dans des orchestrations brillantes et chatoyantes. La révolution soviétique va contraindre la plupart des grands musiciens russes à s'exiler (Rachmaninov. Stravinsky)... l'un d'eux reviendra (Prokofiev), d'autres subiront les utopies du régime en matière artistique (Chostakovitch). La chute de l'empire soviétique a-t-elle favorisé le retour d'une musique foncièrement russe . Illustrations musicales en audio-visuel et notes de synthèse.
Deux formules d'inscription : soit le cycle complet au prix de 68 E, soit à la carte selon vos envies. 2 séances 25 € code 4704 Mais : AVANTAGE FPPR non indiqué dans la brochure : Grâce à une collaboration avec l’UDA, les membres en règle de cotisation de la FPPR (Fondation pour la Préservation du Patrimoine russe) peuvent assister à la formation « L’icône russe » même s’ils ne sont pas membres de l’UDA ! Pour ce faire, ils doivent s’inscrire avant le 8 juillet chez Daniel Stevens (dstevensric at skynet.be) qui communiquera à l’UDA leur prénom et nom, et payer le seul frais d’inscription à cette formation (25 €) + 3,5 € d’assurance = 28,5 €
|
|
| 60) |
le lundi 9 juillet 2018 de 1H30' à 12h30' et de 14 à 16 heures
|
Catégorie : Cinéma |
Type : Conférence |
UDA - Université des Ainés, avenue de l'Assomption 73, 1200 Bruxelles (Woluwé-Saint-Lambert)
Andreï Zvyagintsev : l'amour en question.
Andreï Zvyagintsev : l'amour en question, par Olivier Lecomte. |
par Olivier Lecomte Cycle « La Russie » de l'Université d’été 2017-2018 LA RUSSIE Après l'Inde et les USA, c'est au tour de la Russie. La Russie nous évoque les Slaves. l'Empire des tsars, la révolution, l'URSS, etc. Une facette particulière de l'histoire de la Russie est la conquête spatiale. Christian Barbier nous racontera l'affrontement entre l'URSS et les USA. Des étoiles à la toile. Olivier Lecomte nous fera découvrir le cinéma russe contemporain incarné par le réalisateur Andreï Zvyagintsev. Nous voyagerons à travers l'histoire via la musique. André Van Oekel vous fera découvrir ou redécouvrir les plus grands compositeurs de cette grande nation qui n'est pas qu'une dictature de la collusion et de la corruption ou de l'espionnage et du dopage. Enfin, nous nous pencherons sur les icônes russes, objet d'art mais également instrument politique avec Daniel Stevens.
L'écroulement du bloc soviétique n'a pas eu que des effets positifs, notamment dans le domaine cultureL Peu de réalisateurs russes ont émergé ces dernières décennies sur la scène internationale. Une des rares exceptions Andreï Zvyagintsev qui, en cinq films. a imposé un style visuellement splendide et des récits qui laissent au spectateur une large marge d'interprétation. Le retour, Le bannissement, Elena. Leviathan et le récent Loveless questionnent les égarements de personnages qui ont des difficultés à communiquez aiment trop ou trop peu, avec des conséquences souvent tragiques pour eux-mêmes et leur entourage. Le tout sur fond d'un contexte socio-politique marécageux. Et l'on discerne, dans cette oeuvre exigeante, l'appel à une plus grande hauteur de vue, sur un plan strictement humain... ou mystique.
Deux formules d'inscription : soit le cycle complet au prix de 68 E, soit à la carte selon vos envies. 2 séances 25 € code 4702 Mais : AVANTAGE FPPR non indiqué dans la brochure : Grâce à une collaboration avec l’UDA, les membres en règle de cotisation de la FPPR (Fondation pour la Préservation du Patrimoine russe) peuvent assister à la formation « L’icône russe » même s’ils ne sont pas membres de l’UDA ! Pour ce faire, ils doivent s’inscrire avant le 8 juillet chez Daniel Stevens (dstevensric at skynet.be) qui communiquera à l’UDA leur prénom et nom, et payer le seul frais d’inscription à cette formation (25 €) + 3,5 € d’assurance = 28,5 €
|
|
| 61) |
le lundi 25 juin 2018 de 14 à 16 heures
|
Catégorie : Histoire |
Type : Conférece |
UDA - Université des Ainés, avenue de l'Assomption 73, 1200 Bruxelles (Woluwé-Saint-Lambert)
L'affrontement USA-URSS dans la course à la lune.
Affrontement USA-URSS dans la course à la lune, par Christian Barbier. |
par Christian Barbier Cycle « La Russie » de l'Université d’été 2017-2018 LA RUSSIE Après l'Inde et les USA, c'est au tour de la Russie. La Russie nous évoque les Slaves. l'Empire des tsars, la révolution, l'URSS, etc. Une facette particulière de l'histoire de la Russie est la conquête spatiale. Christian Barbier nous racontera l'affrontement entre l'URSS et les USA. Des étoiles à la toile. Olivier Lecomte nous fera découvrir le cinéma russe contemporain incarné par le réalisateur Andreï Zvyagintsev. Nous voyagerons à travers l'histoire via la musique. André Van Oekel vous fera découvrir ou redécouvrir les plus grands compositeurs de cette grande nation qui n'est pas qu'une dictature de la collusion et de la corruption ou de l'espionnage et du dopage. Enfin, nous nous pencherons sur les icônes russes, objet d'art mais également instrument politique avec Daniel Stevens.
La décennie des années 60 restera, dans la mémoire de ceux qui l'ont vécue, celle d'un affrontement entre l'URSS et les USA, pour la conquête de nouvelles frontières : l'espace et la Lune. Quoique pacifique, cet affrontement était surtout celui de deux visions du monde, sur fond, parfois tendu, de guerre froide. Bien que nous connaissons et avons vécu le triomphe américain avec les premiers pas de Neil Armstrong sur le sol de la Mer de la Tranquilité, la chape de silence dont fut enveloppé le programme spatial soviétique nous a empêches de vivre pleinement cette compétition. Heureusement, le mur de silence s'est fissuré dans le milieu des années '90, et il a été possible de reconstituer, grâce aux documents déclassifiés et aux témoignages des acteurs encore vivants, les événements qui ont conduit à l'échec soviétique. C'est cette histoire non-amputée qui sera racontée ici.
Deux formules d'inscription : soit le cycle complet au prix de 68 E, soit à la carte selon vos envies. 1 séance 13 € code 2738 Mais : AVANTAGE FPPR non indiqué dans la brochure : Grâce à une collaboration avec l’UDA, les membres en règle de cotisation de la FPPR (Fondation pour la Préservation du Patrimoine russe) peuvent assister à la formation « L’icône russe » même s’ils ne sont pas membres de l’UDA ! Pour ce faire, ils doivent s’inscrire avant le 8 juillet chez Daniel Stevens (dstevensric at skynet.be) qui communiquera à l’UDA leur prénom et nom, et payer le seul frais d’inscription à cette formation (25 €) + 3,5 € d’assurance = 28,5 €
|
|
| 62) |
le jeudi 7 juin 2018 à 11 heures
|
Catégorie : Réunion |
Type : Associations |
Club Prince Albert, Salle Egmont, rue des Petits Carmes 20, 1000 Bruxelles
FPPR - Assemblée générale statutaire 2018.
 Assemblée générale statutaire 2018. |
Fondation pour la Préservation du Patrimoine Russe dans l’Union européenne, asbl
Stichting voor de Bewaring van het Russische Erfgoed in de Europese Unie, VZW FPPR – Fondation pour la Préservation du Patrimoine Russe dans l’Union européenne, asbl SBRE – Stichting voor de Bewaring van het Russische Erfgoed in de Europese Unie, VZW ________ ___________________________________________________________________ Chers amis, cher(e)s membres de la FPPR, J’ai l’honneur de vous inviter à participer à notre Assemblée générale statutaire annuelle qui se tiendra le jeudi 7 juin 2018 à 11 h dans la salle Egmont du Club Prince Albert, 20 Rue des Petits Carmes, 1000 Bruxelles. Programme : 10.30h Enregistrement et accueil des participants 11.00h Assemblée générale statutaire 12.30h Cocktail au Bar Ordre du jour : 1. Accueil par la comtesse Marina Tolstoy, Présidente du Conseil d’administration ; 2. Approbation du PV de l’Assemblée Générale statutaire du 17 juin 2017 ; 3. Discussion et Approbation du Rapport d’activité et des comptes 2017 ; 4. Décharge des administrateurs en fonction ; 5. Renouvellement du mandat du Vérificateur aux Comptes ; 6. Renouvellement ou modification des mandats d’administrateurs ; 7. Présentation, discussion et vote du plan et du budget 2018 ; 8. Divers : à communiquer ultérieurement. Veuillez agréez, chers amis, mes salutations très amicales. Marina Tolstoy, Présidente
Présidence : Marina Tolstoy, Chaussée de Tervuren 143, 1160 Bruxelles – marina at tolstoy.be – 02 673 78 68 – 0477 444 216 Secrétariat : Princesse Boris Galitzine – 010 60 22 01 – patrimoine russe at yahoo.com ING IBAN : BE81 3631 5890 3824 – BIC BBRUBEBBS Siège social : Avenue Parmentier 48, 1150 Bruxelles | ASBL – VZW n°BE 02476 153 402
|
|
Juin 2018 => Calendrier d'événements à caractère culturel russe.
Diffusion de juin 2018. Calendrier d'événements à caractère culturel russe.Calendrier d'événements à caractère culturel russe. Juin 2018.
Lien pour visualiser ce courriel dans votre navigateur : Mail/RC_Mailing_Juin_01,_2018.html
| Calendrier vava.be juin 2018 | Liste des intitulés | Album des affiches/illustrations | Descriptifs détaillés
 Evénements de juin 2018 :
1 => Poësie op muziek als bloesems midden de terreur (Gent) 2-3 => Concert chorale et orchestre - Saison russe (Bougival) 2 => Wandelgangen van het Geheugen (Gent) 2 => SJOOT (Auderghem) 2 => Anton Tchekhov (Bougival) 2 => Vente Art russe (Paris) 2-3 => Экскурсия Прекрасный Париж (Paris) 2 => Вечер/лекция Татьяны Толстой (Bruxelles) 2 => « Спаси и сохрани » (Sossenheim) 3,9-10,17,23 => Table/Atelier langue russe (Nivelles) 3 => Musée « Игрушечная история » (Bruxelles) 4/6 => Barbusse, Merejkovski, Robakidze (Paris) 5 => France, Manifeste écologique et social (Bruxelles) 6 => Movie Sobibor. Собибор (Bruxelles) 6 => Экскурсия Pieter Brueghel (Bruxelles) 7 => Au cœur du Kremlin (Bruxelles) 7 => FPPR - Assemblée générale statutaire (Bruxelles) 7 => Boris Godounov (Hechtel-Eksel) 9 => Бизнес в Бельгии (Ixelles) 9 => Один мужчина и одна женщина (Antwerpen) 10 => Ballet Live 2018 : Coppélia (Kinepolis) 10 => Экскурсия с Владимиром Рониным (Maastricht). 11-17 => Неделя Импульс (Sint-Pieters-Woluwe) 14 => Mondial Russie-Arabie Saoudite (Bruxelles/Namur) 14 => Over Moscou (Schilde) 15 => Death of Stalin (Aalst) 16-17 => Экскурсия Франция (Mont Saint-Michel) 16 => Экскурсия « Рубенс » (Antwerpen) 18 => Voordracht DCV « Rusland » (Harelbeke) 19 => Mondial Egypte-Russie (Saint-Pétersbourg) 19 => Glinka, Rachmaninov, Hypollitov-Ivanov (Bougival) 21 => Concert musique classique (Woluwé-Saint-Pierre) 21 => Over Siberië (Schilde) 21-26 => Конкурс по гамбурскому счёту (Hambourg) 22 => Wij Kleuren Rood Liefde versus Oorlog (Gent) 23 => Закрытие сезона (Sossenheim) 25 => Concert Nikita Gratchev (Mechelen) 25 => Mondial Uruguay-Russie (Iekaterinbourg) 26 => Russian North White Movement & Civil War (Madison) 29-30 => Hermitage Fine Art auction (Monaco)
|
|
|
|
| 64) |
le jeudi 3 mai 2018 à 20 heures
|
Catégorie : Musique classique |
Type : Concert |
Maison Communale de Woluwé-Saint-Lambert, avenue Paul Hymans 2, 1200 Woluwé-Saint-Lambert (Lieu à confirmer)
A N N U L É Concert de musique russe : Arensky, Rachmaninoff et Tchaïkovski.
 FPPR Cycle de conférences 2017-2018 - 2ème partie-1.jpg |
par Claudine Orloff & Burkard Spinnler. FPPR - Fondation pour la Préservation du Patrimoine Russe dans l'Union Européenne, asbl SBRE – Stichting voor de Bewaring van het Russische Erfgoed in de Europese Unie, vzw Cycle de conférences FPPR 2017-2018 Concert de musique russe pour deux pianos donné par Claudine Orloff & Burkard Spinnler. En introduction au concert, Claudine Orloff retracera brièvement la vie de ses grands-parents émigrés russes.
site provisoire : http://www.e-federations.com site officiel en cours d'implantation : http://www.patrimoine-russe-fppr.be
|
|
| 65) |
le lundi 30 avril 2018
|
|
|
Mai 2018 => Calendrier d'événements à caractère culturel russe.
Diffusion mai 2018. Calendrier d'événements à caractère culturel russe.Calendrier d'événements à caractère culturel russe. Mai 2018.
Lien pour visualiser ce courriel dans votre navigateur : Mail/RC_Mailing_Mai_01,_2018.html
| Calendrier vava.be mai 2018 | Liste des intitulés | Album des affiches/illustrations | Descriptifs détaillés
 | Bienvenue à tous ce 13 mai prochain au Parc Elisabeth (Koekelberg) qui abritera le festival annuel « Rendez-vous avec la Russie » d'aujourd'hui. Parmi les autres événements signalons le merveilleux « Gala des Etoiles 2018 » ces 26-27 mai à Luxembourg. Nous n'oublions pas le rassemblement ce 6 mai d'un « bataillon immortel » à la Citadelle de Liège ainsi que le pèlerinage du 20 mai à Mourmelon en ce l'honneur ne nos combattants des deux dernières guerres mondiales. Notes : - la FPPR est désolée d'annoncer l'annulation son concert de musique russe du 3 mai 2018 à Woluwé-Saint-Lambert ; - prenons date de l'opéra féérique « Le Conte du tsar Saltan » programmé à « La Monnaie » en Juin 2019.
Добро пожаловать всем 13го мая 2018г. в Elisabeth Park (Koekelberg), где состоится ежегодный фестиваль « Рандеву с Россией ». Другие события включают в себя замечательный « Gala des Etoiles 2018 » 26-27 мая в Люксембурге. Мы так же не забываем о сборе « бессмертного полка » в Цитадели Льежа, который состоится 6го мая в честь наших бойцов 2ой мировой войны, и о паломничестве в Мурмелоне, который состоится 20го мая, чтобы почтить память Русских воинов 1ой мировой войны. Примечания : - предвосхищая события, спешим вам сообщить о том, что планируется выход оперы « Сказка о царе Салтане », в « La Monnaie » в июне 2019 года ; - FPPR сожалеет об аннулировании концерта русской музыки от 3 мая 2018 года в Woluwé-Saint-Lambert. |
|
|
| 66) |
le lundi 23 avril 2018 à 20 heures
|
Catégorie : Histoire |
Type : Conférence |
UCL-Woluwe, Musée pharmaceutique A. Couvreur, Faculté de Pharmacie, Tour Van Helmont 73, niveau 0, avenue Mounier 73, 1200 Bruxelles.
Les élections présidentielles russes du 18 mars et la nouvelle guerre froide.
 Gilbert Doctorow => Les élections présidentielles russes du 18 mars et la nouvelle guerre froide. |
par Gilbert Doctorow, Observateur international aux élections présidentielles russes FPPR - Fondation pour la Préservation du Patrimoine Russe dans l'Union Européenne, asbl
SBRE – Stichting voor de Bewaring van het Russische Erfgoed in de Europese Unie, vzw Le conférencier est docteur en histoire russe de la Columbia University et diplômé de Harvard College. Cycle de conférences 2017-2018
Note : En raison de l'état de santé de son épouse, Yashko Golembiovsky a souhaité annuler sa conférence sur "La cosaquerie jusquà la Révolution de 1917" prévue pour le lundi 23 avril à 20h. Elle sera remplacée par une conférence à la même date et même heure sur un sujet d'actualité : Dr Gilbert Doctorow, Observateur international aux élections présidentielles russes "Les élections présidentielles russes du 18 mars et la nouvelle guerre froide" Dans l'attente du plaisir de vous y rencontrer, je souhaite une belle fête de Pâques. Marina Tolstoy, Présidente de la FPPR
Entrée : 10 € (5 € membres et moins de 30 ans) à verser au compte de la FPPR : IBAN BE81 3631 5890 3824 – BIC : BBBRUBEBB avec la mention « Conférence Doctorow ». La conférence sera suivie d’un drink PAF 2€ à payer sur place. Accès : - métro Alma : suivre « Faculté » puis « Musée Couvreur » ; - Autos : Parking Mounier, avenue Mounier : puis descendre l’avenue Mounier, entrée du bâtiment Van Helmont à droite. Plan d'accès : accès au Musée Couvreur
site provisoire : http://www.e-federations.com site officiel en cours d'implantation : http://www.patrimoine-russe-fppr.be
|
|
| 67) |
le samedi 10 mars 2018 à 20 heures
|
Catégorie : Film |
Type : Cinéma |
Maison Communale de Woluwé-Saint-Lambert, avenue Paul Hymans 2, 1200 Woluwé-Saint-Lambert
Le tragique destin des Romanov. Pierre Gilliard, treize années à la Cour de Russie.
 Le tragique destin des Romanov. Pierre Gilliard, treize années à la Cour de Russie. |
Film de Patrick Cabouat FPPR - Fondation pour la Préservation du Patrimoine Russe dans l'Union Européenne, asbl
SBRE – Stichting voor de Bewaring van het Russische Erfgoed in de Europese Unie, vzw Cycle de conférences FPPR 2017-2018 écrit avec Christian Lvowski-Dumais qui introduira la séance.
Le verre de l’amitié est offert. Pour ceux qui le souhaitent, une réception payante (20 €) sera ensuite organisée sur place : pirochki et vodka, pains surprise, vin (20 € à réserver et payer impérativement avant le 5 mars). Contacter a.schoro at skynet.be pour les détails. Présidente de la Fondation : Ctesse Marina Tolsto. Réservations par courriel : patrimoine.russe at yahoo.com Banque : IBAN BE81 3631 5890 3824 —BIC BBBRUBEBBE
site provisoire : http://www.e-federations.com site officiel en cours d'implantation : http://www.patrimoine-russe-fppr.be
|
|
| 68) |
le mercredi 28 février 2018
|
|
|
Mars 2018 => Calendrier d'événements à caractère culturel russe.
Diffusion mars 2018. Calendrier d'événements à caractère culturel russe.Calendrier d'événements à caractère culturel russe. Mars 2018.
Lien pour visualiser ce courriel dans votre navigateur : Mail/RC_Mailing_March_01,_2018.html
| Calendrier vava.be mars 2018 | Liste des intitulés | Album des affiches/illustrations | Descriptifs détaillés
 Evénements de mars 2018 :
3 => Rotary. Concert Résonance (Liège) 3,4,17-18,24-25,31 => ARINA. Мартовская афиша (Bruxelles) 27/2-4/3 => Russie - cultures eurasiatiques (Saint-Josse-ten-Noode) 4 => Ballet. Flames of Paris (Kinepolis) 5-13 => Festival cinéma. Quand les Russes rêvent (Paris) 8-9 => Концерт мужской хор « Православные русские певчие » (Paris) 10 => Ballade Russo-Tsigane (Fontainebleau) 10 => FPPR. Film 13 années Cour de Russie (Woluwé-Saint-Lambert) 10, 26-27 => Célébration bi-centenaire Tourguéniev (Bougival) 10 => Conférence/Soirée Еда в мировой литературе (Bruxelles) 11 => Rentrée du salon de Tourgueniev (Ixelles) 12 => Séminaire tropismes russes au Sud-Ouest de la France (Paris) 14 => Colloque intellectuels et Europe (Louvain-la-Neuve) 16 => Russisch-orthodox koor « Blagovest » uit Riga (Oostende) 17 => Conférence de la révolution d'octobre 1917 à la chute de l'URSS (Liège) 17 => Прогулка по Брюгге с проф. Рониным (Brugge) 17 => Спектакль « Соучастники » (Sint-Lambrechts-Woluwe) 19 => Conférence. Usages vestimentaires dans Empire des Tsars (Paris) 21 => Musique russe, Dmitri Chostakovitch (Saint-Josse-ten-Noode) => 21/5 => Soviet Design. Red Wealth (1950-1980) 1020 Bruxelles (Laeken) => 27/5 Dutch Masters from the Hermitage. Treasures of the Tsars (Amsterdam) => 27/11 Guerre et transferts culturels : Exemple campagnes 1812-1814 (Paris)
|
|
|
|
| 69) |
le lundi 5 février 2018 à 20 heures
|
Catégorie : Histoire |
Type : Conférence |
UCL-Woluwe, Musée pharmaceutique A. Couvreur, Faculté de Pharmacie, Tour Van Helmont 73, niveau 0, avenue Mounier 73, 1200 Bruxelles.
Les compositeurs russes après 1917. Rester ou partir ? Et quoi après ?
 Les compositeurs russes après 1917. Rester ou partir ? Et quoi après ? |
par Michel De Grave, professeur de musicologie FPPR - Fondation pour la Préservation du Patrimoine Russe dans l'Union Européenne, asbl
SBRE – Stichting voor de Bewaring van het Russische Erfgoed in de Europese Unie, vzw Cycle de conférences 2017-2018 Parmi les compositeurs qui sont partis en 1917, certains l’ont regretté, et sont revenus, comme Prokofiev. Parmi ceux qui sont restés, beaucoup l’ont regretté, et n’ont pu partir. La conférence portera en musique sur le climat culturel de 1917 et sur ces multiples destins en forme de kaléidoscope: Rachmaninov, Prokofiev, Chostakovitch, et tant d’autres. La révolution russe de 1917 a amené la grande majorité des musiciens russes à quitter le pays tandis que d’autres sont restés et ont subi les pires humiliations. Nous parcourrons de multiples destins face à cette tragédie, notamment ceux de Rachmaninov, Stravinski, Prokofiev et Chostakovitch, mais aussi quelques autres, moins connus, mais tout aussi significatifs. Parmi les musiciens russes, l’un des destins les plus tragiques est celui, bien connu, de Chostakovitch, dont le musicologue Jean-Marc Onkelinx, professeur au Conservatoire de Liège et à l’Université des Aînés (UCL) a écrit sur son blog un article sur sa treizième symphonie qu’il nous a aimablement autorisé à reproduire.
Entrée : 10 € (5 € membres et moins de 30 ans) à verser au compte de la FPPR : IBAN BE81 3631 5890 3824 – BIC : BBBRUBEBB avec la mention « Conférence Apraxine ». La conférence sera suivie d’un drink PAF 2€ à payer sur place. Accès : - métro Alma : suivre « Faculté » puis « Musée Couvreur » ; - Autos : Parking Mounier, avenue Mounier : puis descendre l’avenue Mounier, entrée du bâtiment Van Helmont à droite. Plan d'accès : accès au Musée Couvreur
Сайт/Site : http://www.vava.be/Files/Club Culturel Belgo Russe - Bulletin Févri!er 2018.docx
|
|
| 70) |
le lundi 20 novembre 2017 à 20 heures
|
Catégorie : Histoire |
Type : Conférence |
UCL-Woluwe, Musée pharmaceutique A. Couvreur, Faculté de Pharmacie, Tour Van Helmont 73, niveau 0, avenue Mounier 73, 1200 Bruxelles.
Ces grands russes qui vécurent en Belgique.
Conférence FPPR « Ces grands russes qui vécurent en Belgique » par Daniel Stevens. |
par Daniel Stevens, licencié en droit et économiste FPPR - Fondation pour la Préservation du Patrimoine Russe dans l'Union Européenne, asbl
SBRE – Stichting voor de Bewaring van het Russische Erfgoed in de Europese Unie, vzw Chers amis, Je vous prie de trouver ci-joint l'annonce de la conférence Dans l'attente du plaisir de vous revoir, je vous prie de recevoir, chers amis, l'expression de mes sentiments les meilleurs. Ctesse Marina Tolstoy Présidente de la Fondation pour la Préservation du Patrimoine Russe - FPPR
Entrée : 10 € (5 € membres et moins de 30 ans) à verser au compte de la FPPR : IBAN BE81 3631 5890 3824 – BIC : BBBRUBEBB avec la mention « Conférence Apraxine ». La conférence sera suivie d’un drink PAF 2€ à payer sur place. Accès : - métro Alma : suivre « Faculté » puis « Musée Couvreur » ; - Autos : Parking Mounier, avenue Mounier : puis descendre l’avenue Mounier, entrée du bâtiment Van Helmont à droite. Plan d'accès : accès au Musée Couvreur
site provisoire : http://www.e-federations.com site officiel en cours d'implantation : http://www.patrimoine-russe-fppr.be
|
|
| 71) |
le vendredi 10 novembre 2017 à 10 heures
|
Catégorie : Faire-part |
Type : Décès |
Cathédrale orthodoxe russe, rue R. Toepffer 9, CH-1206 Genève.
In memoriam : Pierre Rosniansky - Livre de condoléances.
Piotr Borissovitch Rosniansky |
Les paroissiens de l'Église de la Tourelle, l'Union des descendants des combattants russes de Gallipoli (UDCRG), les choristes de l'ensemble vocal Rossa i Nota, les membres de la Fondation pour la Préservation du Patrimoine Russe dans l'Union Européenne ( FPPR), ainsi que des associations SLAWA et VITIAZ de Belgique ont la profonde tristesse de vous faire part du décès de Piotr Borisovitch Rosniansky. - La Divine Liturgie des funérailles aura lieu à Genève le 10 novembre 2017 à 10 heures dans la Cathédrale orthodoxe russe à l'adresse suivante : rue R. Toepffer 9, CH-1206 Genève.
Suivront des « Поминки » vers 14 heures après l'inhumation au cimetière. - Une pannikhide suivie d'un repas convivial est prévue après la liturgie dominicale du 26 novembre 2017 à l'Église orthodoxe russe des Saints Pantéleimon et Nicolas, rue de Mot 47, B-1040 Bruxelles (Etterbeek).
Contact : Inna Harapuchyk, tél.: +41 79 619 89 27, courriel : piotr.rosniansky19 at gmail.com Faire-part : Pierre Rosniansky nous a quittés In memoriam : Pierre Rosniansky - Livre de condoléances
| Оставить сообщение | Laisser un message |
|
|
| 72) |
le lundi 23 octobre 2017 à 20 heures
|
Catégorie : Histoire |
Type : Conférence |
UCL-Woluwe, Musée pharmaceutique A. Couvreur, Faculté de Pharmacie, Tour Van Helmont 73, niveau 0, avenue Mounier 73, 1200 Bruxelles.
Mes derniers jours à Tsarskoïe Selo (1917). Souvenirs de mon grand-père.
Conférence FPPR « Mes derniers jours à Tsarskoïe Selo (1917). Souvenirs de mon grand-père. » par Nicolas Apraxine. |
par Nicolas Apraxine, ancien délégué général pour la Russie et les autres pays de la CEI d'une grande société belge. FPPR - Fondation pour la Préservation du Patrimoine Russe dans l'Union Européenne, asbl
SBRE – Stichting voor de Bewaring van het Russische Erfgoed in de Europese Unie, vzw Cycle de conférences 2017-2018
Entrée : 10 € (5 € membres et moins de 30 ans) à verser au compte de la FPPR : IBAN BE81 3631 5890 3824 – BIC : BBBRUBEBB avec la mention « Conférence Apraxine ». La conférence sera suivie d’un drink PAF 2€ à payer sur place. Accès : - métro Alma : suivre « Faculté » puis « Musée Couvreur » ; - Autos : Parking Mounier, avenue Mounier : puis descendre l’avenue Mounier, entrée du bâtiment Van Helmont à droite. Plan d'accès : accès au Musée Couvreur
site provisoire : http://www.e-federations.com site officiel en cours d'implantation : http://www.patrimoine-russe-fppr.be
|
|
| 73) |
le dimanche 1 octobre 2017
|
|
|
Octobre 2017 => Calendrier d'événements à caractère culturel russe.
Diffusion octobre 2017. Calendrier d'événements à caractère culturel russe.Calendrier d'événements à caractère culturel russe. Octobre 2017.
Lien pour visualiser ce courriel dans votre navigateur : Mail/RC_Mailing_October_01,_2017.html
| Calendrier vava.be octobre 2017 | Liste des intitulés | Album des affiches/illustrations | Descriptifs détaillés Événements d'octobre 2017 :1 => Cinematek - Classics & anthologies Rusland 2017 (Bruxelles) 1 => Concert - Julie Jaroszewski (Bruxelles) 1 => Spectacle - Si Pouchkine vous était chanté (Fontainebleau) 1 => Visite - Национальный ботанический сад (Meise) 1 => Excursion - с Владимиром Рониным и не только по Остенд (Oostende) 2,16 => Conversation - Table russe (Mons) 4 => Visite - Художественный музей Искусство и общество. (Bruxelles) 5 => Conférence - La Russie, agresseuse, agressée ou partenaire ? (Woluwé-Saint-Lambert) 6 => Concert - Anna Vinnitskaya (Nivelles) 6-30 => Exposition - 1917 : la fin des tramways belges en Russie (Liège) 7- => Exposition - Dutch Masters from the Hermitage. Treasures of the Tsars (Amsterdam) 7 => Excursion - по Генту (Gent) 8 => Présentation - 100 jaar Oktoberrevolutie. Tien dagen die de wereld deden wankelen. Reds (Borgerhout) 8 => Débat - De la Révolution Russe aux goulags (Blois) 11 => Conférence - 2017 : le spectre de la révolution qui hante la Russie d’aujourd’hui (Bruxelles) 12 => Conférence - L'art musical dans le feu de la Révolution russe (Aix-en-Provence) 12 Conférence - Russie : grand retour d’une grande puissance ? (Woluwé-Saint-Lambert) 13 => Exposition - L'art d'ici et d'ailleurs (Huy) 13-14 => Musique - ballet russe et Concerto de Grieg (Roeselare/Gent) 14 => Concert - Krachtige verhalen (Gent) 14-15, 21-22 => Exposé - La Russie ancienne (Stockel) 14-15 => Théâtre - Majakovski/Oktober (Antwerpen) 14 => Marionnettes - Курочка ряба (Liège) 14 => Excursion в Ипр и Кортрейк (Kortrijk/Ieper) 18- => Exposition - Et 1017 devient Révolution... (Paris) 19-21 => Colloque - Les trajectoires d’Octobre 1917 (Paris) 21-22 => Commémoration - Centenaire de la Révolution Russe 1917 (Schaerbeek) 22 => Ballet Live 2017 : Le Corsaire (Kinepolis) 22-26 => Conférence : Лидерство в образовании (Etterbeek) 23 => Conférence FPPR - Mes derniers jours à Tsarskoïe Selo (1917). Souvenirs de mon grand-père (Woluwé-Saint-Lambert) 26 => Concert - Une ballade finlandaise (Paris) 26 => Extraits commentés - Semion Kotko de Prokoviev (Saint-Josse-ten-Noode) 27 => Forum CCBLR - Belarus Invest in tomorrow (Luxembourg) 31- => Exposition - Peintures Révolution Russe (Genève) Notes : Revue FPPR - Fondation Préservation Patrimoine Russe, n°6 (juin 2017), 82 pages ; Gala « Patrimoine Russe » le 17 novembre 2017 dès 19 heures au Château du Lac à Genval. Attention : inscription requise avant la fin du mois pour bénéficier du prix attractif ; Événements => déjà 29 et 15 activités respectivement postées en novembre et décembre 2017. |
|
|
|
| 74) |
le dimanche 1 octobre 2017
|
Catégorie : Histoire |
Type : Revue périodique |
FPPR, avenue E. Parmentierlaan, 48 - 1150 Bruxelles
Revue FPPR n°6 (juin 2017) - Edition spéciale « Cent ans après la révolution ».
 Revue FPPR n° 6 (2017) |
Marina Tolstoy Fondation pour la Préservation du Patrimoine Russe dans l'Union Européenne Editorial : Devoir de mémoire - page 3 Auteurs : Nicolas Apraxine, Nicolas Bieliavsky, Alexandre Jevakhoff, Pierre lierneux, André Schorochoff, Elena Sedova, Michel Selezneff, Emmanuel Wargemans - page 4 Sommaire :
Recueillir, préserver et étudier l'héritage de l'Emigration russe, par Marina Tolstoy - page 6 In memoriam : Boris Petrovitch Galitzine et André Vladimirovitch Drutskoy - page 8 Dossier - Cent ans après la révolution de 1917 - page 10 Déclaration de la Fédération d'Associations Russes (FAR) - page 11 La révolution de 1917 vue par des descendants de russes émigrés - page 13 Y aurait-il une part de responsabilité de nos grands-parents dans les événements de 1917 ? par Nicolas Apraxine - page 19 Traversée de Moscou le jour de la révolution (26 octobre/8 novembre 1917), par André Schorochoff - page 27 La dernière terre russe (1919-1920), par Alexandre Jevakhoff - page 32 Le cardinal Mercier et l'émigration russe en Belgique, par Nicolas Bieliavsky - page 44 « Русский остров » в Брюсселе : детский приют Анастасии Андреевны Кузьминой-Караваевой - Елена Седова - page 56 La « Maison des Enfants russes » d'Anastasia ouzmina-Karavaïyva, par Michel Selezneff - page 64 Trésors de la Russie impériale au MRA, par Pierre Lierneux - page 66 Donation du Prince Boris Galitzine à la Bibliothèque Galitzine à Saint-Péterbourg - page 69 Peter de Grote in België, door Emmanuel Waegemans - page 70
Gratuite pour les membres FPPR 2017 (40 €) mais 10 €+ frais d'envoi pour les non-membres. Siège social : avenue E. Parmentierlaan, 48 - 1150 Bruxelles s Présidence : Marina Tolstoy | courriel : marina.tolstoy at hotmail dot com | tél. : +32 (0)477 44 42 16 Secrétariat : André Schorochoff | courriel : a.schoro at skynet dot be | tél. : +32 (0)2 384 37 40 Banque : FPPR 310-1446138-51 (IBAN: BE75310144613851 BIC: BBRUBEBB)
http://www.e-federations.com
 | Note : Photo datée de 1923 dont la partie droite est reproduite en 4ème page couverture => Cardinal Mercier à Louvain entouré des étudiants russes émigrés dont mon père Mikhaïl Nikolaevitch Troïepolsky (Orel 1896 - Schaerbeek 1979) : http://www.russianconcepts.com/cdlMercierBE.html | . 2017-10-01.jpg) |
|
|
| 75) |
le vendredi 16 juin 2017 à 11 heures
|
Catégorie : Réunion |
Type : Associations |
Club Prince Albert, Salle Egmont, rue des Petits Carmes 20, 1000 Bruxelles
FPPR - Assemblée générale statutaire.
 Assemblée générale statutaire 2017. |
Fondation pour la Préservation du Patrimoine Russe dans l’Union européenne, asbl
Stichting voor de Bewaring van het Russische Erfgoed in de Europese Unie, VZW FPPR – Fondation pour la Préservation du Patrimoine Russe dans l’Union européenne, asbl SBRE – Stichting voor de Bewaring van het Russische Erfgoed in de Europese Unie, VZW ________ ___________________________________________________________________ Chers amis, cher(e)s membres de la FPPR, J’ai l’honneur de vous inviter à participer à notre Assemblée générale statutaire annuelle qui se tiendra le vendredi 16 juin 2017 à 11 h dans la salle Egmont du Club Prince Albert, 20 Rue des Petits Carmes, 1000 Bruxelles. Programme : 10.30h Enregistrement et accueil des participants 11.00h Assemblée générale statutaire 12.30h Cocktail au Bar 13.00h Déjeuner au restaurant Bistronomie
La PAF au repas, fixée à 22€, doit être payée avant le 10 juin au compte de la FPPR : ING IBAN : BE81 3631 5890 3824 BIC : BBRUBEBB. Attention : le nombre de couverts réservé est limité à 32 ; les inscriptions seront confirmées dans l’ordre des payements reçus sur le compte de la Fondation. Veuillez agréez, chers amis, mes salutations très amicales. Présidence : Marina Tolstoy, Chaussée de Tervuren 143, 1160 Bruxelles – marina at tolstoy.be – 02 673 78 68 – 0477 444 216 Secrétariat : Princesse Boris Galitzine – 010 60 22 01 – patrimoine russe at yahoo.com ING IBAN : BE81 3631 5890 3824 – BIC BBRUBEBB Siège social : Avenue Parmentier 48, 1150 Bruxelles | ASBL – VZW n°BE 02476 153 402
Confirmation de votre participation au déjeuner Le prix du déjeuner est de 22 € par personne. Ce prix comprend l’apéritif, le repas (entrée +plat +dessert) ainsi que toutes les boissons : vins, eaux et café. Les réservations doivent parvenir avant le 10 juin 2017 par courriel a.
|
|
Juin 2017 => Calendrier d'événements à caractère culturel russe.
Diffusion juin 2017. Calendrier d'événements à caractère culturel russe.Calendrier d'événements à caractère culturel russe. Juin 2017.
Lien pour visualiser ce courriel dans votre navigateur : Mail/RC_Mailing_June_01,_2017.html
| Calendrier vava.be juin 2017 | | Liste des intitulés | Album des affiches/illustrations | Descriptifs détaillés Annonce :=> 27-29 Silenis casting : Recherche chorale d'enfants et d'hommes russes (Binche) Concerts :1 => Compositions by Tigran Maytesian (Woluwé-Saint-Lambert) 2 => Caravane Gipsy (Ittre) 11 => Pouchkine : Je me souviens d'un moment merveilleux... (Saint-Josse) 11 => Harfa i Szopen (Chênée) 15 => Duo russo-polonais (Paris) 24 => Soirée-concert Nos talents (Rocourt) Cinéma :1 => Теваник (Saint-Josse) Expositions :2 => Véronique Kalitventzeff (Crupet) Excursions/visites :4 => Luxembourg 4 => Jardin botanique (Meise) 7 => Seurat et Ensor (Bruxelles) 10 => Belgisch ambachtelijk bier (Antwerpen) 10-17 => Летний Дом Отдыха (Ardennes) 11 => Koblenz/Bad Ems 17 => Paris 24-25 => Normandie Conférences :13 => Vladimir Fédorovski : Poutine de A à Z (Bruxelles) 15 => Marie-Pierre Rey : Histoire de la Russie d’Ivan le Terrible à Poutine (Waterloo) 16 => Тургеневский салон (Saint-Josse) Théâtre :3 => Брюссельские маски (Saint-Josse) 10 => Alice (Antwerpen) 10 => Что подумают соседи ? (Etterbeek) Réunions :3 => A la croisée des cultures : Russie (Angleur) 3 => Poesjkin en zijn vrienden (Laken) 10 => Здравствуй, Лето! (Francfort) 16 => Assemblée générale FPPR (Bruxelles) Innovation :5 => French Tech Tour en Russie (Moscou) 8 => Russian innovative regions (Bruxelles) Célébration :21 => Tricentenaire de l’arrivée de Pierre le Grand en Province de Liège (Liège) Bibliographie :Max Gallo : 1917 – Une passion russe. Vidéographie :Cette icône vidéo  pointe vers des enregistrements de conférences ou d'émissions récentes qui n'ont parfois pas été détectées en leur temps. |
|
|
|
| 77) |
le mardi 16 mai 2017 à 11 heures
|
Catégorie : Réunion |
Type : Associations |
Club Prince Albert, Salle Egmont, rue des Petits Carmes 20, 1000 Bruxelles
FPPR - Assemblée générale statutaire => ATTENTION : cette réunion est reportée au vendredi 16 juin 2017.
 Assemblée générale statutaire 2017. |
Fondation pour la Préservation du Patrimoine Russe dans l’Union européenne, asbl
Stichting voor de Bewaring van het Russische Erfgoed in de Europese Unie, VZW Chers amis, Vous trouverez en annexe l’invitation à participer à notre assemblée générale annuelle. Merci d’en prendre note et de réserver dès à présent votre place pour le déjeuner. Comme d’habitude, nous avons prévu une trentaine de couverts les premiers inscrits auront priorité sur les derniers. Seuls les membres en ordre de cotisation pourront voter bien entendu. Bien amicalement, André Schorochoff Programme : 10.30h Enregistrement et accueil des participants 11.00h Assemblée générale statutaire 12.30h Cocktail au Bar 13.00h Déjeuner au restaurant Bistronomie Ordre du jour : Accueil par la comtesse Marina Tolstoy, Présidente du Conseil d’administration Approbation du PV de l’Assemblée Générale statutaire du 9 juin 2016 Discussion et Approbation du Rapport d’activité et des comptes 2016 Décharge des administrateurs en fonction Renouvellement du mandat du Vérificateur aux Comptes Renouvellement ou modification des mandats d’administrateurs Présentation, discussion et vote du plan et du budget 2017 Divers : Distribution de la Revue du Patrimoine n° 6 aux membres en ordre de cotisation Les documents préparatoires suivants vous seront envoyés prochainement : Le rapport d’activité du Conseil d’administration du 24 avril 2017 annexe 1 Les comptes 2016 présentés et approuvés par le CA du 24 avril 2017 annexes 2 Le programme de travail prévu pour 2017/18 annexe 3 Le budget prévu pour 2017/18 annexe 4 Un document de confirmation de votre participation à renvoyer par la poste ou par email
Confirmation de votre participation au déjeuner Le prix du déjeuner est de 22 € par personne. Ce prix comprend l’apéritif, le repas (entrée +plat +dessert) ainsi que toutes les boissons : vins, eaux et café. Les réservations doivent parvenir avant le 10 mai 2017 par courriel a.schoro at skynet.be, par la poste : A. Schorochoff, rue castor 8, 1421 Ophain BSI ou par téléphone : 02 38 43 7 40 Le paiement doit être fait avant le 10 mai 2017 au compte de la FPPR ING IBAN : BE81 3631 5890 3824 BIC : BBRUBEBB La réservation du repas n’est effective qu’après réception du paiement. Information importante : Le Club Prince Albert est situé au N° 20 rue des Petits Carmes, juste en face de l’entrée principale du Service public fédéral des Affaires étrangères. Pour y accéder, à partir de la Place Royale, prendre la rue de Namur, la première à droite est la rue des Petits Carmes. Pour ceux qui viennent par le train et le métro, le plus simple est de descendre Porte de Namur et de descendre la
|
|
| 78) |
le dimanche 30 avril 2017
|
|
|
Mai 2017 => Calendrier d'événements à caractère culturel russe.
Diffusion mai 2017. Calendrier d'événements à caractère culturel russe.Calendrier d'événements à caractère culturel russe. Mai 2017.
Lien pour visualiser ce courriel dans votre navigateur : Mail/RC_Mailing_April_30,_2017.html
| Calendrier vava.be mai 2017 | | Liste des intitulés | Album des affiches/illustrations | Descriptifs détaillés | Bibliographie complète Expositions/Visites musées : 3 => Музейные встречи. Констанс Минье, Жак-Луи Давид и Фрэнсис Бэкон (Bruxelles) 21/28 => Ретроспектива Рика Ваутерса (Bruxelles) => samedi 27 => Petr Davydtchenko – « Voznesenie (Ascension) » (Ixelles) => 17 septembre => 1917. Romanovs & Revolution. The End of Monarchy (Amsterdam) => 5 juin => Primary colors (Bruxelles) Cinéma : => mercredi 17 => Les Fleurs bleues (Ixelles) => vendredi 5 => Lady Macbeth (en différents lieux) 6 => Я-Учитель (Saint-Josse-ten-Noode) => dimanche 14 => Revolution : New Art for a New World (Kinepolis Conférences/Présentations : 1 => Tricentenaire arrivée Pierre le Grand à Liège (Liège) 1 => Project « 2017 - Year of Ecology in Russia » (Bruxelles) 3 => Rusland 1917-2017. Van de Russische revolutie tot « Tsaar Putin » (Gent) 6 => A propos de 1917-2017 Histoire de la révolution russe : Quelle leçon pour aujourd'hui? (Liège) 6 => Conférences révolution russe (Saint-Gilles) 15/22 => La guerre n'a pas un visage de femme (Liège/Bruxelles) Ballet : 5 => Ballet. Le Lac des Cygnes (Marche-en-Famenne) 7 => Ballet festival 2017 - Le Lac des Cygnes (Charleroi) 28 => Ballet Performance Russian Souvenir (Antwerpen) Vente : 5/20 => Vente d’Art Russe (Paris/Cannes) Théâtre : 5 => La Fin de l’Homme rouge ou le temps du désenchantement (Quaregnon) Concerts : 5 => Song and dance from the Pamir Mountains (Ixelles) 6 => Katerina Verbovslaya - Solo piano concert (Schaerbeek) 7 => Festival International de la Musique « Mélodie du Printemps » (Saint-Josse-ten-Noode) 12 => Récital de piano - musique russe à 2 et à 4 mains (Bruxelles) 14 => Goerner et l'âme russe (Bruxelles) 26 => Trio (Russia) => Concert / Pop, rock, jazz… (Ixelles) 27 => Concert des élèves de la classe de piano (Rocourt) Annonce : => 17 juillet => Casting film « Kursk », relatant le naufrage du sous-marin nucléaire russe Kursk (Bruxelles/Antwerpen) Salon : 15 => Salon Polonais - « Pleinair » artistique à Chênée-Thiers (Chênée) Soirées : 6 => Выступают молодые таланты! (Francfort) 18 => Soirée festive « Vychyvanka » broderie ukrainienne (Rocourt) Assemblées : 16 => FPPR - Assemblée générale statutaire (Bruxelles) 29 => CCBLR - General Assembly Meeting (Bruxelles) Excursions : 27 => Однодневное путешествие Город Турне и замок Белёй (Tournai) 27-28 => Excursion en autobus Mont Saint-Michel. Автобусная экскурсия Мон Сант Мишель (Mont Saint-Michel) Bibliographie :
De la Russie à l'URSS, Édification et écroulement de l'Empire russe, (878-1991). La décolonisation de l'Empire russe (1992-2016) - Mythe ou réalité ? Octobre 1917 et le Mouvement ouvrier belge. |
|
|
|
| 79) |
le mardi 25 avril 2017 à 20 heures
|
Catégorie : Histoire |
Type : Conférence |
UCL-Woluwe, Musée pharmaceutique A. Couvreur, Faculté de Pharmacie, Tour Van Helmont 73, niveau 0, avenue Mounier 73, 1200 Bruxelles.
L'art des exilés russes en Europe - 1919-1939.
Conférence FPPR « Les artistes russes en exil » par Nadiejda Avdioucheva-Lecomte. |
par Nadiejda Avdioucheva-Lecomte FPPR - Fondation pour la Préservation du Patrimoine Russe dans l'Union Européenne, asbl
SBRE – Stichting voor de Bewaring van het Russische Erfgoed in de Europese Unie, vzw Notre conférencier du jour, le Dr PhD Nadiejda Avdioucheva-Lecomte est membre AICA, expert de la Fondation D. Likhatchev (SPB) et représentante du Centre pour l’Information sur l’émigration russe à Saint-Pétersbourg.
Entrée : 10 € (5 € membres et moins de 30 ans) à verser au compte de la FPPR : IBAN BE81 3631 5890 3824 – BIC : BBBRUBEBB avec la mention « Conférence Lecomte ». La conférence sera suivie d’un drink PAF 2€ à payer sur place. Accès : - métro Alma : suivre « Faculté » puis « Musée Couvreur » ; - Autos : Parking Mounier, avenue Mounier : puis descendre l’avenue Mounier, entrée du bâtiment Van Helmont à droite. Plan d'accès : accès au Musée Couvreur
site provisoire : http://www.e-federations.com site officiel en cours d'implantation : http://www.patrimoine-russe-fppr.be
|
|
| 80) |
le vendredi 31 mars 2017
|
|
|
Avril 2017 => Calendrier d'événements à caractère culturel russe.
Diffusion avril 2017. Calendrier d'événements à caractère culturel russe.Calendrier d'événements à caractère culturel russe. Avril 2017.
Lien pour visualiser ce courriel dans votre navigateur : Mail/RC_Mailing_March_31,_2017.html
| Calendrier vava.be avril 2017 | Evénements : 21/3-1/4 => Théâtre. La Fin de l’Homme rouge ou le temps du désenchantement (Cuesmes) 1 => Partage. H.E. Mr. Alex Van Meeuwen (Bruxelles) 1 => Revue. Het jaar 1917 in 9 items (Pays-Bas) 31/3-1/4 => Colloque. Le proscrit, le banni, l’émigré (Paris) 1 => Excursion. Châteaux aux alentours de Paris 1 => Soirée Possev. Вечер юмора и смеха (Francfort) 1 => Visite. Антверпенский кафедральный собор для взрослых (Antwerpen) 2 => Visite => Мартышка Марта знакомится с музеем (Bruxelles) 2 => Visite. Musée des instuments de musique (Bruxelles) 3 => Semaine. « Городские истории » во время весенних каникул (Bruxelles) 4-12 => Journées. Vol spatial habité (Saint-Josse-ten-Noode) 5 => Ballet. Le lac des cygnes (Liège) 5 => Visite. « Искусство не спеша » (Bruxelles) 5 => Concert. Посольство мастерства (Saint-Josse-ten-Noode) 6 => Vente. Art Russe (Paris) 6-9 => Ballet. Het Zwanenmeer - 2017 (Liège/Gent/Antwerpen) 8 => Rencontre. Relations belgo-russes pendant la Première Guerre mondiale (Bruxelles) 9 => Ballet Live 2017 : A Hero of our Time (Kinepolis) 9 => Concert. Prokofiev – Rachmaninov. Hommage à la musique russe (Brugge) 9 => Visite. Музей Костюма и Кружев для взрослых (Bruxelles) 11-19 => Voyage. Krasnodar and Volgograd (Russie) 15 => Excursion. Parc des tulipes Keukenhof (Amsterdam) 16 => Visites. Музей поездов и Музей Старых мастеров для всей семьи (Bruxelles) 20 => Vente. Art Russe (Paris) 35 => Présentation. Met de magische transsiberische express op reis door Rusland (Antwerpen) 23 => Visite. Maison d'Erasme (Anderlecht) 25 => Conférence FPPR. Les artistes russes en exil (Bruxelles) 26 => Conférence. Rusland 1917-2017. Van de Russische revolutie tot « Tsaar Putin » (Berchem) 27 => Opéra. La Khovanchtchina de Modeste Moussorgski (Saint-Josse-ten-Noode) 29 => Visite. Musée du chocolat (Bruxelles) Bibliographie : - 1917: quand la révolution a déferlé sur la Russie. - La vie secrète des Romanov. - The socialist network. | |
|
|
|
| 81) |
le lundi 20 février 2017 à 20 heures
|
Catégorie : Histoire |
Type : Conférence |
UCL-Woluwé, Musée Couvreur, Faculté de Pharmacie, Tour Van Helmont 83, niveau 0, 1200 Bruxelles (Woluwé-Saint-Lambert)
« Toute terre étrangère est pour eux une patrie ». Cent cinquante ans de présence orthodoxe russe en Belgique.
Conférence FPPR Toute terre étrangère est pour eux une patrie par Père Serge Model |
par le Père Serge Model, Prêtre de paroisse à Bruxelles. Secrétaire du Diocèse de l’Eglise orthodoxe russe en Belgique FPPR - Fondation pour la Préservation du Patrimoine Russe dans l'Union Européenne, asbl
SBRE – Stichting voor de Bewaring van het Russische Erfgoed in de Europese Unie, vzw Cycle de conférences 2016-2017 FPPR - Fondation pour la Préservetion du Patrimoine Russe dans l'Union Européenne Présidence : Ctesse Marina Tolstoy | Secrétariat : Pcesse Boris Galitzine - 010 60 22 01 – patrimoine.russe at yahoo.com
Entrée : 10 € (5 € membres et moins de 30 ans) à verser au compte de la FPPR : IBAN BE81 3631 5890 3824 – BIC : BBBRUBEBB avec la mention « Conférence Model ». La conférence sera suivie d’un drink PAF 2€ à payer sur place. Accès : suivre le fléchage « Musée Couvreur » car le campus est complexe : - voiture : avenue Mounier, 1200 Bruxelles, tourner av. de la Palestre : P « Faculté Sud » (gratuit) ; entrée de la Tour Van Helmont au bout du parking à gauche - métro : ligne 1 station Kraainem, traverser le P Mounier jusqu’à l’av. E. Mounier puis suivre le fléchage « Musée Couvreur ». Plan d'accès : accès au Musée Couvreur
site provisoire : http://www.e-federations.com site officiel en cours d'implantation : http://www.patrimoine-russe-fppr.be
|
|
| 82) |
le mardi 13 décembre 2016 à 20 heures
|
Catégorie : Concert |
Type : Musique |
Centre culturel et scientifique de la Russie à Bruxelles, rue du Méridien 21, 1210 Bruxelles (Saint-Josse-ten-Noode)
A N N U L E <= Chants russes et tziganes Karandash.
<Font size=+1 color=red>A N N U L E Chants russes et tziganes Karandash. |
Cycle de concerts FPPR 2016-2017 Fondation pour la Préservation du Patrimoine Russe en Union Européenne Yashko Golembiowski, Illiousha Stepanow, Alexander Chestopalov et Iliya Stepanow, quatre musiciens-chanteurs d'origine russe s'accompagnent à la guitare, et pour certains morceaux rythmés, d'une contrebasse balalaika. Katia Katanova, une violoniste russe, se joindra à eux pour ce concert exceptionnel. Le répertoire est composé de chansons de toutes les époques, depuis la Russie des tsars jusque celle d'après guerre. Mélodies tziganes, cosaques, chansons des cabarets russes de Paris, chansons à boire, chansons de bardes, folklore villageois, etc.
Entrée 10€, réduite à 5€ pour les membres FPPR ou les moins de 30 ans
Сайт/Site : http://www.e-federations.com
|
|
| 83) |
le mardi 22 novembre 2016 à 20 heures
|
Catégorie : Histoire |
Type : Conférence |
UCL-Woluwe, Musée pharmaceutique A. Couvreur, Faculté de Pharmacie, Tour Van Helmont 73, niveau 0, avenue Mounier 73, 1200 Bruxelles.
Y aurait-il une part de responsabilité de nos grands-parents dans les événements de 1917 ?
« Y aurait-il une part de responsabilité de nosgrands-parents dans les événements de 1917 ? ». |
par le Comte Nicolas Apraxine, FPPR - Fondation pour la Préservation du Patrimoine Russe dans l'Union Européenne, asbl
SBRE – Stichting voor de Bewaring van het Russische Erfgoed in de Europese Unie, vzw Notre conférencier du jour, le Comte Nicolas Apraxine, Ingénieur civil et ancien Délégué général pour la Russie et les autres pays de la CEI d'une grande société belge. Cycle de conférences 2016-2017 de la FPPR
UCL-Woluwé. Plan d'accès Musée Couvreur | Entrée (réservation souhaitée) : 10 € (5 € membres et - 30 ans) suivie d’un drink. Adresse : UCL-Woluwe, Faculté de Pharmacie, Tour Van Helmont 83, niveau 0, 1200 Bruxelles. Accès : suivre le fléchage « Musée Couvreur » - en voiture : parking Faculté Sud (gratuit), avenue de la Palestre (perpendiculaire au Centre sportif de la Woluwe) - en métro : ligne 1 station Kraainem, traverser le P Mounier jusqu’à l’avenue E. Mounier et d
site provisoire : http://www.e-federations.com site officiel en cours d'implantation : http://www.patrimoine-russe-fppr.be
|
|
| 84) |
le mercredi 28 septembre 2016 à 20 heures
|
Catégorie : Histoire |
Type : Conférence |
UCL-Woluwe, Musée pharmaceutique A. Couvreur, Faculté de Pharmacie, Tour Van Helmont 73, niveau 0, avenue Mounier 73, 1200 Bruxelles (Woluwé-Saint-Lambert)
La Mémoire historique de l'Emigration russe dans l'entre-deux-guerres.
Mikhaïl Kovalev. La mémoire de l’émigration russe dans l’entre-deux-guerres. | Mikhaïl Kovalev. Conférence FPPR. Petit rappel. | |
par Mikhaïl Kovalev FPPR - Fondation pour la Préservation du Patrimoine Russe dans l'Union Européenne, asbl
SBRE – Stichting voor de Bewaring van het Russische Erfgoed in de Europese Unie, vzw Conférence sur « La mémoire de l’émigration russe dans l’entre-deux-guerres » par le Pr Mikhaïl Kovalev, professeur d’Histoire à l’Université de Saratov (Russie), chercheur à l'Institut d’Histoire universelle de l'Académie russe des Sciences, médaille d'or de l'Académie des sciences de Russie, professeur invité à l'École supérieure d'Économie de Prague.
Кандидат исторических наук (2009 г.), доцент (2010 г.). Победитель Всероссийского конкурса молодых авторов российского исторического журнала «Родина» (2007 г.). Лауреат золотой медали и премии Российской академии наук (2006 г.); лауреат медали и премии Европейской академии наук (2011 г.). Преподаватель истории и обществознания в гимназии №1 и лицее №37 г. Саратов (2006-2009 гг.); научный сотрудник Саратовского межрегионального института общественных наук (2007-2009 гг.); доцент, заместитель декана социально-гуманитарного факультета Саратовского государственного технического университета (с 2009 г.).
Автор более 50 научных работ, публиковавшихся в России, Бельгии, Чехии, Латвии, США. К числу основных научных и учебно-методических трудов относятся монографии: 1. Ковалев М. В. Научный быт русских историков-эмигрантов в Праге в 1920 – 1930-е годы: Историко-антропологическое исследование. – Saarbrücken: Lambert Academic Publishing, 2011. – 468 S. 2. Коковцов В.Н. Обрывки воспоминаний из моего детства и лицейской поры / Сост., подг. публ. М.В. Ковалева и М.А. Васильевой, коммен. М.В. Ковалева. – М.: Русский путь, 2011. – 256 с. 3. Иванов А.В., Яшков И.А., Пещеров М.Н., Ковалев М.В. «Геоонтогенез повторяет космофилогенез...»: жизнь и творчество Г. И. Худяков. – Саратов: Сарат. гос. техн. ун-т, 2012. – 524 с. 4. Ковалев М.В. Русские историки-эмигранты в Праге (1920 – 1940-е годы). – Саратов: Сарат. гос. техн. ун-т, 2012. – 408 с.
Entrée : 10 € (5 € membres et - 30 ans) à verser au compte de la FPPR : IBAN BE81 3631 5890 3824 – BIC : BBBRUBEBB avec la mention « Conférence », suivie d’un drink (à régler sur place). Réservation souhaitée : Pcesse Boris Galitzine, Venelle des Buissons 1, bte 11, 1300 Wavre - 010 60 22 01 – 0473 313 502. Adresse : UCL-Woluwe-Saint-Lambert, Musée Couvreur, Faculté de Pharmacie, Tour Van Helmont 73, niveau 0, 1200 Bruxelles. Accès : bien suivre ces indications car le campus est complexe : - métro : ligne 1 Stockel, station Kraainem, traverser le P Mounier jusqu’à l’avenue E. Mounier, - auto : parking Faculté A (gratuit), avenue de la Palestre, ou :avenue Mounier 73, entrée du bâtiment Van Helmont à côté de l’Auditoire Simonart, niveau 0, puis suivre « Musée Couvreur ». Présidence de la fondation : Ctesse Marina Tolstoy Courriel : patrimoine.russe at yahoo.com - Site web : www.patrimoine-russe-fp
Сайт/Site : http://www.sstu.ru/teachers/1829-Kovalev_Mikhail_Vladimirovich.html
|
|
| 85) |
le mardi 27 septembre 2016
|
|
|
Événements à caractère culturel russe - derniers jours septembre et agenda d'octobre 2016
Événements à caractère culturel russe - derniers jours septembre et agenda d'octobre 2016Événements à caractère culturel russe derniers jours septembre et agenda d'octobre 2016 Lien pour visualiser ce courriel dans votre navigateur : RC_Mail2016-09-27.html
|  Пообщаемся, поговорим, поделимся впечатлениями отпуска и лета! |  Потанцуем всласть и разомнёмся |  И домой поплетёмся уставшими, но довольными... |
| Voici la liste succinte de toutes les d'activités culturelles qui nous ont été communiquées ou que nous avons relevées à ce jour à votre intention. Les liens vers toutes les annonces correspondantes - affiches, textes et illustrations - résident à cette adresse Internet : http://www.vava.be. N'hésitez pas à partager ces informations autour de vous. Dernières dates fin septembre :27 => Cinéma - Dans les forêts de Sibérie, Bouillon 28 => Conférence FPPR - Mémoire historique Emigration russe entre-2-guerres, Woluwé-Saint-Lambert par Mikhaïl Kovalev (Univ. Saratov) 29 => Concert - 110 anniversaire Chostakovitch, Saint-Josse-ten-Noode 30 => Vernissage - Halinka Jakubowska - Exposition sculptures, Herve 30 => Présentation roman - Les Exilés d'Isangi, Bruxelles Octobre 20161 => Sortie livre - Poutine, une vision du pouvoir, CH-1204 Genève 1 => Excursion - en autobus aux Pays-Bas 1 => Possev - Ouverture saison et jubilée. Вашему клубу 5 лет! D-65936 Sossenheim 2 => Cérémonie - Bois des Steppennes à Anthisnes 3&16 => Cinéma - Hamlet. Гамлет | Shakespeare à l'écran, Ixelles 6 => Ballet Live - The Bright Stream, Kinepolis 6 => Conférence - Ermitage, Saint-Petersbourg, musée le + complet du monde, Saint-Josse-ten-Noode 7 => Théâtre - Spectacle Скамейка (The Bench), Bruxelles 9 => Concert - Compositeurs polonais, Chenée 9 => Ska-Punk - Подумай, кто твои друзья. Think who is your friends, Bruxelles 10 => Football - match amical Russie – Belgique 10 => Lezing - Leven Russische elite door ogen van hun lijfeigene kunstenaars, Brussel 10 => Conférence - Russie et la Turquie : leçons d'histoire pour comprendre le présent, Ixelles 13 => Chants orthodoxes de Russie et d'Ukraine, Wavre 14 => Vernissage - Art d'ici et d'ailleurs. Expo artistes pays de l'Est, Huy 14 => Concert - Piano-Violin charity concert, Bruxelles 15 => Welcome party - Открытие сезона 2017 Trix, Schaerbeek 18 => Récital - Моя Россия (Ma Russie) : Tchaikowski & Rachmaninov, Bruxelles 19-23 => Masterclasse de chant Triomphe de l’Art, Jette 20 => Concert - Violons de la paix, Bruxelles 20 => Yuri Bashmet solistes et orchestre de chambre de Moscou, Antwerpen 22 => Chants russes et tsiganes par l'Ensemble Karandash, Lesve 24 => Lezing - Sociaal portret Russische maatschappij, wanneer schilders het gewone volk ontmoeten, Brussel Cours de russe : Cette année, la professeur Vera Pavlovskaya continue à prodiguer ses cours de langue russe niveau avancé et débutant au Centre culturel russe rue Lesbroussart 7, 1050 Ixelles. Les cours se donnent les samedis dès 9h30' pour totaliser 100 heures pour cette année académique qui commence en octobre. Le groupe des débutants peut encore accueillir 3-4 personnes. Les candidats commençant de 0 sont les bienvenus pour compléter le groupe. Courriel de contact : vera.pavlovskaya at gmail dot com |
|
|
| 86) |
le lundi 19 septembre 2016
|
|
|
19 Septembre 2016 => Conférence M. Kovalev => Mémoire historique Emigration russe entre-2-guerres.
European Federations for Russian emigration in EU
| FPPR - SBRE - ФСРНFondation pour la Préservation du Patrimoine Russe dans l'Union Européenne Stichting voor de Bewaring van het Russische Erfgoed in de Europese Unie Фонд Сохранения Русского Наследия в Европейском Союзе ASBL - VZW |  Affiche conférence Pr Mikhaïl Kovalev | J’ai l’honneur de vous inviter à la conférence d’ouverture du cycle 2016/2017 consacré à l’histoire de la Russie.le mercredi 28 septembre 2016 à 20 heuresà l'UCL-Woluwé, Musée pharmaceutique A. Couvreur, Faculté de Pharmacie, Tour Van Helmont 73, niveau 0, avenue Mounier 73, 1200 Bruxelles (Woluwé-Saint-Lambert) La Mémoire historique de l'Emigration russe dans l'entre-deux-guerres.par le Pr Mikhaïl Kovalev
Professeur d’Histoire à l’Université de Saratov (Russie) ; Chercheur à l'Institut d’Histoire universelle de l'Académie russe des Sciences (Saint-Pétersbourg, Russie) ; Médaille d'or de l'Académie russe des Sciences (Saint-Pétersbourg, Russie) ; Professeur invité à l'École supérieure d'Economie (Prague, Tchéquie).
La conférence sera suivie d’une session de questions-réponses et clôturée par un verre de l’amitié.L’entrée est fixée à 5 € pour les membres et les étudiants, 10 € pour les non membres. Les réservations peuvent se faire par paiement au compte de la FPPR : IBAN: BE81 3631 5890 3824 BIC: BBBRUBEBB ; Le paiement sur place est possible. Néanmoins, il est vivement conseillé de réserver les places, le nombre étant limité. Veuillez agréez, $$$$$, mes salutations très amicales. Ctesse Marina Tolstoy, Présidente.
| |
|
| 87) |
le mardi 13 septembre 2016
|
|
|
Septembre 2016. Suite - Événements à caractère culturel russe.
Septembre 2016. Suite - Événements à caractère culturel russe.Septembre 2016. Suite - Événements à caractère culturel russe. Lien pour visualiser ce courriel dans votre navigateur : Mail/RC_Mailing_September_13,_2016.html
|  | Beaucoup d'activités se sont ajoutées depuis notre diffusion-courriel vava.be de la rentrée. N'hésitez donc pas à re-parcourir la liste des propositions de conférences nouvellement annoncées en cette fin de mois dont celles de Mikhaïl Kovalev (FPPR) et Marina Ferry-Musurok (BOp), du salon littéraire Отцы и дети, puis du concert Oksana Volkova (Triomphe de l'Art)... et dernière minute : « Ищу любимую » (CCSRB). Sans se déplacer l'on peut : - visionner le reportage-interview d'Olga Mentchik (Kaleidoscope) et ; - participer à la collecte de souvenirs en prévision du recueillement solennel en hommage à nos parents lors du documentaire projet centenaire 1917-2017 Russie intitulé « 100 ans de nostalgie et de solidarité ». Anticipant le mois d'octobre signalons déjà dans le désordre la conférence de Sacha Korsak (CCSRB), les ballets Bright Stream et Golden Age (Kinepolis), le spectacle « Скамейка » (Vaudeville), les chants orthodoxes de Russie et d'Ukraine à Wavre, la rencontre amicale Belgique-Russie (Football), le récital piano « Ma Russie » de Pierre-Arnaud Dablemont (Art Base) et les violons de la paix (Beaux-Arts). Enfin la régulière excursion en autobus cette fois aux Pays-Bas et le concert de bienfaisance So!Art parmi les 18 événements déjà repris au calendrier d'octobre 2016. |
|
|
| 88) |
le jeudi 9 juin 2016 dès 11 heures
|
|
|
Club Prince Albert, Salle Egmont, rue des Petits Carmes 20, 1000 Bruxelles.
Assemblée Générale FPPR 2016.
 Assemblée Générale FPPR. Fondation pour la Préservation du Patrimoine russe en Union Européenne. |
présidée par Nicolas Bieliavsky Président du Conseil d’Administration de la Fondation pour la Préservation du Patrimoine russe en Union Européenne Madame, Monsieur, J’ai l’honneur de vous inviter à participer à notre Assemblée générale statutaire annuelle. Le programme est le suivant : 10.30h Enregistrement et accueil des participants 11.00h Assemblée générale statutaire 12.30h Cocktail au Bar 13.00h Déjeuner au restaurant Les Carmélites(*) L’ordre du jour de l’Assemblée générale est le suivant :
- Discours d’accueil du Président du Conseil d’administration, Nicolas Bieliavsky ;
- Approbation du PV de l’Assemblée Générale statutaire du 16 juin 2015 ;
- Discussion et Approbation du Rapport d’activité et des comptes 2015 ;
- Décharge des administrateurs en fonction ;
- Renouvellement du mandat du Vérificateur aux Comptes ;
- Changement de présidence du conseil d’administration ;
- Présentation, discussion et vote du plan et du budget 2015 ;
- Divers : Distribution la Revue du Patrimoine n° 5 aux membres en ordre de cotisation.
En annexe vous trouverez les documents préparatoires suivants :
- Le rapport d’activité du Conseil d’administration du 17 mai 2016 annexe 1 ;
- Les comptes 2015 présentés et approuvés par le CA du 17 mai 2016 annexes 2 ;
- Le programme de travail prévu pour 2016/17 annexe 3 ;
- Le budget prévu pour 2016/17 annexe 4 ;
- Un document de confirmation de votre participation à renvoyer par la Poste ou par courriel.
Veuillez agréez, Mesdames, Messieurs, mes salutations très amicales. Nicolas Bieliavsky, Président
(*)Confirmation de votre participation au déjeuner Le prix du déjeuner est de 22 € par personne. Ce prix comprend l’apéritif, le repas (entrée+plat +dessert) ainsi que toutes les boissons : vins, eaux et café. Les réservations doivent parvenir avant le 6 juin 2016 par email, par la poste ou par téléphone à A. Schorochoff, rue Castor 8, 1421 Ophain BSI Tél : 02 384 37 40 / courriel : a.schoro at skynet.be Le payement doit être fait avant le 6 juin 2016 au compte de la FPPR, ING 310-1446138-51, IBAN: BE75310144613851, BIC: BBRUBEBB La réservation du repas n’est effective qu’après réception du paiement. Attention : le nombre de couverts réservé est limité à 32 ; les inscriptions seront confirmées dans l’ordre des payements reçus sur le compte de la Fondation. Information importante : Le Club Prince Albert est situé au N° 20 rue des Petits Carmes,juste en face de l’entrée principale du Service public
|
|
| 89) |
le mercredi 1 juin 2016
|
|
|
|
| 90) |
! inversion ou format de date erroné ! Début : 2016-06-01 / Fin : 2012-06-30
|
Catégorie : Histoire |
Type : Revue périodique |
FPPR, avenue E. Parmentierlaan, 48 - 1150 Bruxelles
Revue FPPR n°5 (juin 2016)
 Revue FPPR n° 5 (2016) |
Nicolas Bieliavsky Fondation pour la Préservation du Patrimoine Russe dans l'Union Européenne In memoriam : André Mernier, par Alexandre Khoudokormoff Page 2 Editorial : Création et buts de la FPPR. Quelques réalisations importantes de la FPPR, par le Dr Nicolas Bieliavsky, Président de la FPPR Page 3 Projets de la FPPR, par le Dr Nicolas Bieliavsky, Président de la FPPR Page 5 Composition du Conseil d’administration de la FPPR Page 5 Articles publiés dans ce numéro :
Biographie d’Elena Vladimirovna Kotliarova, par le Dr Tamara Veniaminovna Kunze Page 7 La diaspora russe et l'espace russophone transnational en Europe, par Viatcheslav Dmitriévitch Popkov Page 14 Saint-Georges, trait d’union entre Orient et Occident, par le Pr Georges Martinowsky Page 29 La bibliothèque de l’église russe Saint-Nicolas à Ixelles, par Alexandre Khoudokormoff Page 37 Généalogie de la famille Tolstoy, par la comtesse Marina Tolstoy Page 41 Présentation et coordonnées des auteurs Page 64
Gratuite pour les membres FPPR 2016 (40 €) mais 10 €+ frais d'envoi pour les non-membres. Siège social : avenue E. Parmentierlaan, 48 - 1150 Bruxelle s Présidence : Nicolas Bieliavsky | courriel : nbieliavsky at skynet dot be | tél. : +32 (0)60 39 10 27 Secrétariat : André Schorochoff | courriel : a.schoro at skynet dot be | tél. : +32 (0)2 384 37 40 Banque : ING 310-1446138-51 (IBAN: BE75310144613851 BIC: BBRUBEBB)
Сайт/Site : http://www.e-federations.com
|
|
Assemblée générale de la FPPR 9 juin 2016
FPPR — Fondation pour la Préservation du Patrimoine Russe dans l'Union Européenne
Invitation à participer à l’Assemblée générale FPPR du 9 juin 2016 dès 11 heures au Club Prince Albert, Salle Egmont rue des Petits Carmes 20, 1000 Bruxelles.Madame, Monsieur,
J’ai l’honneur de vous inviter à participer à notre Assemblée générale annuelleProgramme :
10.30h Enregistrement et accueil des participants 11.00h Assemblée générale statutaire 12.30h Cocktail au Bar 13.00h Déjeuner au restaurant « La Bistronomie »
Ordre du jour : 1. Discours d’accueil du Président du Conseil d’administration, Nicolas Bieliavsky ; 2. Approbation du PV de l’Assemblée Générale statutaire du 16 juin 2015 ; 3. Discussion et Approbation du Rapport d’activité et des comptes 2015 ; 4. Décharge des administrateurs en fonction ; 5. Renouvellement du mandat du Vérificateur aux Comptes ; 6. Changement de présidence du conseil d’administration ; 7. Présentation, discussion et vote du plan et du budget 2015 ; 8. Divers : Distribution la Revue du Patrimoine n° 5 aux membres en ordre de cotisation.
Veuillez agréez, Madame, Monsieur, mes salutations très amicales.
Nicolas Bieliavsky, Président. Liens :
Rapport d’activité du Conseil d’administration du 17 mai 2016 ;
Fête des frères Cyrille et Méthode et Concert « Rossa i Nota » ce 24 mai 2016 au Centre culturel ;
Revue FPPR n°5 (2016). Présidence : Nicolas Bieliavsky | courriel : nbieliavsky at skynet dot be | tél. : +32 (0)60 39 10 27 Secrétariat : André Schorochoff | courriel : a.schoro at skynet dot be | tél. : +32 (0)2 384 37 40 |
|
|
| 92) |
le mardi 17 mai 2016 à 10 heures
|
Catégorie : Association |
Type : Réunion |
Club Prince Albert, salle « Madou C », rue des Petits Carmes 20, 1000 Bruxelles.
Réunion du comité d'administration FPPR. Собрание комитета ФСРН.
FPPR logo |
Nicolas Bieliavsky, Président — André Schorochoff, Secrétaire Fondation pour la Préservation du Patrimoine Russe dans l'Union Européenne — Фонд Сохранения Русского Наследия в Европейском Союзе. Le Président M. Nicolas Bieliavsky vous invite le 17 mai 2016 à 10.00 heures, à participer au Conseil d'administration qui se tiendra en la salle « Madou C » du Club Prince Albert, 20 rue des Petits Carmes, 1000 Bruxelles*
L’ordre du jour est le suivant :
Approbation du Procès-verbal du CA du 11 02 2016 ; Rapport d'activité 2015 ; Bilan financier 2015 ; Proposition de plan 2016/2017 ; Budget 2016 ; Renouvellement des mandats d'administrateurs ; Divers (à proposer avant le 5 mai 2016). La durée de la réunion est estimée à deux heures.
Un déjeuner au restaurant est prévu pour nous permettre de poursuivre, éventuellement à table, nos délibérations. Le prix est de 22.00 € vin compris. Une réservation est indispensable. Veuillez confirmer votre présence pour le déjeuner avant le 5 mai 2016.
*Merci de confirmer votre présence à A. Schorochoff par courriel ou par tel au N° 0477 417 511
Сайт/Site : http://www.e-federations.com/
|
|
| 93) |
le dimanche 1 mai 2016
|
|
|
Mai 2016 : calendrier d'événements relatifs à la culture russe.
Mailing 2016. Evénements à caractère culturel russe.Mai 2016. Evénements à caractère culturel russe. Lien pour visualiser ce courriel dans votre navigateur : Mail/RC_Mailing_May_01,_2016.html |  |
Nous avons relevé un large éventail d'activités pour ces prochains mois. En fait, c'est l'embarras du choix au programme : le « Rendez-vous avec la Russie », cérémonie commémorative à Liège, pélerinage à Mourmelon (France), séminaires, excursions aux Pays-Bas et en Allemagne, expositions, divertissements sociaux, spectacles et concerts (classiques, folkloriques), réunions d'associations (CCBLR, FPPR), projets de bienfaisance (Pouchkine), conférences, théâtre de marionnettes, vente d'art russe et autres. Une simple consultation du calendrier vava.be en donne un album d'affiches complet ainsi que des descriptions détaillées cherchables. Note : Cette année la fête de la Pâque orthodoxe (Paskha) coïncide avec celle du travail et du prinptemps (Pervomaï) aussi beaucoup vont plutôt célébrer « Pâques » en famille autour de tables bien garnies d'œufs, de coulitchs et de paskha préalablement bénis lors du Saint office de minuit. Une telle célébration exceptionnellement tardive de « Pâques » en symbiose avec la « Journée internationale de solidarité des travailleurs » ne se reproduira qu'en 2089! Que de chemin social parcouru si l'on garde en souvenir la référence épistolaire de ma grand-mère à une telle double célébration (Двойное торжество) dans le dénuement le plus complet à Orel au siècle dernier en 1932. |  |
|
|
Mars 2016 : calendrier d'événements relatifs à la culture russe.
Mars 2016. Evénements à caractère culturel russe.Mars 2016. Evénements à caractère culturel russe.Lien pour visualiser ce courriel dans votre navigateur : Mail/RC_Mailing_March_01,_2016.html Gala « Patrimoine Russe » au Château du Lac à Genval (Belgique) |
Cliquez sur la liste tabulée ci-dessous pour faire apparaître la liste des liens vers les notices descriptives des événements déjà annoncés pour ce mois de mars 2016. Et nous en espérons bien davantage, étant donné que beaucoup d'annonces s'ajoutent régulièrement en cours de mois. Retenez aussi les dates d' avril ainsi que les invitations semi-privés tels que les « Rondes Musicales » diffusées aux amis des réseaux sociaux. | 1 | du 16-01 au 25-06 | Calendrier Slavianka | Liège | | 2 | du 21-01 au 02-03 | Sacha Drutskoy at a threshold. Travaux sur papier | Ixelles | | 3 | du 27-02 au 02-03 | « Chagall Malevich » film de A. Mitta | Bruxelles | | 4 | du 27-02 au 25-03 | Масло, графика, цветная печать, видеоискуство | Francfort | | 5 | le mardi 1 | Isoler la Russie de Poutine : pour quoi faire? | Woluwé-Saint-Lambert | | 6 | le jeudi 3 | Bon Voyage, Dimitri! | Liège | | 7 | le samedi 5 | Vesna en concert. Un printemps russe | Liège | | 8 | le dimanche 6 | Концерт для Вас, прекрасных дам | Darmstadt | | 9 | mar. 8/ven. 11 | Акустика. Эксклюзивный концерт года! | Antwerpen/Amsterdam | | 10 | le vendredi 11 | Gala « Patrimoine Russe ». Торжественный вечер « Русское Наследие » | Genval | | 11 | le samedi 12 | Mеждународный женский день. Русский вечер для милых дам! | Lochristi | | 12 | le samedi 12 | Blinis. Широкая Масленица | Saint-Josse-ten-Noode | | 13 | le dimanche 13 | Весенний бал | Saint-Gilles ? | | 14 | le mercredi 16 | Blinis. Долгожданная! Ух, ты! Масленица! | Francfort | | 15 | le vendredi 18 | Vente de Souvenirs Historiques | Cannes | | 16 | le samedi 19 | Olga Bobrovnikova charity piano concert | Saint-Josse | | 17 | le lundi 21 | Réunion du comité d'administration FPPR | Bruxelles | | 18 | du 26-03 au 02-10 | Exposition Marc Chagall. Des rêves aux souvenirs | Floreffe | | 19 | du 28-03 au 01-04 | Развиваюший танцевальный лагерь для детей от 5 лет | Bruxelles | | 20 | le mercredi 30 | Le lac des cygnes | Namur |
|
|
|
| 95) |
le jeudi 11 février 2016 à 19 heures 30'
|
Catégorie : Histoire |
Type : Conférence |
Club Prince Albert (salle Madoux), rue des Petits Carmes 20, 1000 Bruxelles
Répine et les haleurs de la Volga.
Répine et les haleurs de la Volga. |
par Frédéric de Grave FPPR - Fondation pour la Préservation du Patrimoine Russe en Union Européenne Madame, Monsieur, J’ai l’honneur de vous inviter à la conférence donnée par Monsieur Frédéric de Grave en collaboration avec Madame Olga Demine. Monsieur Frédéric de Grave a été traducteur à l’Union Européenne. Il est diplômé de l’INALCO (Institut des Langues et civilisations orientales), à Paris. Au cours de sa carrière, il a eu l’occasion d’approfondir ses connaissances de la langue et de la culture de deux vastes espaces géographiques, la Russie et le Monde arabe. La conférence sera suivie d’une session de questions-réponses et clôturée par un verre de l’amitié dans le Bar Rotonde, où l’auteur dédicacera son livre. Veuillez agréer, Madame, Monsieur, mes salutations très amicales. Nicolas Bieliavsky, Président
L’entrée est fixée à 5.00€ pour les membres et les étudiants, 10€ pour les non membres. Les réservations peuvent se faire par paiement au compte bancaire de la FPPR : ING 310-1446138-51 ou IBAN : BE75310144613851 BIC : BBRUBEBB Le paiement sur place est possible également; néanmoins, il est vivement conseillé de réserver les places, par courriel : a.schoro at skynet dot be le nombre étant limité.
|
|
| 96) |
le mercredi 10 février 2016
|
|
|
Mise à jour => février 2016. Evénements à caractère culturel russe.
Mise à jour => février 2016. Evénements à caractère culturel russe. | En début de ce mois, nous ne Vous annoncions que quelques événements, beaucoup se sont ajoutés entre-temps ou sont passés inaperçus. C'est la raison de de la présente mise à jour : Ce jeudi à Bruxelles le choix entre : la conférence FPPR « Répine et les haleurs de la Volga » oula soirée de « Musique Slave Voix & Piano ». Ensuite la liste des annonces dédiées et dont les liens sont à retouver dans le site du calendrier : http://www.vava.be
| 12/2 | Кастинг и открытый урок для кино-теле-медиа-академии | Francfort | | 12/2 | Музыкальные Метаморфозы. Métamorphoses musicales | Bruxelles | | 13,20,27/2 | Cours de prise de parole en public | Saint-Josse | | 13/2 | La poésie d'amour entre la Belgique, la Russie et la Chine | Liège | | 13/2 | День Валентина для взрослых | Francfort | | 16/2 | Вечер, посвящённый « Дню настоящих мужчин » | Francfort | | 18,19,20/2 | Boek voorstelling : « Gelukkig in de Sovjet-Unie » | Zwevegem/Kortrijk/Antwerpen | | 19/2 | 47ème bal russe Vitiaz. Russisch bal Vitiaz. Русский бал Витязей | Etterbeek | | 19/2 | Chants et danses de la mort de Moussorgski | Bruxelles | | 19/2 | Het russische Verre Oosten | Antwerpen | | 19/2 | Les soirées de l'Orchestre : L'Oiseau de feu | Liège | | 19-20/2 | Merveilles de la Voix et du Piano | Koekelberg | | 21/2 | L'étonnant voyage de Catherine II, la Grande | Liège | | 21/2 | Stage de danses des Balkans | Liège | | 21-23/2 | Stage de théâtre, traditions du théâtre russe | Saint-Josse | | 23/2 | Nieuwjaarsreceptie van de VLKVK | Antwerpen | | 27/2 | Petrouchka | Liège | | 28/2 | Les samedis en famille : Petrouchka | Liège |
A vos agendas : 11 événements sont déjà annoncés pour le mois de mars 2016. N'oubliez d'y relever ce qui vous intéresse.
Bibliographie : Ukraine : le royaume de la désinformation par Laurent BrayardLa Russie de Poutine par Ivan BlotRousski dom. lg | La Maison Russe. Liège par Olga Gritskevitch, Ida Detilleux, Anastasia Kaskevich et Irina Snytko |
|
|
| 97) |
le mercredi 23 décembre 2015
|
|
|
Meilleurs vœux de bonne et heureuse Année 2016
European Federations for Russian emigration in EU

|
Fondation pour la Préservation du Patrimoine Russe dans l'Union Européenne
Stichting voor de Bewaring van het Russische Erfgoed in de Europese Unie
Foundation for the Preservation of the Russian Heritage in the European Union
Фонд Сохранения Русского Наследия в Европейском Союзе
|
2 0 1 6
 De Voorzitter en de leden van de Raad van bestuur wensen u een gelukkig Nieuwjaar.
The President and the members of the Board of Directors wish you a very happy New Year. |
| Siège social : avenue E. Parmentierlaan, 48 - 1150 Bruxelles
Présidence : Nicolas Bieliavsky | courriel : nbieliavsky at skynet dot be | tél. : +32 (0)60 39 10 27
Secrétariat : André Schorochoff | courriel : a.schoro at skynet dot be | tél. : +32 (0)2 384 37 40
Banque : ING 310-1446138-51 (IBAN: BE75310144613851 BIC: BBRUBEBB)
Liens : site FPPR | Revue FPPR
|
|
|
|
| 98) |
le jeudi 29 octobre 2015 à 19 heures 30'
|
Catégorie : Histoire |
Type : Conférence |
Club Prince Albert (salle Egmont), 20, Rue des Petits Carmes, 1000 Bruxelles
Conférence : Catherine la Grande, le charme et la fermeté.
Affiche conférence Sacha Korsak |
par Sacha Korsak, guide-conférencier J’ai l’honneur de vous inviter à la conférence d’ouverture du cycle 2015/2016 consacrés à l’histoire de la Russie.
Sophie Anhalt Zerbst est née à Stettin en Prusse le 21 avril 1729, dans une famille de petite noblesse. La Cour de Russie, sous le règne d’Elisabeth I, la convoque à l’âge de 14 ans, en vue de procéder à un mariage impériale. Pierre, le neveu d’Elisabeth est pressenti comme futur successeur au Trône. A Moscou, Sophie est rebaptisée Catherine. Très malheureuse au Palais de Saint-Petersbourg, elle se rend compte que son mari la déteste. A la mort d’Elisabeth, Catherine réussit à prendre la pouvoir que possédait son mari depuis un an. Elle est couronnée Catherine II de Russie en 1762 et régnera jusqu’en 1796. Considéré comme un grand règne, Catherine sut manier la carotte et le bâton, le chaud et le froid, le meilleur et le pire, le charme et la fermeté, et c’est là son œuvre.
Rien ne laissait présager que Sophie Anhalt-Zerbst, devienne la Tsarine Catherine II la Grande et eusse un des règnes les plus bénéfique pour la Russie. Né à Stettin en Poméranie dans une famille de noblesse terrienne, elle reçoit une instruction à la française. A 13 ans, ses parents reçoivent une lettre de la cour de Russie proposant à Sophie de se rendre à Saint Petersbourg. Quelques mois plus tard la future Tsarine se met en voyage pour rencontrer Pierre, le prince héritier et futur successeur d’ Elisabetha Petrovna, actuelle Tsarine de toutes les Russies. Cette rencontre aura bien lieu, mais Pierre déclare qu’il n’aime pas la princesse allemande et qu’il en préfère une autre. Cependant Sophie accepte son triste sort et décide de faire tout pour plaire à son entourage et surtout à la Tsarine. Elle se convertit à l’orthodoxie, apprend le russe et s’intéresse aux affaires de l’Etat. Son assiduité est récompensée, l’Eglise lui choisit un nouveau prénom : Catherine sera son nom et malgré le peu de liens existant entre les deux fiancés, le mariage sera célébré le 21 août 1745. La lutte devient très serrée entre Pierre et Catherine. L’heure de vérité est là lorsque Elisabeth I décède en 1761. C’est Pierre le mal-aimé qui règnera sous le nom de Pierre III. Les intrigues au Palais sont nombreuses et Pierre se rend de plus en plus impopulaires en insultant et en battant son épouse. Il ne faudra pas attendre un an pour que Pierre III soit renversé et enfermé à la prison de Shlusselbourg. Catherine va être plébiscitée comme Tsarine sous le nom de Catherine II. Un long règne commence. Son amant, le prince Orloff règle définitivement le sort de Pierre III en le tuant dans une rixe. Catherine se met à travailler comme Pierre le Grand le fit, c’est-à-dire jour et nuit. Elle a de nombreux contacts avec les Encyclopédistes français, D’Alembert, Diderot. Elle a une correspondance soutenue avec Voltaire qui la trouve extraordinaire et pleine de talent pour remplir sa nouvelle mission. La Russie n’est pas en paix et doit rentrer en conflit avec la Turquie qui convoite l’hégémonie sur la Mer Noire. C’est la guerre menée par Potemkine et Orloff. C’est la victoire et la Turquie perd de vastes territoires. Entre-temps Orloff est remercié et Potemkine devient l’amant officiel de Catherine. La Tsarine participe au démembrement de la Pologne. En trois partages successifs, il ne restera plus rien du malheureux pays. Catherine a dû faire face à de nombreuses insurrections dont celle de Pougatchev, qui s’est fait passer pour son mari, le défunt Pierre III. Vaincu, celui-ci fut décapité à Moscou sur la Place Rouge. Le 6 novembre 1796, Catherine II s’éteint en laissant comme héritier son fils Paul.
La conférence sera suivie d’une session de questions-réponses et clôturée par un verre de l’amitié.
L’entrée est fixée à 5 € pour les membres et les étudiants, 10 € pour les non membres. Les réservations peuvent se faire par paiement au compte de la FPPR : Banque: ING 310-1446138-51 (IBAN: BE75310144613851 BIC: BBRUBEBB) ; Le paiement sur place est possible. Néanmoins, il est vivement conseillé de réserver les places, le nombre étant limité. Veuillez agréez, Madame, Monsieur, mes salutations très amicales. Nicolas Bieliavsky, Président
Сайт/Site : http://www.e-federations.com
|
|
| 99) |
le samedi 10 octobre 2015
|
|
|
Conférence : Catherine la Grande, le charme et la fermeté, par Sacha Korsak.
European Federations for Russian emigration in EU
|
Fondation pour la Préservation du Patrimoine Russe dans l'Union Européenne Stichting voor de Bewaring van het Russische Erfgoed in de Europese Unie Фонд Сохранения Русского Наследия в Европейском Союзе ASBL - VZW |
|
Affiche conférence Sacha Korsak |
J’ai l’honneur de vous inviter à la conférence d’ouverture du cycle 2015/2016 consacrés à l’histoire de la Russie. le jeudi 29 octobre 2015 à 19hr 30dans la salle Egmont du Club Prince Albert, 20, Rue des Petits Carmes, 1000 Bruxelles. Catherine la Grande, le charme et la fermeté Rien ne laissait présager que Sophie Anhalt-Zerbst, devienne la Tsarine Catherine II la Grande et qu’elle eût un des règnes les plus bénéfiques pour la Russie. La Cour de Russie, sous le règne d’Elisabeth I, la convoque à l’âge de 14 ans, en vue de procéder à un mariage impérial. Très malheureuse au Palais de Saint Pétersbourg, elle se rend compte que son mari la déteste.
A la mort d’Elisabeth, Catherine réussit à prendre le pouvoir que possédait son mari depuis un an.
Elle est couronnée Catherine II de Russie en 1762 et régnera jusqu’en 1796. Catherine sut manier la carotte et le bâton, le chaud et le froid, le meilleur et le pire, le charme et la fermeté, et c’est là son œuvre.
La conférence sera suivie d’une session de questions-réponses et clôturée par un verre de l’amitié.
L’entrée est fixée à 5 € pour les membres et les étudiants, 10 € pour les non membres. Les réservations peuvent se faire par paiement au compte de la FPPR : Banque: ING 310-1446138-51 (IBAN: BE75310144613851 BIC: BBRUBEBB) ;
Le paiement sur place est possible. Néanmoins, il est vivement conseillé de réserver les places, le nombre étant limité. Veuillez agréez, Madame, Monsieur, mes salutations très amicales.
Nicolas Bieliavsky, Président
Présidence : Nicolas Bieliavsky | e-mail : nbieliavsky at skynet dot be | tél. : +32 (0)60 39 10 27 Secrétariat : André Schorochoff | e-mail : a.schoro at skynet dot be | tél. : +32 (0)2 384 37 40
|
|
| 100) |
le mardi 16 juin 2015 à 10 heures
|
Catégorie : Rapport d'activités |
Type : Associations |
Club Prince Albert, (Salle Egmont), rue des Petits Carmes 20, Salle « Egmont », 1000 Bruxelles.
Assemblée Générale FPPR.
FPPR logo |
présidée par Nicolas Bieliavsky Président du Conseil d’Administration de la Fondation pour la Préservation du Patrimoine russe en Union Européenne Au programme : - 10 heures => accueil des participants ;
- 10 heures 30' => assemblée générale statutaire ;
- 12 heures => cocktail au bar du Club ;
- 12 heures 30' => déjeuner au restaurant « Carmélites » du Club Prince Albert.
A l’ordre du jour : - discours d’accueil de Nicolas Bieliavsky, président du conseil d’administration ;
- approbation du procès-verbal de l’assemblée générale statutaire du 20 juin 2014 ;
- discussion et approbation du rapport d’activité et des comptes 2014 ;
- décharge des administrateurs en fonction ;
- renouvellement des mandats des administrateurs et du vérificateur aux comptes ;
- présentation, discussion et vote du plan et du budget 2015.
Participation facultative au déjeuner : 25 € (réservation par paiement anticipé avant le 9 juin 2015). Attention : le nombre de couverts réservé est limité à 32 ; les inscriptions seront confirmées dans l’ordre des payements reçus sur le compte de la Fondation. Assemblée générale ouverte aux membres et droit de vote réservé aux membres en règle de cotisation annuelle (40 €) Banque : ING 310-1446138-51 (IBAN: BE75310144613851 BIC: BBRUBEBB)
Сайт/Site : http://www.e-federations.com
|
|
| 101) |
le lundi 8 juin 2015 à 20 heures
|
Catégorie : Concert |
Type : Musique |
Ecole des Arts, rue du Château 49, 1420 Braine l’Alleud
Nathalie Bourmeister, pianiste et Victoria Lepko poétesse. Concert exceptionnel.
 Nathalie Bourmeister, pianiste et Victoria Lepko poétesse |
Dans le cadre de la commémoration du 175ème anniversaire de la naissance Piotr Ilitch Tchaïkovsky, la Fondation pour la Préservation du Patrimoine Russe dans l’Union européenne ( FPPR), en collaboration avec L’ « Ecole de Musique Tchaïkovsky » & L’asbl les « Mercredi de la Musique » vous invite à rencontrer deux artistes russes liées à la famille du compositeur Nathalie Bourmeister, pianiste et Victoria Lepko poétesse. Le spectacle débutera par un diaporama musical sur les origines de la famille Tchaïkovsky et une prestation d’élèves de l’Ecole de Musique Tchaïkovsky. En deuxième partie Nathalie jouera une sélection des œuvres du compositeur et Victoria présentera ses poésies. Le spectacle sera suivi d’un verre de l’amitié offert parla maison WINFIN le spécialiste des vins de terroir de Braine l’Alleud.
L’entrée est gratuite mais vu le nombre limité de places une réservation est obligatoire, seules les personnes ayant réservés auront accès au spectacle. Réservations par courriel : francoise.debrauwer at braine-lalleud dot be ou par téléphone au 02 389 48 88
Сайт/Site : http://www.e-federations.com
|
|
| 102) |
le lundi 1 juin 2015
|
|
|
Juin 2015 : calendrier d'événements relatifs à la culture russe.
Juin 2015 : Evénements à caractère culturel russe. Nathalie Bourmeister et Victoria Lepko à Braine l'Alleud [2009] |
Les vacances approchent, et il est temps de penser aux camps d'été : il y a celui des Vitiaz à Laffley en France et celui de Saturne en Belgique. Puis pour les adultes, c'est le Circuit culturel aux Pays Baltes accompagné par Sacha et Macha Pouchkine qui peut encore séduire bien des participants. Dans le cadre du 175ème anniversaire de la naissance de Piotr Tchaïkovsky, Nathalie Bourmeister, pianiste et Victoria Lepko poétesse offrent un Concert-Récital exceptionnel à l'Ecole des Arts de Braine l'Alleud. Signalons aussi que l'auteur de notre fond de page, Boris Mestchersky ouvre ces week-ends de juin, son atelier au public à Huy, que Yana Cozari vient de poster son reportage vidéo de la soirée de bienfaisance du fonds « Жизнь как чудо » et que la FPPR tient son assemblée générale le 16 juin au Club Albert.
A nouveau pour n'oublier personne, nous vous invitons bien évidement à parcourir soigneusement la LISTE, l'album des AFFICHES, les NOTICES complètes ainsi que le nouveau livre sur Nicolas II.
|
|
| 103) |
le jeudi 2 avril 2015 à 19 heures
|
Catégorie : Conférence |
|
|
Auditorium du Musée Grand Curtius, rue En Féronstrée 118, 4000 Liège
Maîtres et Serviteurs. La science historique.
 « Poésie et déracinement » |
par Frédéric Beck et Nicolas Bieliavsky Les séminaires de la culture SLAWA Frédéric Beck, bibliothécaire. Cette conférence portera sur le thème de l'enracinement chez Ivan Gontcharov (Oblomov) et Léon Tolstoï tout au long du parcours de leurs œuvres respectives. Nicolas Bieliavsky. - Docteur en Sciences Biologiques (de l'Université de Bruxelles) ; - Ancien chercheur au Fonds National de la Recherche Scientifique (FNRS) ; - Ancien Professeur à l'Institut Supérieur Paramédical de la Ville de Bruxelles ; - Doctorant à la Sorbonne (en Histoire de Russie). Fonctions actuelles - Domaine actuel de recherche scientifique : « La Résistance antiallemande des Russes Blancs immigrés en Belgique (Partisans Russes) pendant la 2e Guerre Mondiale. » ; - Président de la Fondation de la Préservation du Patrimoine Russe en Union Européenne (FPPR) ; - Président de l'Association de la Noblesse d'Origine Russe en Belgique (ANORB) ; - Administrateur de la Société Royale des Amis du Musée de l'Armée (SRAMA) et chef du groupe de travail « Archives Russes » .
Entrée libre
En tournée :
|
4000 Liège
| jeudi
6
novembre 2014 |
à 18 heures 30'
|
|
4000 Liège
| jeudi
8
janvier 2015 |
à 18 heures 30'
|
|
4000 Liège
| jeudi
5
février 2015 |
à 18 heures 30'
|
|
4000 Liège
| jeudi
2
avril 2015 |
à 19 heures
|
|
4000 Liège
| mardi
12
mai 2015 |
à 19 heures
|
|
|
| 104) |
le mercredi 1 avril 2015
|
|
|
Avril 2015 : calendrier d'événements relatifs à la culture russe.
Avril 2015 : Evénements à caractère culturel russe et ХРИСТОС ВОСКРЕСЕ. ХРИСТОС ВОСКРЕСЕ - 1935 |
|
Nous avons le plaisir de vous communiquer les 22 annonces d'événements déjà prévus pour ce mois d'avril 2015. Rappelons que ces événements peuvent se lister sous différentes formes : liste, album des affiches ou les notices complètes. Cette année, la Pâque orthodoxe sera célébrée le dimanche 12 avril 2015. soit une une semaine après la Pâque occidentale. Rien d'annoncé à ce sujet, si ce n'est que notre chef de cœur Pierre Rosniansky en assurerait une transmission en direct depuis la Cathédrale russe orthodoxe de Genève via la Radio Suisse Romande. Rendez-vous donc à vos paroisses habituelles s'il en est pour y assister à l'office divin et y recevoir bénédiction pascale de vos koulitch, paskha et autres œufs de Pâques. Notes : Ce mois de mars écoulé a été bien fertile en événements. Parmi les 50, nous avons apprécié les Blinis, les Rondes musicales ainsi que la soirée de bienfaisance « Act for Good ».A vous de suivre les nouvelles annonces en cours de mois d'avril, et faire des choix tout aussi intéressants.Sortie de l'oubli, suite aux stages d'étudiantes en slavistique ULB, l'illustration éditoriale « ХРИСТОС ВОСКРЕСЕ - 1935 » reprend les vœux de Joyeuses Pâques d'une mère restée au pays à son fils en exilé en Belgique. La FPPR - Fondation pour la Préservation du Patrimoine Russe dans l'UE, rassemble et répertorie les archives de l'émigration dite « blanche ».
|
|
| 105) |
le jeudi 8 janvier 2015
|
Catégorie : Conférence |
|
|
Auditorium du Musée Grand Curtius, rue En Féronstrée 118, 4000 Liège
A N N U L É <= Cyrille et Méthode ou quelles frontières pour les slaves dans l'Europe unie et plurielle?
 « Poésie et déracinement » |
par Pierre Rosniansky Les séminaires de la culture SLAWA La culture slave peut-elle être considérée comme un « tout » malgré ses multiples facettes et ses variantes ? Quelle est sa place dans l'Europe d'aujourd'hui ? Pierre Rosniansky, membre de la FPPR - Fondation pour la Préservation du Patromoine Russe dans l'Union Européenne, vous propose un regard historique et philosophique sur quelques unes de ces questions.
Attention : cette conférence est reportée à une date ultérieure.
Entrée libre
En tournée :
|
4000 Liège
| jeudi
6
novembre 2014 |
à 18 heures 30'
|
|
4000 Liège
| jeudi
8
janvier 2015 |
à 18 heures 30'
|
|
4000 Liège
| jeudi
5
février 2015 |
à 18 heures 30'
|
|
4000 Liège
| jeudi
2
avril 2015 |
à 19 heures
|
|
4000 Liège
| mardi
12
mai 2015 |
à 19 heures
|
|
|
| 106) |
le jeudi 11 décembre 2014 à 15 et à 20 heures
|
Catégorie : Cœur cosaque |
Type : Spectacle |
Église du Collège Saint-Michel, boulevard Saint-Michel 24, 1040 Bruxelles (Etterbeek)
Noël cosaque : les grandes voix cosaques du Kouban.
 Les grandes voix cosaques du Kouban |
Le jeudi 11 décembre à 15h et à 20h, nous organisons un grand concert Noël cosaque avec le célèbre ensemble Kouban. Cela se déroulera en l'église du collège Saint-Michel.( Etterbeek).
Quelques mot sur l'ensemble Kouban : L’ensemble Kouban est dirigé par Mr Andreï KIKENA, ténor, formé au conservatoire national de Kiev, ancien chef de Chœurs de l’Armée rouge et directeur des Chœurs de l’Opéra de l’Académie Nationale de Musique de Kiev.
KOUBAN est un groupe de renommée internationale qui se produit dans les cathédrales et églises de France, Grande-Bretagne, U.S.A. et Suisse. C’est un ensemble contemporain, puisant son inspiration aux sources mêmes de la tradition, réunissant les plus belles voix issues d’opéras prestigieux, tels Saint-Pétersbourg, Moscou ou Kiev.
Le public aura l’occasion d’entendre des chants liturgiques interprétés en russe puis en ukrainien, exécutés à capella, mettant en valeur les performances exceptionnelles des puissantes voix masculines, transportant leur public dans l’ambiance des grands monastères de l’Ukraine ou de la région de Novgorod. En deuxième partie du concert, ils présenteront des chants populaires célèbres cosaques et russes. Après le concert, un verre de l’amitié sera offert au public en présence des artistes.
Pour les membres et amis de l'association de FPPR, une réduction de 25% est offerte soit 15 euro au lieu de 20 euro Que du plaisir pour le public. En espérant vous voir nombreux à cet événement. Veuillez agréer, Madame, Monsieur, mes salutations distinguées. Renseignements : Tel: 0477 39 11 00 (Paul de Briey) / courriel : transmusical21 at gmail dot com Bulletin de réservation Je réserve places x 15 euros = euros pour le concert de 15h Je réserve places x 15 euros = euros pour le concert de 20h Numéro de compte : BE63 0635 4226 6108 titulaire du compte : Baudart Communication : Noël cosaque Bruxelles 15h ou 20h / Association FPPR
|
|
| 107) |
le mardi 25 novembre 2014 à 20 heures
|
Catégorie : Chœur |
Type : Concert |
Église Sainte-Alix, Parvis Sainte-Alix, 1150 Bruxelles (Woluwé-Saint-Pierre)
Concert de chants russes.
 Concert « Rossa i Nota » © ЯША |
sous la direction de Pierre Rosniansky Bonjour à tous ! Certains le savent déjà, nous avons formé un chœur russe d'hommes dans lequel Georges Woronoff, son fils Wenceslas, Sacha Troiepolsky, Yashko et Liona Golembiovski, Ilya Stepanow, Vladimir Morozoff et moi-même nous chantons sous la direction de Pierre Rosniansky. Ce choeur donne enfin un concert à Bruxelles, ce 25 novembre à 20 h à Ste-Alix, à Woluwe-Saint-Pierre. Au programme : de nombreux chants inconnus ou méconnus des armées impériales russes et des armées russes "blanches" qui se sont battues contre les armées dites "rouges" des bolcheviks pendant la guerre civile, entre 1917 et 1921. Nous chanterons aussi quelques beaux chants orthodoxes. Notre chef de choeur quitte la Belgique le lendemain du concert, hélas. Cela veut dire que de futurs concerts seront sans doute assez rares. Pour ceux qui aimeraient nous écouter, voyez l'affiche ci-jointe. Vos amis sont évidemment aussi bienvenus ! Bien amicalement et au plaisir de vous revoir peut-être, Daniel Stevens
Contact : Pierre Rosniansky | Téléphone : 02 539 21 00 Participation : 10 €, Zakouski de bienvenue compris Prévente : 8 € par personne au compte IBAN BE53 3631 2321 0753 (FPPR) indiquant les noms des personnes; 5 € pour les membres de la Fondation pour la Préservation du Patrimoine Russe.
Сайт/Site : http://www.vava.be/RC_Events-Full.htm?IDEvent=1103
|
|
| 108) |
le mercredi 17 septembre 2014 à 19 heures
|
Catégorie : Assemblée statutaire |
Type : Associations |
Club Prince Albert, rue des Petits Carmes 20, Salle « Egmont », 1000 Bruxelles.
Assemblée statutaire FPPR.
Fédération pour la préservation du patrimoine russe en Union européenne Assemblée élargie : bienvenue aux invités.
Prière de notifier votre intérêt à participer au secrétariat. André Schorochoff | e-mail : a.schoro at skynet dot be | tél. : +32 (0)2 384 37 40
Сайт/Site : http://www.e-federations.com/
|
|
| 109) |
le mardi 1 juillet 2014
|
|
|
Juillet/août 2014 : Calendrier d'événements relatifs à la culture russe.
Juillet/août 2014 : Calendrier d'événements relatifs à la culture russe.En cette période d'été, ce billet s'étend sur deux mois tout comme les camps de vacances « Saturne » dans les Ardennes belges et des « Vitiaz » à Laffrey en France. Encore ce jeudi 3 juillet 2014 : « Un cri de l'Intime », une exposition à ne pas manquer en hommage à Léopold Ryelandt. Puis ce 5 juillet une excursion aux Pays-Bas ou bien une visite en individuel au club des bardes « Республика Шкид » établi à Francfort-sur-le-Main. Alors que le stage Zumba pour enfants se termine, Aleksandra Ivanova nous invite à son séminaire maîtrise du théâtre. Suivent les concerts de Lubov Barsky (piano) le 10 juillet et Tigran Maytesian (violon) le 13 juillet en l'Eglise des Minimes à Bruxelles. Le mois d'août nous annonce déjà un concert « l'âme russe » au festival Ars in Cathedrali à Bruxelles et une prestation du Chœur de Saint-Pétersbourg à Villers-la-Ville. Notes : Ianina Cozari de Radio-RuBel vous invite à voir son petit vidéo-reportage-souvenir de la conférence donnée par Marie-Pierre Rey ce 27 juin dernier à la tribune de la FPPR au Musée Royal de l'Armée à Bruxelles.consultez et re-diffusez ce calendrier, car les événements s'ajoutent au fur et à mesure de leurs enregistrements sans pour autant qu'une diffusion-courriel leurs soit dédiée.
|
|
| 110) |
le vendredi 27 juin 2014 à 10 heures 30'
|
Catégorie : Conférence |
Type : Histoire |
Musée Royal de l’Armée et de l’Histoire Militaire, Salle 14/18, Parc du Cinquantenaire 3, 1000 Bruxelles. (Entrée par la porte principale du Musée.)
Conférence : 1814. Un Tsar à Paris. Царь в Париже.
 1814 : Un Tsar à Paris | |  1814 : Царь в Париже |
par Marie-Pierre Rey. Professeur d’histoire russe à l’Université Paris I-Sorbonne Sous l'égide du Musée de l’Armée et de l’Histoire Militaire, la Fondation pour la Préservation du Patrimoine Russe en U.E. en collaboration avec :
La Société Royale des Amis du Musée de l’Armée ; La Société Royale Belge d’Etudes Napoléoniennes ; L'Association de la Noblesse d’Origine Russe en Belgique. a le plaisir de vous inviter le vendredi 27 juin 2014 à 10 heures 30' à la Conférence intitulée « 1814 : Un Tsar à Paris » et donnée en français par Marie-Pierre Rey, Professeur d'Histoire russe et soviétique à la Sorbonne.
Под эгидой Музея Армии и Военной Истории, Фонд Сохранения Русского Наследия в Бельгии, совместно с : Королевским Обществом Друзей Музея Армии ; Королевским Бельгийским Обществом Изучения Времён Наполеона ; Ассоциации Русского Дворянства Русского в Бельгии. Имеет честь пригласить вас в пятницу 27 июня 2014 года в 10:30 на Лекцию Профессора русской и советской истории в Сорбонне Marie-Pierre Rey, Автор представит на французском языке оригинальную диссертацию на тему : « 1814 : Un Tsar à Paris / 1814 : Царь в Париже »
Le Tsar Alexandre 1er emmène son armée à la poursuite de Napoléon à travers l’Europe et fait une entrée triomphale à Paris le 31 mars 1814. En s’appuyant sur de très nombreuses sources, tant françaises que russes, Marie-Pierre REY, professeur d’histoire russe et soviétique à l’université Paris-1 Panthéon-Sorbonne, fait toute la lumière sur cet épisode et sur le rôle clé d’Alexandre 1er, défenseur du libéralisme européen et du respect des libertés individuelles. A côté du Tsar entrant dans Paris, chevauche le jeune Prince Léopold Saxe-Cobourg-Saalfeld, futur roi des belges.
Une PAF de 5 € sera perçue à l’entrée, elle est gratuite pour les membres en règle de cotisation FPPR. Стоимость входа на лекцию 5 € (бесплатно для членов ФСРН)
Сайт/Site : http://www.vava.be/RC_Events-Full.htm?IDevent=1862
|
|
| 111) |
le vendredi 20 juin 2014
|
|
|
Le 27 juin 2014 à 10 heures 30' au Musée de l'Armée : Conférence 1814, un Tsar à Paris par M.-P. Rey
1814, un tsar à Paris. 1814. L'année où les Russes ont fait l'histoire de FranceLe vendredi 27 juin 2014 à 10 heures 30' Conférence intitulée « 1814 : Un Tsar à Paris » donnée en français par Marie-Pierre Rey, Professeur d'Histoire russe et soviétique à la Sorbonne. au Musée Royal de l’Armée et de l’Histoire Militaire, Salle 14/18, Parc du Cinquantenaire 3, 1000 Bruxelles. (Entrée par la porte principale du Musée.) Sous l'égide du Musée de l’Armée et de l’Histoire Militaire, la Fondation pour la Préservation du Patrimoine Russe en U.E. en collaboration avec :La Société Royale des Amis du Musée de l’Armée ;La Société Royale Belge d’Etudes Napoléoniennes ;L'Association de la Noblesse d’Origine Russe en Belgique. В пятницу 27 июня 2014 года в 10 часов 30' Лекция « 1814 : Царь в Париже » Лекция Профессора русской и советской истории в Сорбонне Marie-Pierre Rey. Автор представит на французском языке оригинальную диссертацию на тему : « 1814 : Un Tsar à Paris / 1814 : Царь в Париже » Под эгидой Музея Армии и Военной Истории, Фонд Сохранения Русского Наследия в Бельгии, совместно с :Королевским Обществом Друзей Музея Армии ;Королевским Бельгийским Обществом Изучения Времён Наполеона ;Ассоциации Русского Дворянства Русского в Бельгии. Le Tsar Alexandre 1er emmène son armée à la poursuite de Napoléon à travers l’Europe et fait une entrée triomphale à Paris le 31 mars 1814. En s’appuyant sur de très nombreuses sources, tant françaises que russes, Marie-Pierre REY, professeur d’histoire russe et soviétique à l’université Paris-1 Panthéon-Sorbonne, fait toute la lumière sur cet épisode et sur le rôle clé d’Alexandre 1er, défenseur du libéralisme européen et du respect des libertés individuelles. A côté du Tsar entrant dans Paris, chevauche le jeune Prince Léopold Saxe-Cobourg-Saalfeld, futur roi des belges. Une PAF de 5 € sera perçue à l’entrée, elle est gratuite pour les membres en règle de cotisation FPPR. Стоимость входа на лекцию 5 € (бесплатно для членов ФСРН)
|
|
| 112) |
le mercredi 11 juin 2014 à 11 heures
|
Catégorie : Rapport d'activités |
Type : Associations |
Club Prince Albert, rue des Petits Carmes 20, Salle « Egmont », 1000 Bruxelles.
Assemblée Générale FPPR.
présidée par Nicolas Bieliavsky Président du Conseil d’Administration de la Fondation pour la Préservation du Patrimoine russe en Union Européenne Au programme : - 10 heures => accueil des participants ;
- 10 heures 30' => assemblée générale statutaire ;
- 11 heures 30' => aubade donnée par l'ensemble vocal « Rossa i Nota » sous la direction de Pierre Rosniansky ;
- 12 heures => cocktail au bar du Club ;
- 12 heures 30' => déjeuner au restaurant « Carmélites » du Club Prince Albert.
A l’ordre du jour : - discours d’accueil de Nicolas Bieliavsky, président du conseil d’administration ;
- approbation du procès-verbal de l’assemblée générale statutaire du 20 juin 2013 ;
- discussion et approbation du rapport d’activité et des comptes 2013 ;
- décharge des administrateurs en fonction ;
- renouvellement des mandats des administrateurs et du vérificateur aux comptes ;
- présentation, discussion et vote du plan et du budget 2014 ;
- in memoriam Prince Boris Galitzine.
Participation facultative au déjeuner : 20 € (réservation par paiement anticipé avant le 9 juin 2014). Attention : le nombre de couverts réservé est limité à 32 ; les inscriptions seront confirmées dans l’ordre des payements reçus sur le compte de la Fondation. Assemblée générale ouverte aux membres en règle de cotisation annuelle (40 €) Banque : ING 310-1446138-51 (IBAN: BE75310144613851 BIC: BBRUBEBB)
Сайт/Site : http://www.e-federations.com
|
|
| 113) |
le mardi 3 juin 2014
|
|
|
Juin 2014 : Calendrier d'événements relatifs à la culture russe.
Calendrier d'événements relatifs à la culture russe : juin 2014.Voici les événements et publications à caractère culturel russe de ce mois de juin tels qu'affichés aux valves du calendrier vava.be pour ce mois de juin 2014.
Relevons le pélerinage ce dimanche 8 juin 2014 à Mourmelon, l'assemblée générale de la FFFP du 11 juin 2014, ainsi que la conférence du 27 juin 2014 de Marie-Pierre Rey intitulée 1814 : un Tsar à Paris.
N'oubliez pas de consulter plus avant ce calendrier en cours de mois. Parfois l'illustration fait défaut, et ce n'est pas pour autant que l'événement manque d'intérêt ou n'a pas encore été enregistré.
| | | Lien alternatif direct vers ce billet : [ |
|
|
| 114) |
le mercredi 7 mai 2014 à 10:30' heures
|
Catégorie : Réunions |
Type : Associations |
Club Prince Albert, Salle « Madou C », rue des Petits Carmes 20, 1000 Bruxelles.
Réunion du comité d'administration FPPR. Собрание комитета ФСРН.
Nicolas Bieliavsky, Président Président du Conseil d’Administration de la Fondation pour la Préservation du Patrimoine russe en Union Européenne Ordre du jour :
préparation de l'assemblée générale du 11 juin 2014
Bienvenue en tant qu'observateurs aux membres en règle de cotisation 2014 ainsi que pour d'éventuels invités. Réservation obligatoire par courriel : nbieliavsky at skynet dot be ou téléphone au 060 39 10 27 ou 0497 27 17 41.
Сайт/Site : http://www.e-federations.com
|
|
| 115) |
le mercredi 30 avril 2014
|
|
|
Mai 2014 : Calendrier d'événements relatifs à la culture russe.
Calendrier d'événements relatifs à la culture russe : mai 2014.Voici un choix de quelques affichettes cliquables d'événements culturels figurant déjà à l'agenda du site vava.be pour ce mois de mai 2014. Mais il y en a bien davantage. Et le mois de juin n'est pas en reste! A vous de naviguer et d'y pêcher ce qui vous convient. Ainsi, cette année le jour de la victoire est commémoré le 10 mai 2014 et le rendez-vous avec la Russie pris le 18 mai 2014. Le cœur des sœurs de Minsk entame sa tournée du 11 au 20 mai 2014 et le centre culturel arménien inaugure son Carrefour de l'infini le 24 mai 2014. Enfin, il y a aussi du théâtre, des excursions, des concerts, des soirées ainsi que des activités associatives diverses (FPPR, Spoetnik, So!Art, et autres) en perspective. | | Lien alternatif direct vers ce billet : [ |
|
|
| 116) |
du mercredi 23 avril 2014 au dimanche 4 mai 2014 vernissage à 18 heures. Horaire : du lundi au dimanche de 11 à 18 heures (fermé le 1er mai)
|
Catégorie : Tapisseries |
Type : Exposition, récital |
Le Doyenné-Maison des arts d'Uccle, rue du Doyenné 102, 1180 Bruxelles (Uccle)
Exposition & récital : « L'Art et l'Ecologie ».
 Affiche illustrée de la tapisserie « Plaisirs d'été » d'Edmond Dubrunfaut |
Edmond Dubrunfaut Ligue des Amis du Kauwenberg, asbl L'événement tourne autour d'Edmond Dubrunfaut, qui a réalisé et offert une de ses tapisseries à la Bibliothèque des Langues Etrangères de Moscou : Hommage sera rendu au Professeur mondialement connu Vladimir Vernadski, « le père de l'écologie », que le grand écologiste belge Duvigneaud a fait lire par Dubrunfaut (Duvigneaud et Dubrunfaut se rencontraient souvent : ils s'appréciaient et se soutenaient l’un l’autre) : Suite à cette influence de Vernadski, Dubrunfaut a créé pour la station bruxelloise du métro Louise (sortie palais de Justice) une monumentale tapisserie intitulée : « La terre en fleur, notre espoir ». Cet événement l'« L'Art et l'Ecologie » a été introduit par une courte conférence du Dr Nicolas Bieliavsky, président de la FPPR, présentant Paul Duvigneaud, Edmond Dubrunfaut et l'Ecologie : Les étapes de deux siècles de pensée scientifique consacrée à l'origine du Vivant. N.B. L'ambassadeur de Russie, et de nombreuses personnalités russes seront invitées au vernissage Récital de piano : le vendredi 25 avril à 20 heures. Piano à quatre mains : Anne Van den Bossche & Jean-Noël Remichee, Lauréats Belfius Classics. Pièces musicales inspirées des tapisseries de la série « Les temps de l'homme » de Dubrunfaut et jouées pour la première fois entourées des œuvres! Composition : Daniel Baas.
PAF : 8 € (étudiants : 5 €) - Infos/Réservations : dan.baas at skynet dot be / Téléphone : 0486 14 08 77
|
|
| 117) |
le dimanche 30 mars 2014
|
|
|
Avril 2014. Evénements à caractère culturel russe et œuvres littéraires.
Avril 2014. Evénements à caractère culturel russe et œuvres littérairesÉvénements : 32 événements se bousculent déjà à l'affiche du calendrier vava.be pour ce mois d'avril 2014. Nous vous y renvoyons donc pour vous aider à programmer vos éventuelles futures sorties. La compilation totalise ces différents domaines :
- théâtre : Récits d'un jeune médecin de von Sivers, Douchetchka d'après Tchekov, La chambre froide avec Woronoff ;
- exposition : Marina Pinsky au Clearing ;
- soirée : EII Mons ;
- ballet : Le Lac des Cygnes à Gand et à Anvers ;
- excursions : Delft/Leyde, Keukenhof et Châteaux de Wallonie ;
- spectacles : Bouffons du folk russe, Mélodies de printemps, Mélodies slaves, Arbenina et les Snipers nocturnes ;
- films : Nouvelles générations - nouveaux noms, Ivan le Terrible ;
- festival : Les Femmes dans l'art ;
- religion : La Pâque russe à Chevetogne et le stage choral à Ouzouer sur Loire ;
- concerts : Origami Classics avec Johan Schmidt, Shostakovich par le Jerusalem String Quartet aux Beaux-Arts.
| Livres, revues : les amateurs de lecture peuvent consulter notre rubrique « bibliographie » qui vient de s'enrichir des 5 numéros la gazette liégeoise bilingue russe-français intitulée « Rousski dom. lg ». Nous présentons dans la foulée les sommaires des revues FPPR ainsi que l'annonce des œuvres littéraires de Nicolas Ross, Jan de Kloe et Leokadia Komaiszko.
| Nous vous souhaitons une excellente découverte. Lien alternatif direct vers ce billet : [ |
|
|
| 118) |
le mardi 18 mars 2014 à 19 heures 30'
|
Catégorie : Conférence |
Type : Economie |
Club Prince Albert, Salle « Madou C », rue des Petits Carmes 20, 1000 Bruxelles.
Conférence. La Russie une terre d'opportunité pour les investisseurs ?
 Arkady Arianoff |
par Arkady Arianoff Chairman of The Belgian Luxembourg Chamber in Russia with offices based in Brussels and Moscow. Monsieur Nicolas Bieliavsky, Président de la FPPR - Fondation pour la Préservation du Patrimoine Russe dans l'Union Européenne - vous invite, à la conférence donnée par Monsieur Arkady Arianoff, Directeur général de la Chambre de Commerce Belgo-Luxembourgeoise pour la Russie et la Belarus, à Bruxelles. Monsieur A. Arianoff, qui est en contact permanent avec le monde économique et politique de la Russie, traitera du sujet suivant : La Russie une terre d’opportunité pour les investisseurs ? La conférence sera suivie d’un débat et d’un verre de l’amitié.
Une contribution de 5 € sera perçue à l’entrée.
Toutefois, cette entrée est libre pour les membres FPPR (Fondation pour la Préservation du Patrimoine Russe dans l'Union Européenne) en règle de cotisation 2014 et réduite de moitié pour les invités se recommandant du présent calendrier via leur code d'identification personnel vava.be. Notes : Le règlement du Club Prince Albert exige le port de la cravate ; La cotisation de membre FPPR 2014 s'élève à 40 €. Montant à verser au compte BIC : BBRUBEBB IBAN : BE75 3101 4461 3851 Renseignements par téléphone +32 (0)2 384 37 40 ou courriel : a.schoro at skynet dot be
Сайт/Site : http://www.e-federations.com/
|
|
| 119) |
le dimanche 23 février 2014 Воскресенье 23-го Февраля в 17 ч. 2014 г.
|
Catégorie : Théâtre |
Type : Spectacle |
Hôtel Communal de Woluwé-Saint-Lambert, avenue Paul Hymans 2, 1200 Bruxelles (Woluwé-Saint-Lambert)
Моё ненаглядное семейство. Ma famille adorée (vaudeville en langue russe).
Водевиль по мотивам Арбузова. Постановка Наталья Рейнгардт Русская Любительская Театральная Труппа при помощи Свято Троицкого Храма. В захолустном городе России, во второй половине прошлого столетия, семья Константина Гусятникова живёт только музыкой, как и всё её окружающие. И в таком то доме, отец семейства объявляет, что он влюбился в... зубного врача! и собирается женится. В это же время возвращается сбежавшая было с московским инженером, его вторая жена. Что же дальше ?
Dans une petite ville de province russe, au siècle dernier, la famille Constantin Goussiatnikov, directeur de l'Académie Musicale de l'endroit, ne vit que pour la musique, chaque membre jouant d'un instrument. Et c'est dans cette atmosphère imprégnée de Mozart, que le père de famille annonce son intention d'épouser... une dentiste! Et c'est le moment aussi que choisit, pour faire sa réapparition, la deuxième épouse de Goussiatnikov, qui avait quitté le domicile conjugal avec un ingénieur moscovite. La suite — comme l'on dit — à l'écran.
Русская Любительская Театральная Труппа возобновила дейтельность Русского Любительного Театра, основанного Н. Рейнгардт в 1950 г. и просуществовавшего 40 лет. Она возникла благодаря помощи общины Храма Животворящей Троици в Брюсселе. Buffet russe à l'entracte. Русский буфет в антракте.
Prix des places : 12 € pour les adultes (8 € pour les membres FPPR en règle de cotisation 2014) et 6 € pour les enfants de moins de 13 ans. Réservations à partir du 10 janvier 2014 par téléphone 0498 44 09 80 Цена билетов : 12 € для взрослых (8 € для членов ФСРН) и 6 € для детей до 13 лет. Обязательная резервация с предоплатой на счёт : BE25 001 537 477 682 (Théâtre Amateur Russe) — Дополнительная информация по тел. : 0498 44 09 80 Réservation des places par versement au compte bancaire BIC : GEBABEBB / IBAN : BE25 001 537 477 682 du « Théâtre Amateur Russe » Information complémentaire par téléphone : 0498 44 09 80
|
|
| 120) |
le dimanche 16 février 2014 Воскресенье 16-го Февраля в 17 ч. 2014 г.
|
Catégorie : Vaudeville |
Type : Spectacle |
Hôtel Communal de Woluwé Saint-Lambert, avenue Paul Hymans 2, 1200 Bruxelles (Woluwé-Saint-Lambert)
Моё ненаглядное семейство. Ma famille adorée (vaudeville en langue russe).
Водевиль по мотивам Арбузова. Постановка Наталья Рейнгардт Русская Любительская Театральная Труппа при помощи Свято Троицкого Храма. В захолустном городе России, во второй половине прошлого столетия, семья Константина Гусятникова живёт только музыкой, как и всё её окружающие. И в таком то доме, отец семейства объявляет, что он влюбился в... зубного врача! и собирается женится. В это же время возвращается сбежавшая было с московским инженером, его вторая жена. Что же дальше ?
Dans une petite ville de province russe, au siècle dernier, la famille Constantin Goussiatnikov, directeur de l'Académie Musicale de l'endroit, ne vit que pour la musique, chaque membre jouant d'un instrument. Et c'est dans cette atmosphère imprégnée de Mozart, que le père de famille annonce son intention d'épouser... une dentiste! Et c'est le moment aussi que choisit, pour faire sa réapparition, la deuxième épouse de Goussiatnikov, qui avait quitté le domicile conjugal avec un ingénieur moscovite. La suite — comme l'on dit — à l'écran.
Русская Любительская Театральная Труппа возобновила дейтельность Русского Любительного Театра, основанного Н. Рейнгардт в 1950 г. и просуществовавшего 40 лет. Она возникла благодаря помощи общины Храма Животворящей Троици в Брюсселе. Buffet russe à l'entracte. Русский буфет в антракте.
Prix des places : 12 € pour les adultes (8 € pour les membres FPPR en règle de cotisation 2014) et 6 € pour les enfants de moins de 13 ans. Réservations à partir du 10 janvier 2014 par téléphone 0498 44 09 80 Цена билетов : 12 € для взрослых (8 € для членов ФСРН) и 6 € для детей до 13 лет. Обязательная резервация с предоплатой на счёт : BE25 001 537 477 682 (Théâtre Amateur Russe) — Дополнительная информация по тел. : 0498 44 09 80 Réservation des places par versement au compte bancaire BIC : GEBABEBB / IBAN : BE25 001 537 477 682 du « Théâtre Amateur Russe » Information par téléphone : 0498 44 09 80
|
|
| 121) |
le mercredi 18 décembre 2013 à 10 heures 30'
|
Catégorie : Conférences et exposition d'archives |
Type : Journée d'étude |
Musée Royal de l’Armée et de l’Histoire Militaire, Parc du Cinquantenaire 3, 1000 Bruxelles. (Entrée par la porte principale du Musée.)
Exposition d'archives de l'émigration russe.
 Affiche journée FPPR au Musée de l'Armée |
| Example d'archives exposées |
FPPR - Fondation pour la Préservation du Patrimoine Russe dans l'Union Européenne. En matinée : conférence de présentation par Nicolas Bieliavsky. Nathalie Reingardt retrace le parcours de la troupe de théâtre amateur russe qu'elle a constituée dès les années cinquante. Exposition d'archives l'après-midi de 14 à 16.30 heures. Salle d'exposition « Les Arcades » de 10 heures à 16.30 heures Archives : Arianoff, Baïdak, Noldé, Volberg,...
Entrée : membres FPPR (2013 ou déjà 2014) : 5 €, non membres : 10 €, exposants : gratuit Réservation obligatoire en ce qui concerne la petite restauration prévue vers 12.30 heures : 15 € sandwich lunch (4 mini, vin blanc ou rouge, eaux et café compris)
Сайт/Site : http://www.e-federations.com/
|
|
| 122) |
le jeudi 21 novembre 2013 à 18 heures
|
Catégorie : Réunions |
Type : Associations |
Club Prince Albert, Salle « Madou C », rue des Petits Carmes 20, 1000 Bruxelles.
Réunion du comité d'administration FPPR. Собрание комитета ФСРН.
Nicolas Bieliavsky, Président Ordre du jour :
programme de 2 conférences, de l'exposition d'archives, de l'annonce du projet de centre d'études des archives russes de Belgique et de la formation d'archives enregistrées (projet Pierre Lierneux) ; projet de publications ; projet propositions de sujets de conférences ; proposition de conférenciers. Annexes sur e-federations.com sous nom d'utilisateur/mot de passe
Bienvenue en tant qu'observateurs aux membres en règle de cotisation 2013 ainsi que pour d'éventuels invités. Réservation obligatoire par courriel : nbieliavsky at skynet dot be ou téléphone au 060 39 10 27 ou 0497 27 17 41.
Сайт/Site : http://www.e-federations.com
|
|
| 123) |
le mercredi 28 août 2013
|
|
|
Calendrier d'événements à caractère culturel russe : septembre 2013 <= vava.be
Septembre 2013. Calendrier permanent d'événements à caractère culturel et traditionnel russe.
Voici le calendrier-lien vers la liste d'événements à caractère culturel russe déjà programmés pour cette rentrée. Quatre intervenants majeurs y occupent déjà de nombreuses dates : Lazarus : voilà qu'après sa tournée de mai, la troupe Lazarus se remet en scène pour deux mois avec son spectacle intitulé « De Idioot (Идiотъ) ».
Bozar : le Palais des Beaux-Arts n'est pas en reste avec son programme « From Russia with love ». Outre son festival Rachmaninoff, il offre jusqu'en juin 2014 une multitude de concerts ayant trait à des compositeurs ou interprètes russes.
Galeries : du côté cinéma les Galeries, en collaboration avec Cinematek et Bozar, nous convient à une intéressante rétrospective d'Aleksandr Sokurov.
Kinepolis : après ses opéras Eugene Onegin, Prince Igor et ballets Sleeping beauty, Jewels, Lost illusions et Golden age, à vous de découvrir les notices relatives aux autres annonces proposées ci-après :
Excursions en autobus en Zélande puis au Mont Saint-Michel, Exposition de photos Magnitogorsk au CCSR, Soirée Mestchersky à Huy, Conférence de Mikhaïl Chichkine à Passa Porta, Lac des Cygnes au Cirque Royal, Missions économiques CCBLR en Bélarus puis en région de l'Oural, Exposition d'archives FPPR au Club Albert, Chorale Роса и Нота à Pachéco, Чаёк (Tchayok) au Molière, Expo-russe à Blaes 150, Un siècle de couleurs russes puis Отава ё (Otava-Yo) à Flagey, Les Justes au théâtre des Tanneurs, Чебурашка (Cheburashka) à Marche-en-Famenne, etc.
| |
alt="Evénements à caractère culturels russe. Calendrier vava.be - Septembre 2013" width=200">
=> album d'événements |
|
|
| 124) |
le jeudi 20 juin 2013 à 10 heures 30'
|
Catégorie : Théâtre |
|
Club Prince Albert, Salle Madou B, rue des Petits Carmes 20, 1000 Bruxelles.
FPPR. Invitation assemblée générale annuelle.
Fondation pour la Préservation du Patrimoine Russe dans l'Union EuropéenneLa réunion se tiendra de 10.30 à 12.30 heures ; elle sera suivie d’un cocktail dans le bar et d’un déjeuner dans le restaurant « Carmélites » du Club Prince Albert L’ordre du jour est le suivant : - Discours d’accueil de Nicolas Bieliavsky Président du Conseil d’administration
- Approbation du PV de l’Assemblée Générale statutaire du 29 juin 2012
- Discussion et Approbation du Rapport d’activité et des comptes 2012
- Décharge des administrateurs en fonction
- Renouvellement des mandats des administrateurs et du Vérificateur aux Comptes
- Présentation, discussion et vote du plan et du budget 2013
- Célébration des activités théâtrales de Nathalie Reingardt
Spectacle soirée miniature Tchékov du 25 janvier 2009 en la salle Vita de la Basilique de Koekelberg.
| Le théâtre Amateur russe a été fondé à Bruxelles en 1950, par Nathalie Reingardt, descendante de la première émigration russe. Plus de 25 pièces ont été montées, appartenant à des auteurs russes classiques et contemporains - émigrés ou ex-soviétiques. Les acteurs-amateurs appartiennent à différentes émigrations et les spectacles sont accessibles à un public russophone de tous niveaux. Le metteur en scène (N.R.) est diplômé d'une école théâtrale. Le succès qui n'a cessé d'accompagner les spectacles justifie pleinement le logo du théâtre. Amateurs - oui (du verbe aimer). Dilettantes - non ! | | Русская Любительская Труппа является преемницей Русско Любительского Театра, основанно, в 1950 г. Н. Г. Рейнгардт, окончившей театральную школу. Она возникла благодаря Свято-Троицкого Прихода. Было поставлено около 25 ти пьес русских классических и современных авторов - зарубежных и бывших советских. Любители-актеры принадлежат к разным эмиграциям и спектакли доступны всей русскоговорящей публике. Успех неизменно сопутствующий постановкам полностью оправдывает цель Театра : Любители = да ! Любительщина = нет ! | En annexe vous trouverez les documents préparatoires suivants :- Le rapport d’activité du Conseil d’administration du 25 avril 2013
- Les comptes 2012 présentés et approuvés par le CA du 25 avril 2013
- Le programme de travail prévu pour 2013/14
- Le budget prévu pour 2013/14
- Un document de confirmation de votre participation à renvoyer par la Poste ou Courriel
Un déjeuner précédé d’un apéritif sera organisé pour tous ceux qui sont libres.
Le prix du déjeuner est de 20 € par personne. Ce prix comprend l’apéritif, le repas (entrée + plat + dessert) ainsi que toutes les boissons : vins, eaux et café. Les réservations doivent parvenir avant le 1er juin 2013 par courriel, par la poste ou par téléphone à A. Schorochoff, rue Castor 8, 1421 Ophain BSI / Tél : 02 384 37 40 / Courriel : a.schoro at skynet dot be Le paiement du repas doit être fait avant le 15 juin 2012 au compte de la FPPR : ING 310-1446138-51 IBAN: BE75310144613851 BIC: BBRUBEBB La réservation du repas n’est effective qu’après réception du paiement. Attention : le nombre de couverts réservé est de 24 ; les inscriptions seront confirmées dans l’ordre des paiements reçus et par priorité aux membres en règle de cotisation 2013. Les désistements, reçus 48 heures avant le 20 juin donneront droit au remboursement du montant versé. Informations importantes : Le Club Prince Albert est situé au N° 20 rue des Petits Carmes, juste en face de l’entrée principale du Service publi Nathalie Reingardt
Сайт/Site : http://www.e-federations.com/
|
|
| 125) |
le mercredi 29 mai 2013
|
|
|
Juin 2013. Relevé de plusieurs « rendez-vous » déjà programmés.
Juin 2013. Relevé de plusieurs « rendez-vous » déjà programmés.Ce mois de juin démarre sur les chapeaux de roues par un week-end consacré au « Rendez-vous avec la Russie » à ne pas manquer et ce conjointement — à notre connaissance du moins — au concert de printemps proposé par l'Académie Rimsky-Korsakov, et à la journée consacrée aux enfants par le club Possev à Francfort en Allemagne. De nombreuses dates du mois sont également embellies par les chants orthodoxes des sœurs du Monastère Sainte-Elisabeth de Minsk en France et dans notre pays. Signalons entre autres que la FPPR quant à elle consacre son AG de cette année à la célébration de l' activité théâtrale de Nathalie Reingardt. Petit conseil : des événements peuvent s'ajouter ou s'annuler en cours de mois. N'hésitez donc pas à bien consulter le calendrier et à confirmer votre présence et intérêt auprès des organisateurs. |
du samedi 1 juin 2013 au dimanche 2 juin 2013 |
| | « Рандеву с Россией » => Огоньки, Радуга Талантов и Ярмарка. |
|
| le samedi 1 juin 2013 |
| | Club Possev => Международный День Защиты Детей. |
|
| du samedi 8 juin 2013 au dimanche 16 juin 2013 |
| | Chœur des sœurs du Monastère Sainte-Elisabeth de Minsk. |
|
| du samedi 1 juin 2013 au dimanche 2 juin 2013 |
| | Rimsky-Korsakov academy => Concert de printemps. |
|
| le jeudi 20 juin 2013 |
| | Fête de la Musique => Concert Andrey Boreyko en accès libre aux Beaux-Arts. |
|
| le jeudi 20 juin 2013 |
| | Nathalie Reingardt et sa Русская Любительская Труппа à l'honneur. |
|
Nathalie Reingardt
|
|
| 126) |
le jeudi 23 mai 2013
|
Catégorie : FPPR |
Type : Associations |
Club Prince Albert, rue des Petits Carmes 20, 1000 Bruxelles
Invitation à l'Assemblée Générale de la FPPR ce 20 juin 2013 prochain
FPPR logo |
European Federations for Russian emigration in EU
|
Fondation pour la Préservation du Patrimoine Russe dans l'Union Européenne
Stichting voor de Bewaring van het Russische Erfgoed in de Europese Unie
Фонд Сохранения Русского Наследия в Европейском Союзе
ASBL - VZW
|
*****,
J’ai l’honneur de vous inviter à participer à notre Assemblée générale annuelle qui se tiendra le jeudi 20 juin 2013 dans la salle Madou B du Club Prince Albert, 20 Rue des Petits Carmes, 1000 Bruxelles.
La réunion se tiendra de 10.30 à 12.30 heures ; elle sera suivie d’un cocktail dans le bar et d’un déjeuner dans le restaurant « Carmélites » du Club Prince Albert L’ordre du jour est le suivant :
- Discours d’accueil de Nicolas Bieliavsky Président du Conseil d’administration
- Approbation du PV de l’Assemblée Générale statutaire du 29 juin 2012
- Discussion et Approbation du Rapport d’activité et des comptes 2012
- Décharge des administrateurs en fonction
- Renouvellement des mandats des administrateurs et du Vérificateur aux Comptes
- Présentation, discussion et vote du plan et du budget 2013
- Divers
Ci-après vous trouverez les liens vers les documents préparatoires suivants :
- Le rapport d’activité du Conseil d’administration du 25 avril 2013
- Les comptes 2012 présentés et approuvés par le CA du 25 avril 2013
- Le programme de travail prévu pour 2013/14
- Le budget prévu pour 2013/14
Un déjeuner précédé d’un apéritif sera organisé pour tous ceux qui sont libres. Le prix fixé à 20 € doit être payé avant le 1er juin 2013 au compte de la FPPR.
Attention : le nombre de couverts réservé est de 24 ; les inscriptions seront confirmées dans l’ordre des payements reçus sur le compte de la Fondation (et par priorité aux membres en règle de cotisation 2013).
Veuillez agréez, *****, mes salutations très amicales.
Nicolas Bieliavsky
Président
Confirmation de participation à l’assemblée générale
Nom : Noms des invités éventuels :
Confirmation de participation au déjeuner à renvoyer par la poste ou par courriel
Nombre de personnes participant au déjeuner :
Le prix du déjeuner est de 20 € par personne. Ce prix comprend l’apéritif, le repas (entrée + plat + dessert) ainsi que toutes les boissons : vins, eaux et café.
Les réservations doivent parvenir avant le 1er juin 2013 par email, par la poste ou par téléphone à A. Schorochoff, rue Castor 8, 1421 Ophain BSI / Tél : 02 384 37 40 / Courriel : a.schoro@skynet.be
Le payement du repas doit être fait avant le 15 juin 2012 au compte de la FPPR : ING 310-1446138-51 IBAN: BE75310144613851 BIC: BBRUBEBB
La réservation du repas n’est effective qu’après réception du paiement. Les désistements, reçus 48 heures avant le 20 juin donneront droit au remboursement du montant versé.
Informations importantes : Le Club Prince Albert est situé au N° 20 rue des Petits Carmes, juste en face de l’entrée principale du Service public fédéral des Affaires étrangères. Pour y accéder, à partir de la Place Royale, prendre la rue de Namur, la première à droite est la rue des Petits Carmes. Pour ceux qui viennent par le train et le métro, le plus simple est de descendre Porte de Namur et de descendre la rue de Namur jusqu’à la rue des Petits Carmes, à gauche. Attention la rue du Pépin étant en réfection il n’est plus possible de la descendre en voiture, pour accéder au Club Il faut remonter la rue de Namur à partir de la Place Royale.
|
Envoyé du courriel de Nicolas Bieliavsky
|
|
| 127) |
le jeudi 25 avril 2013 à 10 heures 30'
|
Catégorie : Réunions |
Type : Associations |
|
| 128) |
le mardi 12 mars 2013 à 20 heures
|
Catégorie : Concert |
Type : Musique |
Conservatoire Royal de Bruxelles, Grande Salle, rue de la Régence 30, 1000 Bruxelles. Grote Zaal van het Koninklijk Conservatorium.
« Dialogue musical - Muzikale dialoog ».
Récital partagé entre deux pianistes Alexander Mogilevsky et Matthieu Idmtal (Bruxelles). L'amitié belgo-russe. De Belgisch-Russische vriendschap. Au programme :
Matthieu Idmtal => Chopin. Barcarolle. Mazurka. Ballade № 3. Scriabin. Preludes Op.11 № 12 Alexander Mogilevsky => Schumann. Children Scenes Op 15 | Prokofiev. Cinderella, Ballet Suite
Tickets : 18 € / 15 € / 10 €, prix spécial pour les étudiants des conservatoires et des écoles de musique. Speciale prijs voor studenten van de conservatoria en musziekscholen Infos et réservations par téléphone : 0473 549 767 ou courriel : svp333 at gmail dot com To pay your tickets please use the account BE62 3631 0170 6661 of « Liberty Communications » Promotions : 50% discount, i.e. 9 € / 7,5 € / 5 €, for reservations by paiements received before February 26, 2013 ; moins 20% pour les membres FPPR ; moins 30% pour les groupes de plus de 10 personnes.
Сайт/Site : http://www.conservatoire.be/agenda.html
|
|
| 129) |
du vendredi 1 mars 2013 au vendredi 15 mars 2013 tous les jours de 10 à 19 heures
|
Catégorie : Peintures |
Type : Exposition |
Galerie Espace Blaes 150, rue Blaes 150, 1000 Bruxelles Courriel : mestchersky.boris at skynet dot be Téléphone : 085 41 29 66 | Mobile : 0478 92 27 23
Mestchersky's art exhibition at Galerie « rue Blaes 150 ».
lors de son Exposition de peintures, monotypes et gouaches. Vernissage, dévernissage en musique et chants. Dégustation de vins de Loire Vinaloire. Le vendredi 15 mars 2013 : 19 heures 30' souper, 5 services + boissons pour une PAF de 35 € Pour le repas : réservation souhaitée avant le 13 mars 2013 au plus tard. Note : Les membres de la FPPR bénéficient d'une petite ristourne de 5 € sur cette participation aux frais. Renseignements : 0478 92 27 23 | 0475 47 82 85 | 085 41 29 66
Сайт/Site : http://www.mestcherskysartexhibition.blogspot.be/
|
|
| 130) |
le jeudi 28 février 2013
|
|
|
Agenda mars 2013 => 26 événements à caractère culturel russe.
Mars 2013. Evénements à caractère culturel russe annoncés
 Voici la liste d'intitulés de 26 événements à caractère culturel russe déjà annoncés pour ce mois de mars 2013. Ces titres sont cliquables, et pointent vers les descriptions complètes correspondantes. A ne pas manquer entre autres, la prestigieuse exposition « Kandinsky & Russia » qui ouvre ses portes le 8 mars 2013. Nous essayons d'obtenir des éditeurs et organisateurs d'événements des prix plus avantageux pour nos lecteurs ainsi que pour les membres FPPR. Cette fois-ci, l'entrée au concert « Dialogue musical » du 12 mars 2013 est affectée d'une telle promotion. Notons aussi le petit geste de la Galerie « rue Blaes 150 » lors du dévernissage de l'exposition de Boris le 15 mars 2013. Notre rubrique Reçu à la rédaction propose également quant à elle le nouvel ouvrage « Le Congo au temps des belges » à prix réduit. Nous vous souhaitons d'excellents divertissements et remercions les personnes ayant positivement réagi à notre billet précédent. N'hésitez donc pas à faire suivre ce calendrier à ceux et ou celles de votre entourage susceptibles d'y être intéressés. |
|
|
| 131) |
le dimanche 10 février 2013 воскресенье 10-го Февраля 2013 г. в 17 ч.
|
Catégorie : Théâtre |
Type : Spectacle annuel |
Hôtel Communal de Woluwé Saint-Lambert, avenue Paul Hymans 2, 1200 Woluwé-Saint-Lambert
« ЧУЖОЙ РЕБЁНОК » В. Шкваркина.
Постановка : Н. РЕЙНГАРДТ Русская Любительская Театральная Труппа Русский Любительский Театр при поддержке прихожан Свято-Троицкого храма в Брюсселе ставит комедию В. Шваркина « Чужой ребёнок ». Voici l'annonce du prochain spectacle en langue russe produit cette année par la Troupe du Théâtre Amateur Russe dirigée par Nathalie Reingardt avec le soutien des paroissiens de l'Eglise de la Sainte-Trinité à Bruxelles : « L'enfant d'un autre » comédie de Vasilii Shkvarkin (1894 – 1967) jouée en langue russe les dimanches 10 et 17 février 2013 à 17 heures
Au programme : « L'enfant d'un autre », comédie dont l'action se déroule dans les années 30 du siècle dernier dans les environs de Moscou. Une jeune actrice débutante, jouant le rôle d'une fille-mère, attend elle-même un enfant. Mais qui est le père ? Et ce père existe-t-il ? Et, finalement, l'enfant existe-t-il ? Après le grand succès remporté par la troupe l'année dernière, nous espérons que cette comédie amusante fera à nouveau rire le public.
В программе : забавная комедия Шкваркина « Чужой ребёнок ». Дело проиходит в окрестностях Москвы, в 30-х годах прошлого столетия. Молодая начинающая актриса ждёт незаконного ребёнка. Но... на сцене, или на самом деле ? И кто отец ? Поклонников у Мани не мало и каждый подозревает других ! Un buffet russe sera proposé à l'entracte | Русский буфет в антракте. Références : Four Vaudevilles : Vasilii Shkvarkin's Comedies of the 1920s by Ireland, Rosh, December 2005, Australian Slavonic & East European Studies, 2005, Vol. 19 Issue 1/2, p 69. (25 pages .pdf). Discusses about the comedies written by Russian dramatist Vasilii Shkvarkin in the 1920s. Features of his work that may have derived from the pressures of the times; Discussion on his comedies that have survived only as typescripts; Analysis of the characters in his play. Shkvarkin and the terrorists by Rosh Ireland. Published 3 February 2009 in Vol. 22, Nos. 1–2 of Australian Slavonic and East European Studies. Théâtre Amateur RusseLe théâtre Amateur russe a été fondé à Bruxelles en 1950, par Nathalie Reingardt, descendante de la première émigration russe. Plus de 25 pièces ont été montées, appartenant à des auteurs russes classiques et contemporains - émigrés ou ex-soviétiques. Les acteurs-amateurs appartiennent à différentes émigrations et les spectacles sont accessibles à un public russophone de tous niveaux. Le metteur en scène (N.R.) est diplômé d'une école théâtrale. Le succès qui n'a cessé d'accompagner les spectacles justifie pleinement le logo du théâtre. Amateurs - oui (du verbe aimer) | Dilettantes - non ! Русский Любительский ТеатрРусская Любительская Труппа является преемницей Русско Любительского Театра, основанно, в 1950 г. Н. Г. Рейнгардт, окончившей театральную школу. Она возникла благодаря Свято-Троицкого Прихода. Было поставлено около 25 ти пьес русских классических и современных авторов - зарубежных и бывших советских. Любители-актеры принадлежат к разным эмиграциям и спектакли доступны всей русскоговорящей публике. Успех неизменно сопутствующий постановкам полностью оправдывает цель Театра : Любители = да ! | Любительщина = нет !
Цена билетов : 12 € для взрослых | 6 € для детей до 13 лет. Предварительная продажа билетов с 1/1/2013 по телефону : 0498/44 09 80 [Наталия Рейнгардт] Prix des places : 12 € adultes (Moitié prix - soit 6 € pour les enfants jusqu'à l'âge de 14 ans, ainsi que pour les membres FPPR en règle de cotisation 2013) Prévente des billets et renseignements : 0498/44 09 80 [Nathalie Reingardt] |  Афиша |
Nathalie Reingardt
En tournée :
|
|
| 132) |
le vendredi 1 février 2013
|
|
|
Éditions MASOIN, c/o Charles Blanchart, avenue Masoin 15, 1090 Bruxelles courriel : charles.blanchart at scarlet dot be téléphone : 32 (0)2 478 37 06
Le Congo au temps des belges. L'Histoire manipulée. Les contrevérités réfutées 1885-1960.
André de Maere d'Aertrycke, André Schorochoff, Pierre Vercauteren et André Vleurinck Le livre que tout le monde attendait, répondant aux critiques malveillantes sur la colonisation belge de trop nombreuses personnes, qui affabulent et dénigrent les réalisations au centre de l'Afrique, dont les indigènes, analphabètes, atteignirent, grâce à cette colonisation, en un peu plus de 80 ans un niveau de vie les plaçant, en 1960, au deuxième rang parmi tous les pays africains ! Pour illustrer le texte, on a fait appel à 70 photos, cartes et tableaux.
Deux représentants de l'Emigration russe dont une part importante des forces et de la vie a été consacrée au service de la Belgique et du Congo, font reparler d'eux. Il s'agit d'André Schorochoff, dans un important ouvrage collectif et de Vladimir Drachoussoff, dans son journal tenu de 1940 à 1945, qui est un témoignage très vivant, suivi d'une postface de 1982 fort actuelle. En effet, cet ouvrage complète : « Jours de brousse : Congo, 1940-1945. de Vladi Souchard, aux Editions de l'Université de Bruxelles, 1983., un vol. in-8°, 259 pages[*], et aide à comprendre la réalité de l'Afrique noire.
[*] Ce journal, écrit de 1940 à 1945 et remanié en 1982 pour la publication, relate la vie quotidienne d'un jeune agronome arrivé au Congo belge en juin 1940. L'auteur — Vladimir Drachoussoff de son vrai nom — fut d'abord employé par une compagnie sucrière comme responsable de secteur d'une plantation dans le Bas-Congo. En janvier 1942, il s'engagea au service de l'État et le demeura jusqu'en 1960. Son journal des années de guerre décrit son travail au Bas-Congo, puis dans l'Equateur et dans le district du Lac Leopold II — surveiller des plantations d'hévéas, contrôler les récoltes de caoutchouc par lesquelles les Congolais devaient contribuer à l'effort de guerre du Congo belge - ainsi que sa vie dans la brousse - ses relations avec les Africains, ses rencontres avec les Européens (administrateurs territoriaux, colons et prêtres, dont il trace des portraits pittoresques). Ce journal constitue ainsi un témoignage très vivant de la vie coloniale en brousse et particulièrement de certains aspects : l'importance de la «ménagère», compagne africaine du colonisateur célibataire d'avant 1945, l'isolement des Européens dans la brousse, ou encore le cumul de diverses fonctions par les agents de l'État. Un agronome devait au besoin agir successivement comme officier de police judiciaire, juge de police et gardien de prison itinérante ! Le récit est émaillé de réflexions personnelles de l'auteur sur la légitimité de la colonisation. Il observe le pays, mesure l'apport de la colonisation au nombre d'écoles, de dispensaires, de routes et de missions ; il s'interroge sur le sort de la population autochtone : «Suis-je un exploiteur... ?» se demande le jeune agent de plantation au début de son séjour en Afrique. La postface, écrite en 1982, prolonge cette réflexion par une analyse de l'évolution du Congo au cours des années de guerre, que l'auteur considère comme la fin de «l'enfance» de ce pays. — Christine Denuit-Somerhausen.
ISBN : 978 2 87202 023 2 | Format : 160 x 240 mm | 336 pages | Prix : 25,00 €
Note : une réduction toute spéciale de 10 € est accordée aux membres FPPR en règle de cotisation 2013. Informations auprès d'André Schorochoff : +32 (0)2 384 37 40
|
|
| 133) |
le lundi 21 janvier 2013
|
|
|
Au théâtre les 10 et 17 février 2013 dès 17 h : « Чужой ребёнок » В. Шкваркина | « L'enfant d'un autre » de V. Shkvarkin.
 Ce petit courriel pour vous rappeler de consulter les nombreuses annonces déjà rassemblées pour cette année au calendrier d' événements à caractère culturel russe hébergé par vava.be. Cette fois nous avons le plaisir de placer en évidence le prochain spectacle de la troupe du Théâtre Amateur Russe [Русская Любительская Театральная Труппа] intitulé : « Чужой ребёнок » de В. Шкваркин.Rendez-vous le(s) dimanche(s) 10 et/ou 17 février 2013 dès 17 heures à Hôtel Communal de Woluwé-Saint-Lambert, avenue Paul Hymans 2, 1200 Woluwé-Saint-Lambert .Цена билетов : 12 € для взрослых | 6 € для детей до 13 лет. Предварительная продажа билетов с 1/1/2013 по телефону : 0498/44 09 80 [Наталия Рейнгардт].Prix des places : 12 € adultes (6 € enfants jusqu'à l'âge de 14 ans). Prévente des billets et renseignements : 0498/44 09 80 [Nathalie Reingardt]Promotion : les membres en règle de cotisation de la FPPR pour 2013 sont accueillis à 50% du prix d'entrée.Au programme : « L'enfant d'un autre », comédie jouée en langue russe. L'action se déroule dans les années 30 du siècle dernier dans les environs de Moscou. Une jeune actrice débutante, jouant le rôle d'une fille-mère, attend elle-même un enfant. Mais qui est le père ? Et ce père existe-t-il ? Et, finalement, l'enfant existe-t-il ? Après le grand succès remporté par la troupe l'année dernière, nous espérons que cette comédie amusante fera à nouveau rire le public. В программе : забавная комедия Шкваркина « Чужой ребёнок ». Дело проиходит в окрестностях Москвы, в 30-х годах прошлого столетия. Молодая начинающая актриса ждёт незаконного ребёнка. Но... на сцене, или на самом деле ? И кто отец ? Поклонников у Мани не мало и каждый подозревает других ! Un buffet russe sera proposé à l'entracte | Русский буфет в антракте.
Nathalie Reingardt
|
|
| 134) |
le vendredi 14 décembre 2012 à 18 heures 30'
|
Catégorie : Conférence/concert |
Type : Spectacle |
Hôtel Communal de Woluwé Saint-Lambert, avenue Paul Hymans 2, 1200 Woluwé-Saint-Lambert
Entre Kant et la Sainte-Alliance d'Alexandre Ier & Concert « Borodino ».
par Piotr Rosniansky et son ensemble vocal masculin « Rossa i Nota ». 1812 - bicentenaire passé quasi inaperçu en Europe occidentale, mais significatif en Russie. Ce que les uns nomment « Campagne de Russie » avec l'appel de Napoléon à l'orgueil des victoires passées renforcé par « la gloire que vaudrait aux yeux de la postérité la victoire sous les murs de Moscou », fut pour les autres une « grande guerre patriotique », face - une fois de plus - à l'agresseur occidental. La bataille de Borodino est un microcosme, un moment crucial, dont la résonance aux oreilles russes reste forte. Pourquoi ? Qu'en est-il du Tzar Alexandre Ier, au destin si étrange, et de son rêve d'une Europe réconciliée, mais à partir de prémisses éthiques et spirituelles ? Que signifient le modèle français, l'ambigu modèle anglais et - plus redoutable sans doute - le modèle germanique, avec sa philosophie, sa solidité et ses certitudes ? Peut-être serait-il temps d'entendre le point de vue, méconnu, de « ceux d'en face »!
Cette soirée commémorative voudrait, bien modestement, proposer quelques points de repère fondés sur la recherche historique actuelle. L'ensemble - comme les russes aiment le faire - s'exprimant par des chants. Ces « documents chantés » sont tous liés directement aux événements.
Participation aux frais : conférence, concert et belle assiette russe garnie après le spectacle : 20 € Etudiants : 10 € (gratuit pour les enfants de moins de 10 ans) Réservations souhaitées avant le 7 décembre par virement au compte de la FPPR (Fondation pour la préservation du Patrimoine Russe dans l'Union Européenne) ING 310-1446138-51 avec la mention « 1812 » ainsi que le nombre de personnes.
|
|
| 135) |
le lundi 3 décembre 2012
|
|
|
Evénements à caractère culturel russe du mois de décembre 2012
Evénements à caractère culturel russe du mois de décembre 2012.Nous avons relevé pour vous 25 événements à caractère russe à venir... dont certains avaient déjà été annoncés le mois dernier. Rappelons la conférence-concert intitulée « Borodino » à la maison communale de Woluwé-Saint-Lambert, le mono-spectacle « Мемуары ротного придурка » au Tutti Fratelli à Anvers et le séminaire théâtre Мастер-класс по актёрскому мастерству au Российский центр науки и культуры à Bruxelles. Nous y ajoutons des affiches relatives aux fêtes de fin d'années que nous vous souhaitons excellentes. La place nous manque ici pour d'autres illustrations et de plus amples renseignements. Nous vous prions de consulter le site vava.be. Au départ de cette page d'accueil, trois visualisations possibles à découvrir : la liste des notices complètes à partir du jour de consultation, l' album des affiches du mois courant et par défaut la liste des titres des évenements du mois courant. Une rubrique d' ouvrages reçus à la rédaction a été ajoutée au calendrier. Nous ne voulions pas passer sous silence la réception du dernier numéro de la revue de la FPPR ainsi que des livres Triste printemps d'Anne Hogenhuis et L'effroyable tragédie de Marie-Pierre Rey et enfin des cartes de vœux pour 2013 de la paroisse de « la Tourelle ». |
|
|
| 136) |
le samedi 17 novembre 2012 de 10 heures 30' à 11 heures 30'
|
Catégorie : Conférence |
Type : Histoire |
Musée Royal de l’Armée et de l’Histoire Militaire, Parc du Cinquantenaire 3, 1000 Bruxelles. (Entrée par la porte principale du Musée.)
Les Partisans russes en Belgique lors de la 2e guerre mondiale.
Conférencier : Dr. Nicolas Bieliavsky Président de la Fondation pour la Préservation du Patrimoine Russe en Union Européenne (FPPR en U.E). Conférence organisée par la Société Royale des Amis du Musée de l’Armée (SRAMA) Conférence accompagnée de projection de photos et suivie d'un drink. De 1920 à 1940, suite à la révolution bolchevique, près de 10.000 Russes blancs émigrent de Russie et sont accueillis en Belgique. Le Dr Nicolas Bieliavsky parlera de leur participation à la Résistance anti-allemande pendant la 2ème Guerre Mondiale en Belgique.
Entrée gratuite. Places limitées Réservation obligatoire avant le 15 novembre au 02 737 78 90
|
|
| 137) |
le lundi 22 octobre 2012
|
|
|
|
| 138) |
le mardi 26 juin 2012 à 11 heures
|
Catégorie : Rapport d'activités |
Type : Associations |
Club Prince Albert, rue des Petits Carmes 20, Salle « Egmont », 1000 Bruxelles.
Assemblée Générale FPPR.
Nicolas Bieliavsky Président du Conseil d’Administration de la Fondation pour la Préservation du Patrimoine russe en Union Européenne A 15 heures, Conférence de Pierre Rosniansky intitulée : « La vision de l'Europe dans la pensée russe à travers l'histoire ». Repas pris en commun. Rapport d’activités du Conseil d’administration relatif à la période annuelle écoulée Comptes de l’année civile et sociale 2011
Entrée libre à la conférence. Participation facultative au déjeuner : 20 € (réservation par paiement anticipé). Assemblée générale ouverte aux membres en règle de cotisation annuelle (40 €)
Сайт/Site : http://www.e-federations.com
|
|
| 139) |
le vendredi 1 juin 2012
|
Catégorie : Histoire |
Type : Revue périodique |
Revue FPPR n°4 (juin 2012)
Nicolas Bieliavsky Fondation pour la Préservation du Patrimoine Russe dans l'Union Européenne Sommaire. In memoriam : Yvan Znamensky. Editorial : Nicolas Bieliavsky, Président de la FPPR et rédacteur de la revue. Rapport d'activités du conseil d'administration. Articles publiés dans ce numéro :
Introduction. Nicolas Bieliavsky, Dr. Sc. Biologiques, (Président FPPR, Belgique) La pensée pédagogique et le système d'enseignement national dans l'émigration russe de la « première vague ». Elena E. Sedova, Dr. Sc. Pédagogiques (Université de Voronège, Russie) David Oïstrakh en Belgique : une page de l'histoire des relations musicales russo-belges. Aleksandra O. Khorosheva, Dr. Sc. Historiques (Académie des Sciences, Russie) Entre politique et idéologie : remarques sur la mémoire historique de l'émigration russe. Mikhaïl V. Kovalev, Dr. Sc. Historiques (Université de Saratov, Russie). Les russes à l'étranger et la Russie contemporaine : les lignes de divergence des systèmes culturels. Viatcheslav V. Popkov, Dr. Sc. Sociologiques (Université de Kalouga). L'institution monarchiqque en Europe. Les liens des Romanoff avec la famille royale de Belgique. Alla S. Namazova, Dr. Sc. Historiques (Académie des Sciences, Russie) Les familles Schorochoff-Tchaïkovsky-Delvoye-Foray : leurs liens et leurs parcours en Russie et en Belgique. André Schorochoff, Dr. en Droit, (Administrateur FPPR) Photo de couverture : Général Piotr Mikhaïlovitch Schorochoff - La reine Elisabeth avec David Oïstrakh - Le compositeur Piotr Ilitch Tchaïkovsky.
Gratuite pour les membres FPPR 2012 (40 €) mais 15 €+ frais d'envoi pour les non-membres. Siège social : avenue E. Parmentierlaan, 48 - 1150 Bruxelles Présidence : Nicolas Bieliavsky | courriel : nbieliavsky at skynet dot be | tél. : +32 (0)60 39 10 27 Secrétariat : André Schorochoff | courriel : a.schoro at skynet dot be | tél. : +32 (0)2 384 37 40 Banque : ING 310-1446138-51 (IBAN: BE75310144613851 BIC: BBRUBEBB)
|
|
| 140) |
le lundi 21 mai 2012 à 18 heures
|
Catégorie : Réunion |
Type : Histoire |
|
| 141) |
le dimanche 25 septembre 2011 à 15 heures
|
Catégorie : Musique et poésie |
Type : Concert |
Salle des Conférences de l’Hôtel communal, avenue Paul Hymans 2, 1200 Woluwé-Saint-Lambert
Mémoire musicale de la Russie impériale. Un programme exceptionnel de musique et de poésie russes.
Mémoire musicale de la Russie impériale. |
avec Nathalie Bourmeister et Victoria Lepko L’Ecole de Musique Tchaïkovsky en collaboration avec la Fondation pour la préservation du patrimoine russe dans l’Union européenne présentent dans le cadre du cycle Программа концерта Наталья Бурмейстер
- Tchaïkovsky : Le dialogue | Le penseur - Rachmaninoff : Prélude N° 1 - Scriabine : Deux poèmes - Schubert-Liszt : Une Chanson - Schumann : Le soir | L’émotion - Chopin : Polonaise N° 1 | Deux valses - Debussy : La porte de l’Alhambra - De Falla : La danse du feu - Liszt : Tarentelle
Русский буфет в антракте
Программа реситала : Стихи Виктория Лепко
- Мой голос - Слова - Провал - Коктебель - Апельсин - Пьеро - Наташа - Любовь и смерть - Вокзал жизни - Белый вальс - Наташа - Прекрасные черты творца - Вне времени - Забиться в прошлогоднюю листву - Молитва - Наташа - Я пью холодное вино - Я - дерево - Пока я за тебя молюсь - Наташа - Вы в черепе моем - Где в городе ночуют птитцы - Мне было милостью судьбы - Дульсинея - Наташа - Патриархальные предметы - Ну вот сбылось - Лицедей - Наташа - Я счастлива - Бабьи страданья - Наташа
Prix des places : 15 € par adulte, 5 € par enfant. Réservations souhaitées par email : a.schoro at skynet.be ou par tél au n° 0495 534 062 Confirmer les réservations par virement sur le compte IBAN: BE75310144613851 BIC: BBRUBEBB de la FPPR, en précisant la date du concert, votre nom et le nombre de places. Après le concert des rafraichissements seront servis au le bar, le premier drink étant compris dans le prix d'entrée. Ensuite pour faciliter le service, des tickets seront en vente à l’accueil.
|
|
| 142) |
le mercredi 21 septembre 2011 à 14 heures
|
Catégorie : Artistes en Russie |
Type : Conférence-rencontre |
Club Prince Albert, Salle Egmont, rue des Petits Carmes 20, 1000 Bruxelles
Condition de artistes en Russie aujourd'hui.
Condition de artistes en Russie aujourd'hui. |
Invitation conférence-rencontre en langue russe par Nathalie BOURMEISTER et Vika LEPKO asbl FPPR - SBRE wzw Fondation pour la préservation du patrimoine russe dans l’Union européenne - Stichting voor de Bewaring van het Russische Erfgoed in de Europese Unie Ces deux artistes nous entretiendront de la Condition des artistes en Russie aujourd’hui et répondront à vos questions.
Vika Lepko présentera son dernier livre et se fera un plaisir de le dédicacer.
L’entrée à la conférence est gratuite, une réservation est souhaitable, la salle ne pouvant contenir que 40 personnes.
Pour ceux qui désirent rencontrer les artistes, un déjeuner précédera la conférence dans le restaurant « Les Carmélites » du Club. Ce déjeuner payant sera servi dès 10 heures et le nombre de couverts strictement est limité aux 20 premières personnes qui auront payé sur le compte.
Le prix fixé à 20€ comprend un apéro au champagne, une entrée, un plat du jour, un dessert. Café, vins blanc et rouges sont compris et servis généreusement. Les réservations se feront par courriel : a.schoro at skynet.be et le payement des 20 € au compte de la FPPR ING 310-1446138-51 (IBAN: BE75310144613851 BIC: BBRUBEBB) Seules les réservations payées seront prises en considération
|
|
| 143) |
le vendredi 29 mai 2009
|
Catégorie : Récital musique poésie |
Type : Concert |
Bibliothèque de Br 1420 Braine l'Alleud
Дуэт кошек - Récital musique-poésie comprenant le « duo des chats » de G. Rossini.
Présentation des aritstes : Vika Lepko, Nathalia Tchaïkovskaya et André Schorochoff. |
par Nathalia Tchaikovskaya - Récital Vika Lepko. FPPR - Fondation pour la Préservation du Patrimoine Russe dans l'Union Européenne ASBL Nathalie Bourmeister : Fille de la ballerine Alla Finn et du célèbre danseur, puis chorégraphe Vladimir Bourmeister et neveu du compositeur Piotr Illytch Tchaïkovsky, Nathalie Bourmeister termine ses études de piano au Conservatoire de Moscou sous la direction du professeur Heinrich Heygause. Bien que son répertoire actuel soit très vaste et varié, c'est la musique romantique de Schumann, de Rachmaninov, de Chopin, de Liszt, ainsi que celle de son grand oncle, Tchaïkovski, qui se rapproche le plus de son âme. Ainsi a-t-elle été invitée à effectuer de nombreuses tournées dans la plupart des capitales des républiques de l’ex URSS et d’Europe : Allemagne, Pologne, Hongrie, Estonie, Finlande, Suisse. En tant que directrice du Salon Musical « Chez la petite-fille de Tchaïkovski », Nathalie mène à Moscou une vie artistique très intense. Surtout depuis qu'elle s'est spécialisée, dans l'éducation musicale des enfants. Les programmes de ses concerts d’éveil à la musique classique se présentent sous le titre général « Âme enfantine ». Composés et élaborés avec un grand goût artistique, ils attirent les élèves des meilleures écoles de musique de Moscou par classes entières. En 2001, Nathalie Bourmeister a été honorée du titre d'Artiste Émérite de Russie. Наталия Бурмейстер : Удивительным образом, театр и сцена объединили две семьи. Семью Наталии Бурмейстер и семью Виктории Лепко. Родители Наталии Бурмейстер работали в музыкальном театре имени Станиславского и Немировича-Данченко. Мать - балерина Алла Фин, отец, Владимир Бурмейстер - главный балетмейстер театра в течении 30 лет. Хореограф, получивший мировое признание, он прославился не только балетами, поставленными в своём театре, но и постановками за рубежом: Лебединое озеро в Grand-Opera, Снегурочка в Лондоне и др. Мать Владимира Бурмейстера принадлежала к аристократическому роду Чайковских, так что Наталия Бурмейстер является пра-правнучатой племянницей Петра Ильича Чайковского. Следуя музыкальной традиции семьи, Наталия окончила консерваторию по классу фортепиано у замечательного пианиста Генриха Нейгауза. В настоящее время, Наталия Бурмейстер является солисткой Московской Филармонии. Она имеет свою специальную программу для детей, под названием душа ребёнка, и так же, носит звание Заслуженной Артистки России. Victoria Lepko : Demi-sœur de cœur de Nathalie, Vika est la fille d’un acteur de théâtre et d’une ballerine qui a épousé Vladimir Bourmeister en seconde noces. Elle a grandi dans le milieu des artistes, de ballet et de théâtre, rêvant de devenir actrice elle-même. Après de solides études à la Faculté des Arts dramatiques de Moscou, elle est engagée dans la troupe du théâtre Maly. C’est au sein de cette troupe que son talent se forme et s’épanouit en interprétant plus de 50 rôles différents. Il s'étendent de ceux des personnages les plus dramatiques comme celui de Nathalie dans la pièce de Dostoievski : « Les humiliés et les offensés » aux personnages les plus comiques des « Fourberies de Scapin » de Molière. Elle reçoit le prix de la meilleure actrice pour son interprétation dans « Scènes de la Vie Conjugale » et joue dans des séries télévisées qui ont connus de grands succès tels : « le Cabaret des 13 chaises ». En 1989 elle ouvre son propre théâtre : le « Théâtre du Vernissage ». Elle est aussi poète, plusieurs des ses œuvres sont publiées, et disponibles en librairie. Виктория Лепко Виктория Лепко родилась в актёрской семье. Мать, Антонина Крупенина - балерина музыкального театра имени Станиславского и Немировича-Данченко. Отец, Владимир Лепко - актёр театра сатиры, Народный Артист РСФСР, получивший на международном фестивале театров в Париже Гран - При за лучшую мужскую роль. Встреча на сцене музыкального театра Антонины Крупениной и Владимира Бурмейстера круто меняет судьбу двух семей. Антонина выходит замуж за Владимира Бурмейстера, и, таким образом, Наталия и Виктория становятся сёстрами. Но самое главное, что отношения с бывшими супругами сохраняются самые дружеские. Так, что девочки растут в атмосфере любви и взаимной привязанности. Виктория, получив высшее театральное образование, идёт по стопам отца, и становится актрисой Малого театра. Она много работает на телевидении, снимается в кино, получает звание Заслуженной Артистки России и Польши. Виктория Лепко выпустила в свет два сборника стихов, пишет прозу, и является членом Союза Писателей. Сёстры часто выступают вместе с концертами, продолжая лучшие традиции своей семьи, и остаются верными служителями сцены.
Le duo des chats de G. Rossini (MPEG-4 movie - 264,8 MB - durée : 05':48")
|
|
| 144) |
le jeudi 1 mai 2008
|
Catégorie : Histoire |
Type : Revue périodique |
Revue FPPR n°3 (décembre 2008)
IMA/RC BIB Couverture. FPPR Revue scientifique. Patrimoine russe. Russische patrimonium. Mai 2008 - n°3 - 15 €. 2008-05-01.jpg">
Nicolas Bieliavsky Fondation pour la Préservation du Patrimoine Russe dans l'Union Européenne Sommaire :
Editorial. Daniel Stevens, Président de la Fondation In memoriam. Alexis-Nicolas Mouravieff-Vilensky, Cyrille Kharkévitch et Elisabeth Ivanovsky nous ont quittés. A la recherche d'une méthode historique. Nicolas Bieliavsky Le battement d'ailes d'un papillon à Kinshasa, ses conséquences à Moscou. André Schorochoff Fêtes historiques de l'émigration russe comme moyen de préservation de la mémoire culturelle collective Mikhaïl Kovalev traduit par Irina Khramtsova La diplomatie russe non diplopatique pendant la révolution, la guerre civile et l'émigration. Elena Mironova La Douma russe année d'espoir, année noire, années charnières prémonitoires, leçons de mémoire. Serge Orloff Sur l'abdication de l'Empereur Nicolas II de Russie le 2/15 mars 1917. Introduction et notes de Nicolas Bieliavsky Sergueï Apoukhtine. Introduction et notes de Nicolas Bieliavsky Interview de Cyrille Kharkévitch, été 2002. Introduction et notes de Nicolas Bieliavsky
Gratuite pour les membres FPPR 2012 (40 €) mais 15 €+ frais d'envoi pour les non-membres. Siège social : avenue E. Parmentierlaan, 48 - 1150 Bruxelles Présidence : Nicolas Bieliavsky | courriel : nbieliavsky at skynet dot be | tél. : +32 (0)60 39 10 27 Secrétariat : André Schorochoff | courriel : a.schoro at skynet dot be | tél. : +32 (0)2 384 37 40 Banque : ING 310-1446138-51 (IBAN: BE75310144613851 BIC: BBRUBEBB)
|
|
| 145) |
le jeudi 1 décembre 2005
|
Catégorie : Histoire |
Type : Revue périodique |
Revue FPPR n°2 (décembre 2005)
Nicolas Bieliavsky Fondation pour la Préservation du Patrimoine Russe dans l'Union Européenne Sommaire :
Editorial. Daniel Stevens, Président de la Fondation In memoriam. Vladimir Evguenievitch Drachoussoff, André Giorgévitch Iovleff et Alexeï Ivanovitch Sachnovsky nous ont quittés. Cérémonie au Club Prince Albert Histoire de la drougina. Cyrille Kharkevitch Biographie créatrice d'Alexandre Iacovleff en Belgique. Nadiejda Avdioucheva-Lecomte, traduit par Nicolas Bieliavsky Récit autobiographique de Victor Vladimirovitch Teviachoff. Traduction et notes de Nicolas Bieliavsky. Retrouvailles ancestrales (Eté 2003). Docteur Serge Orloff Un évêque russe en Belgique : Mgr Basile Krivochéïne (1900-1985). Serge Model L'Eglise Saint-Georges de Iouriev-Polskoi et l'architecture de Vladimir-Souzdal. Jean Blankoff
Gratuite pour les membres FPPR 2012 (40 €) mais 15 €+ frais d'envoi pour les non-membres. Siège social : avenue E. Parmentierlaan, 48 - 1150 Bruxelles Présidence : Nicolas Bieliavsky | courriel : nbieliavsky at skynet dot be | tél. : +32 (0)60 39 10 27 Secrétariat : André Schorochoff | courriel : a.schoro at skynet dot be | tél. : +32 (0)2 384 37 40 Banque : ING 310-1446138-51 (IBAN: BE75310144613851 BIC: BBRUBEBB)
|
|
| 146) |
le dimanche 1 décembre 2002
|
Catégorie : Histoire |
Type : Revue périodique |
FPPR, avenue E. Parmentierlaan 48, 1150 Bruxelles
Revue FPPR n°1 (décembre 2002)
Nicolas Bieliavsky Fondation pour la Préservation du Patrimoine Russe dans l'Union Européenne Sommaire : Présentation générale de la Revue. Daniel Stevens, Président de la Fondation Editorial de la Rédaction. Nicolas Bieliavsky, Directeur de la Rédaction La FPPR, son histoire — ses buts — ses projets concrets. Deux exemples de son action. Daniel Stevens, Président de la Fondation Novgorod le Grand. Anatomie d'une métropole médiévale russe. Jean Blankoff, Professeur honoraire à l'ULB La mission de protection de la Famille Impériale en Crimée par un commando d'officiers du régiment de la Garde Impériale de Pétrograd. Serge Apoukhtine. Introduction, traduction et notes de Nicolas Bieliavsky. Classification des archives placées en dépôt ou donnée au Musée Royal de l'Armée et d'Histoire Militaire par des personnes ayant émigré de Russie entre 1917 et 1940. Nicolas Bieliavsky Du bon voisinage à la coopération. Brève réflexion sur le dialogue euro-russe. Laetitia Spetschinsky, Assistante de recherches à l'Institut d'Etudes Européennes, UCL.
Note : ce numéro étant épuisé, une copie scannée au format image .jpg est offerte en album d'images.
Siège social : avenue E. Parmentierlaan, 48 - 1150 Bruxelles Présidence : Nicolas Bieliavsky | courriel : nbieliavsky at skynet dot be | tél. : +32 (0)60 39 10 27 Secrétariat : André Schorochoff | courriel : a.schoro at skynet dot be | tél. : +32 (0)2 384 37 40 Banque : ING 310-1446138-51 (IBAN: BE75310144613851 BIC: BBRUBEBB)
Сайт/Site : http://www.e-federations.com/revue/revue-Album-Images.htm
|
|
Calendrier /
Affiches du mois
|
Livre d'or →
consultation /
signature
|
Enquête →
besoins des contacts
|
Bordereau →
notice (réservé)
|
inscription |
Liens →
agenda similaires | livres-souvenirs
|
|
In memoriam Варвара Фёдоровна Протасова, Орёлъ, Россiя (1867-11-10 - 1942-08-23)
|
|
|
|
|
|
|
|
|
|
|
|
|
|
|
|
|
| |