| 1) |
le dimanche 10 juin 2018 de 15:00 à 18:00
|
|
Type : Concert |
Espace Lumen, chaussée de Boendael 28, 1050 Bruxelles (Ixelles)
Отчётный концерт « Цирк, цирк, цирк ». Concert de fin d'année.
 Concert de fin d'année « Impuls ». |
Organisé par Dance Sport Center "Impuls" Brussels Détails Центр ИМПУЛЬС рад пригласить всех своих друзей, учеников и их родителей на отчётный концерт «Цирк, цирк, цирк» На празднике Вас ждёт↘ ✔ яркий танцевальный спектакль с участие детей и взрослых центра "Импульс", а также приглашенных артистов ✔ творческие мастер-классы по созданию шедевров своими руками ✔ аквагрим ✔ фотозона с фотографом ✔ бар
Приходите всей семьёй и зовите друзей! Продажа билетов начинается с 14 мая (только для Импульс) с 20 мая (для всех желающих) 0486 66 31 82 - Юлия / 0488 18 83 15 - Анастасия impuls.be at gmail.com
Сайт/Site : http://www.center-impuls.be/
|
| 2) |
le vendredi 1 juin 2018 date à préciser
|
Catégorie : Célébration |
Type : Littérature |
Centre Culturel et Scientifique auprès de la Russie à Bruxelles, rue du Méridien 21, 1210 Bruxelles (Saint-Josse-ten-Noode)
Bicentenaire de la naissance d’Ivan Tourgueniev.
Club culturel belgo-russe, asbl | Belgische Russische Cultureel Club, vzw | Русско-Бельгийский културный Клуб
Renseignements : Michel De Grave, président, 02 469 28 76 / 0478 53 73 73 / belcanto.eu at skynet.be
|
| 3) |
le vendredi 1 juin 2018 om 20:15' uur
|
Catégorie : Concert |
Type : Musique |
|
| 4) |
du samedi 2 juin 2018 au dimanche 3 juin 2018 le 2 juin à 20:45' et le 3 juin à 16 heures
|
|
|
Devant la Villa Viardot, Quai Yvan Tourgueneff, Bougival
Concert chorale et orchestre - Saison russe.
 Bougival. Concert chorale et orchestre - Saison russe |
Saison russe : Bicentenaire de la naissance d'Ivan Tourguéniev. Concert du Conservatoire de Bougival devant la Villa Viardot et le Musée Tourgueniev, au sommet de la colline des impressionnistes Quai Yvan Tourgueneff. Saison du conservatoire. Le Conservatoire prête ses voix et ses instruments, en ce lieu du souvenir de nos plus illustres bougivalais. Concert avec les musiques entendues dans les salons de Pauline et d'Ivan. Mozart, Rossini, Gounod., Bizet, Fauré, et surtout : Viardot !
|
| 5) |
le samedi 2 juin 2018 à 20.15' uur
|
Catégorie : Musique et poésie |
Type : Soirée |
Afkikker / Klimop, Sint-Kwitensberg 52, 9000 Gent
In de Wandelgangen van het Geheugen.
 In de Wandelgangen van het Geheugen, met Olga Mentchik aan de vleugel. |
met Olga Mentchik aan de vleugel met dank an de stad Gent Beste mensen! Graag nodig ik u uit voor een volgend concert in Afkikker op zaterdag 2 juni om 20.15 u. In de Wandelgangen van het Geheugen De namen van de dichters zijn vermeld op de affiche hierbij ingevoegd : M. Tzvetaeva, A. Achmatova, S Revda, J. Daisne, W. Verraes, G. v. Hoof, R Ruttenberg, E. V. Franssens, L. As. Misschien tot 2 juni, dan kleuren we blauw, Groetjes, Olga.
6 €
|
| 6) |
le samedi 2 juin 2018 à 18 heures
|
Catégorie : Concert |
Type : Musique |
Trésor de la cathédrale de Liège, rue Bonne Fortune 6, 4000 Liège
Les concerts du Trésor : Darina Vasileva et Peter Petrov.
 Les concerts du Trésor. Darina Vasileva et Peter Petrov. |
Darina Vassileva à la clarinette et Peter Petrov, piano à quatre mains. Ces deux merveilleux musiciens nous reviennent au Trésor pour partager avec nous de magnifiques moments de la musique dédiée au répertoire du piano à quatre mains. Des instants privilégiés à ne pas manquer.
Paf. 8 € Renseignements : paul.huvelle at tresordeliege
|
| 7) |
le samedi 2 juin 2018 à 19 heures
|
|
|
Gemeenschapscentrum Den Dam Waversesteenweg 1741, 1160 Bruxelles (Auderghem)
SJOOT.
 Auderghem. SJOOT. |
Organisé par Marina Novikova Beste vrienden, Russisch Huis en Interculturele Feestgroep nodigen u hartelijk uit naar de activiteit SJOOT op 2 juni.
Programm : 19uur buffet 20uur animatie 21uur live show van Frankrijh; 22uur After Party Complete infrastructuur, animatie, verrassingen, een speciale gast van de avond!
Toegang gratis. Met steun van VGC, gemente Oudergem, Villemsfond en GC Den Dam
Сайт/Site : https://www.facebook.com/events/440459266411562/
|
| 8) |
le samedi 2 juin 2018
|
|
Type : Spectacle |
Théâtre du Grenier de Bougival, rue du Général Leclerc 7, F-78380 Bougival
Sur la grande-route d'Anton Tchekhov.
 Saison russe. Sur la grande-route d'Anton Tchekhov. |
Saison russe : Bicentenaire de la naissance d'Ivan Tourguéniev. Ivan Tourguéniev, Homme de Paix Célébrations pour le bicentenaire de la naissance d'Ivan Tourguéniev (1818-1883) Samedi 2 juin et dimanche 3 juin – 16h, concert chorale et orchestre devant la villa Viardot et le musée Ivan Tourguéniev, saison du conservatoire Samedi 2 juin – à 20h45 / dimanche 3 juin - 16h, Sur la grand-route, théâtre, Cie Grains de scène, d’après Anton Tchékhov Mardi 19 juin – 20H45, Duo russe, musique, Tatiana Vyatkina et Alexandre Vyatkine
http://fra.1september.ru/article.php?ID=200802011
Сайт/Site : https://www.bougivaltourgueniev.com/programmation-culturellehttps://www.facebook.com/events/1579132388850529/
|
| 9) |
le samedi 2 juin 2018 в 14:00 (15:00 Московского времени)
|
Catégorie : Enchères |
Type : Vente |
Hôtel Drouot, Salle 15 - Drouot-Richelieu, rue Drouot 9, F-75009 Paris
Vente Art russe.
 Paris Hôtel Drouot. Vente Art russe, par Gamaliy. |
Дорогие друзья! Приглашаем вас принять участие в нашем традиционном аукционе ART RUSSE Приходите. Будем рады вам! Chers amis de la culture et de l’histoire russe! Nous vous invitons à notre vente aux enchères Art Russe
По всем вопросам, пожалуйста, обращайтесь к Александре Гамалий : alex.gamaliy at gmail.com / +33 677074811
Catalogue : http://catalogue.gazette-drouot.com/pdf/91/91606/MW020618.pdf?id=91606&cp=91
|
| 10) |
du samedi 2 juin 2018 au dimanche 3 juin 2018 à 7.30 – 22.00
|
Catégorie : Excursion |
Type : Tourisme |
|
Отправление : 7:30 – Брюссель, Автобусная станция Северного Вокзала « Euroline », gare du Nord
Автобусная экскурсия : Прекрасный Париж.
 Автобусная экскурсия. Прекрасный Париж. Source : pinkwaterselect.com. |
С русскоговорящим экскурсоводом Корнеевой Татьяной Новый экскурсионный сезон 2018. Первый день : Автобусная прогулка по Парижу - основные достопримечательности города - Посещение музея духов Fragonard, где можно приобрести духи по ценам производителя в подарок для себя и близких - Посещение Базилики Sacré-Coeur, прогулка по Монмартр, свободное время. - Экскурсия в Нотр-Дам - Посещение Пантеона - Прогулка по Латинскому Кварталу, Сорбонна - Размещение в отеле - Вечерний Монмартр - Кабаре Молен Руж , по желанию – цена 110 евро / чел.
Второй день : - Музей Пикассо - Прогулка у Эйфелевой Башни, Троккадейро, - мост Александра 1, Малый Дворец - Триумфальная Арка - Елисейские Поля, свободное время - Часовая прогулка на экскурсионном корабле по Сене
Цена : 185 Евро / место / Предоплата 85 евро Резервация мест по тел : 0484 69 36 07 / 0485 55 38 61
En tournée :
|
| 11) |
le samedi 2 juin 2018 Начало в 19:00
|
Catégorie : Conférence |
Type : Réunion |
Культурный центр Pole Nord, сhaussée d’Anvers 208, 1000 Bruxelles
Вечер/лекция писательницы Татьяны Толстой.
 Вечер/лекция писательницы Татьяны Толстой. |
Organisé par Встречи друзей приглашают Дорогие друзья! Вечер/лекция писательницы Татьяны Толстой « Родной язык в условиях эмиграции » состоится в Брюсселе, 2 июня, в субботу. Как меняется современный русский язык, стоит ли бороться с новоязом или принять это как данность, как сохранить родной язык живя за границей - эти и другие темы обсудит в своей лекции Татьяна Никитична. Вечер проходит в рамках проекта « Встречи друзей приглашают » - интересные собеседники приезжают в Брюссель, чтобы встретиться с участниками нашей группы. Во второй части вечера - ответы на вопросы из зала, всё как мы любим. Готовьте вопросы) Работает буфет До встречи!!!
Зал небольшой, количество место ограничено. Поэтому очень советую приобрести билеты заранее. Цена билета - 25 евро. Как всегда предолата. Счёт BE47 7512 0889 3580, Для кого - VD Ontmoetingen onder vrienden Большая просьба при переводе денег указать ваше фамилию и имя. А так же прислать мне сообщение в ФБ, обязательно с email. Предоплата - это единственный способ зарезервировать места на этот вечер.
Сайт/Site : https://www.facebook.com/vstrechidruzey/
|
| 12) |
le samedi 2 juin 2018 в 18 часов
|
Catégorie : Bardes |
Type : Soirée |
Possev, Flurscheideweg 15, D - 65936 Frankfurt am Main (Sossenheim)
Праздничный вечер « Спаси и сохрани ».
 Праздничный вечер « Спаси и сохрани ». |
К 20-ЛЕТИЮ Международного проекта « Спаси и сохрани ». Арт-фестиваль « БРИЛЛИАНТОВЫЙ ДЮК » ПРИГЛАШАЕТ НА ПРАЗДНИЧНЫЙ ВЕЧЕР.
ПЕРВЫЙ ДЕНЬ В программе : Поэзия, бардовская песня, из истории проекта, презентация Антологии поэзии года 2018 « ЮЖНОЕ СОЛНЦЕ ». ЛАУРЕАТЫ И ДРУЗЬЯ ПРОЕКТА, ГОСТИ, ДОБРО ПОЖАЛОВАТЬ! В ПРОГРАММЕ БЛИСТАТЕЛЬНЫЕ НАТАЛИ БИССО, ЕЛЕНА ГОТЗЕЛИГ, ЕЛЕНА МАКСАКОВА, ИГОРЬ БАУЛИН, МАКСИМ БАУЛИН, РАЙНХАРД АУЭР ИЗ ВЕНЫ, ДУЭТ ВИКТОР И ГАЛИНА, БАРДЫ (записываем имена)
Это - выездной Арт-фестиваль проекта им. де РИШЕЛЬЕ в Клубе "ПОСЕВ" во ФРАНКФУРТЕ в продолжение фестивалей 2017 года - в Одессе, сентябрь, Израиль - ноябрь, Австрия - декабрь, Канада, США - декабрь Израиль - май, 2018 Одесса - сентябрь. 2018
ВТОРОЙ ДЕНЬ, 4 ИЮНЯ ГЕНЕРАЛЬНАЯ РЕПЕТИЦИЯ С ПУБЛИКОЙ « СКАЗ ПРО ФЕДОТА СТРЕЛЬЦА УДАЛОГО МОЛОДЦА » В ГЕМАЙНДЕ (по отдельному объявлению).
Ждём Вас, дорогие друзья!!! С хорошим настроением, гитарами, стихотворениями, песнями, шутками, улыбками!!! КУРАТОР - ЕЛЕНА АНАНЬЕВА Буду рада видеть Вас!!!
План местности/Plan d'accès : Russischer Klub Possev
|
| 13) |
le dimanche 3 juin 2018 de 10 à 11 heures
|
Catégorie : Langue russe |
Type : Cours |
CSC Les Hirondelles, place Albert 1er 1, 1400 Nivelles
Atelier de langue russe.
 Nivelles. Atelier de langue russe. Organisé par CSC Les Hirondelles. |
Organisé par CSC Les Hirondelles Cours de russe - Niveau débutant Au petit comble du Centre Culturel de Nivelles
Infos et inscription : info at cscleshirondelles.be ou 0489/ 53 82 75 Olesya
Сайт/Site : https://www.facebook.com/events/575112246154442/
|
| 14) |
le dimanche 3 juin 2018 à 12 heures
|
Catégorie : Musée |
Type : Visite |
Встреча в Музее Пятидесятилетия (Parc du Cinquantenaire 10, 1000 Bruxelles) у билетных касс.
Семейное занятие в музее « Игрушечная история ».
Семейное занятие в музее « Игрушечная история ». |
Приглашаем отпраздновать окончание "Кругосветного музейного путешествия" знакомством с играми прошлого. Знаете ли вы, во что играли в Древнем Египте? Какие игрушки были популярны в Античности? Из чего делали мяч или куклу? Настольные и ролевые, спортивные и интеллектуальные, на ловкость и внимательность, хорошо знакомые и ранее неизвестные. Осваивать эту тему мы будем играючи, а в музейной мастерской желающие создадут, пожалуй, древнейшую в мире настольную игру "сенет" или куклу-оберег из ниток. Присоединяйтесь, скучно не будет! До скорых встреч! Ирина Донченко – арт-гид, тренер по развитию эмоционального интеллекта, Антонина Ругалова – администратор
Координатор Наталья Круткене, natalija.krutkiene at gmail.com, тел.: 0476 95 40 83. Цена – €15/ребенок и €5/взрослый (входные билеты для взрослых не включены). Оплата на счёт : BE52 0689 0487 2409, vzw ARiNA-museum voor iedereen с указанием фамилии участника и даты мероприятия. Для владельцев абонементов – участие бесплатно и входит в стоимость.
https://mailchi.mp/a33587ac4e1b/gwu7jqln50?e=7776bbd156 Запись по ссылке : https://www.signupgenius.com/go/5080e45aba722a46-toystory2
|
| 15) |
le lundi 4 juin 2018 de 18h - 20h00
|
Catégorie : Histoire |
Type : Conférence |
Université Paris I, salle Cavaillès, rue de la Sorbonne 17, F-75005 Paris
A la recherche d’un messie : Barbusse, Merejkovski, Robakidze.
 Conférence d'Alexandre Stroev => A la recherche d’un messie : Barbusse, Merejkovski, Robakidze. |
Conférence par Alexandre Stroev Séminaire : « L'idée russe **** aux idées occidentales" »2017-2018. Le séminaire est organisé avec le soutien du CHSPM et du LabEx COMOD Organisateurs : Stéphanie Roza, Igor Sokologorsky, Thomas Van Der Hallen
Entrée libre sur inscription préalable : igorsokologorsky at yahoo.fr ; thomas.vanderhallen at gmail.com
Сайт/Site : https://www.facebook.com/events/1931127883880430
|
| 16) |
le mardi 5 juin 2018 à19 heures
|
Catégorie : Livre |
Type : Présentation |
Thon Hôtel Stéphanie, avenue Louise 91-93, 1050 Bruxelles
France, le moment politique, sous titré : manifeste écologique et social.
 Hervé Juvin => France, le moment politique, sous titré manifeste écologique et social. |
par Hervé Juvin Organisé par le Cercle Pol Vandromme Le Cercle Pol Vandromme reçoit Hervé Juvin sur le thème de son dernier livre où il affirme : L’histoire et la politique sont de retour. Economiste et essayiste, Hervé Juvin rompt simultanément avec le déclinisme débilitant et le mondialisme mortifère et renvoie dos à dos les désespérés et les optimistes béats. « France, le moment politique » sous titré « manifeste écologique et social » est un plaidoyer d’un Français pour la France qui vaut, bien sûr, pour tous les pays européens. L’équipe du Cercle Pol Vandromme.
Inscription obligatoire par courriel : cerclepolvandromme at gmail.com
|
| 17) |
le mercredi 6 juin 2018 at 18:30'
|
Catégorie : Film |
Type : Cinema |
The meeting point is at 18.00 in front of the Parliament (Place Luxembourg), 1040 Bruxelles
Movie Sobibor. Собибор.
 Sobibor. Собибор. |
A Konstantin Khabensky film with Christopher Lambert, Michalina Olszanska, Felice Jankell and Maria Kozhevnikova. Based on a true story of the largest prisoner escape from a WWII nazi death camp. Добрый день! Приглашаем Вас на бесплатный показ фильма « Собибор » Константина Хабенского, который пройдёт в Европейском парламенте (rue Wiertz 60, 1040 Brussels) в Брюсселе 6 июня в 18:30. Фильм будет показан на оригинальных языках (30% на русском, будет также звучать польский, голландский и другие), с английскими субтитрами. Для оформления пропуска в зданиие Европарламента просим Вас выслать скан Вашего паспорта или ID. Всех заинтересованных в просмотре будем ждать у входа в Европарламент (cо стороны площади Luxembourg) 6 июня в 18:00, обязательно наличие паспорта или ID.
Dear friends, dear colleagues! We invite you to watch the film « Sobibor » on 6th June 18.30 in the European Parliament, that is organised by the Member of the European Parliament. Mr. Miroslav Mitrofanov. If you are interested to participate, please send your Passport details to Ms. Yulia Satirova to make a Pass according to the Attached file and Passport or ID picture. Please bring Passport/ ID with you. You can also invite your colleagues! Best regards, Lukiana Suvorova
Контактный телефон: +32 485678913 Юлия; +32 475669626 Любовь или yulia.satirova at europarl.europ a.eu
|
| 18) |
le mercredi 6 juin 2018 в 12 часов 454
|
Catégorie : Musée |
Type : Visite |
Вход в музей по адресу : rue de la Régence / Regentschapsstraat 3, 1000 Bruxelles
Экскурсия « Эпоха перемен. Питер Брейгель Мужицкий ».
 Экскурсия « Эпоха перемен. Питер Брейгель Мужицкий ». |
Традиционная встреча в первую среду июня будет посвящена творчеству художника, о котором до нас дошло крайне мало достоверных фактов. Питер Брейгель не оставил никаких личных записей об искусстве, о собственном творческом процессе, о времени в котором жил. Знаем лишь где и когда похоронен, и что не дожил до 40… Вот только картины, с его подписью утверждают, что, изображая сцены из народной жизни, "мужицким" он не был, скорее, философом и человеком высокообразованным. Ему были присущи ирония и скепсис, но не было презрениея к людям. Знакомство с полотнами из коллекции Старых Мастеров позволит задуматься над вопросами: был ли он такой же моралист, как его предшественник Босх? Осуждал ли он человечество или посмеивался над ним? Один ли он из многих? Или все же стоял особняком? До скорых встреч! Ирина Донченко – арт-гид, тренер по развитию эмоционального интеллекта, Антонина Ругалова – администратор
Цена – €20/чел, €15/чел для пенсионеров. Реквизиты: IBAN: BE52 0689 0487 2409, vzw "ARiNA-museum voor iedereen". Встреча в 12ч45 в холле Форум (зал за билетными кассами).
Сайт/Site : https://www.facebook.com/events/209104943203386/
|
| 19) |
le jeudi 7 juin 2018 de 12h à 14h
|
|
|
au Cercle Royal Gaulois Artistique & Littéraire, rue de La Loi 5, 1000 Bruxelles
Au cœur du Kremlin.
 Logo Vladimir Fédorovski |
par Vladimir Fédorovski Les rencontres de L'Eventail de ce mois. Ancien diplomate russe, essayiste et historien, Vladimir Fédorovski nous emmène dans le monde mystérieux et inquiétant du Kremlin de Poutine. Une plongée inédite à partir d’archives confidentielles et de témoignages au cœur du KGB. Luttes sanglantes pour le pouvoir, règlements de compte et machinations diaboliques en tous genres. Esprits faibles s’abstenir! L'entretien sera mené par Marcel Croës.
55 € Modalités d’inscription, fwallyn at eventail.be ou au (02) 774 42 03.
|
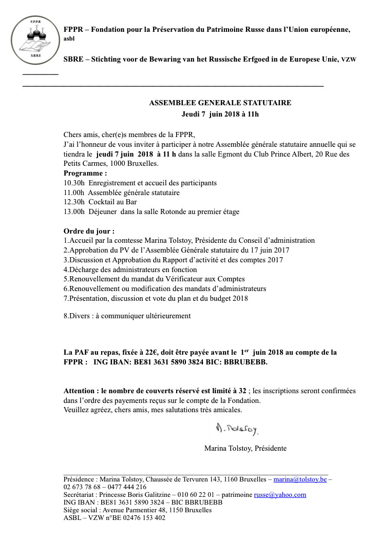
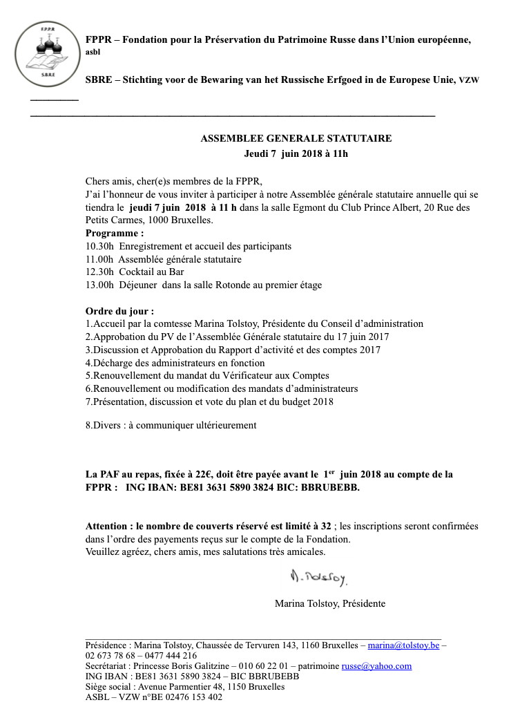
| 20) |
le jeudi 7 juin 2018 à 11 heures
|
Catégorie : Réunion |
Type : Associations |
Club Prince Albert, Salle Egmont, rue des Petits Carmes 20, 1000 Bruxelles
FPPR - Assemblée générale statutaire 2018.
 Assemblée générale statutaire 2018. |
Fondation pour la Préservation du Patrimoine Russe dans l’Union européenne, asbl
Stichting voor de Bewaring van het Russische Erfgoed in de Europese Unie, VZW FPPR – Fondation pour la Préservation du Patrimoine Russe dans l’Union européenne, asbl SBRE – Stichting voor de Bewaring van het Russische Erfgoed in de Europese Unie, VZW ________ ___________________________________________________________________ Chers amis, cher(e)s membres de la FPPR, J’ai l’honneur de vous inviter à participer à notre Assemblée générale statutaire annuelle qui se tiendra le jeudi 7 juin 2018 à 11 h dans la salle Egmont du Club Prince Albert, 20 Rue des Petits Carmes, 1000 Bruxelles. Programme : 10.30h Enregistrement et accueil des participants 11.00h Assemblée générale statutaire 12.30h Cocktail au Bar Ordre du jour : 1. Accueil par la comtesse Marina Tolstoy, Présidente du Conseil d’administration ; 2. Approbation du PV de l’Assemblée Générale statutaire du 17 juin 2017 ; 3. Discussion et Approbation du Rapport d’activité et des comptes 2017 ; 4. Décharge des administrateurs en fonction ; 5. Renouvellement du mandat du Vérificateur aux Comptes ; 6. Renouvellement ou modification des mandats d’administrateurs ; 7. Présentation, discussion et vote du plan et du budget 2018 ; 8. Divers : à communiquer ultérieurement. Veuillez agréez, chers amis, mes salutations très amicales. Marina Tolstoy, Présidente
Présidence : Marina Tolstoy, Chaussée de Tervuren 143, 1160 Bruxelles – marina at tolstoy.be – 02 673 78 68 – 0477 444 216 Secrétariat : Princesse Boris Galitzine – 010 60 22 01 – patrimoine russe at yahoo.com ING IBAN : BE81 3631 5890 3824 – BIC BBRUBEBBS Siège social : Avenue Parmentier 48, 1150 Bruxelles | ASBL – VZW n°BE 02476 153 402
|
| 21) |
le jeudi 7 juin 2018 van 19:00 tot 22:00
|
|
Type : Opera |
OC De Schans, Rode Kruisplein, 3940 Hechtel-Eksel Genk, C-Mine – Euroscoop
Opera in de Cinema : Boris Godounov.
 vtbKultuur. Hechtel-Eksel. Opera in de Cinema : Boris Godounov. |
Organisatie : vtbKultuur Leopoldsburg/Hechtel-Eksel Een opera van Modest Moessorgski op 7 juni in Euroscoop Genk, live vanuit de Opera Bastille Toen Poesjkin in 1824 met 'Boris Godounov' aan zijn eerste historische drama begon, wist hij niet echt aan welk gigantisch werk hij zich mocht verwachten. Gewapend met een lezing van Shakespeare zal hij zich wagen aan de intense periode tijdens het koninkrijk van de “Tsaar van alle Ruslanden” (1598-1605). Eigenlijk zit er wat MacBeth in dit politieke verhaal, waarin Boris het wezen van het kind dat hij heeft laten vermoorden om de troon te veroveren ziet verschijnen onder de vorm van een indringer. Moessorgski schreef hiervan in 1869 een eerste operaversie in vier delen (zeven tonelen), maar deze werd afgewezen door de leiding van de keizerlijke schouwburg. Daar deze opera dieper op de materie inging en veel intenser was dan de Italiaanse opera die in zwang was in die tijd, constateerde de schouwburg een gemis aan dramatische basiselementen, zoals een vrouwelijk hoofdpersonage en daardoor het ontbreken van amoureuze intriges. Het is opvallend dat de opera niet om politieke redenen werd gecensureerd, aangezien in dit werk niemand over iets anders spreekt dan over politiek. In die tijd had Poesjkin echter zo'n onaantastbare positie, dat het niet meer mogelijk was zijn werk te censureren.
Prijs : € 17,0 Reservaties : bel naar 0470 20 53 05 / rosina at rosina-johan.be
Сайт/Site : https://www.vtbkultuur.be/leopoldsburg-hechtel-eksel/activiteiten/opera-in-de-cinema-boris-godounov/datum/5471/inschrijven
|
| 22) |
le vendredi 8 juin 2018
|
Catégorie : Biographie |
Type : Littérature |
Le Soir, rue Royale 100, 1000 Bruxelles
Pouchkine, le poète de l’âme russe à jamais célébré.
Benjamin Quenelle => Pouchkine, le poète de l’âme russe à jamais célébré (Le Soir). |
Mis en ligne le 8/06/2018 à 17:10 par Benjamin Quenelle Reportage à Mikhaïlovskoe où cette semaine, comme pour tous les 6 juin, des Russes ont fait le voyage afin de fêter l’anniversaire de la naissance du plus célèbre de leurs auteurs Illustration : Revivre la litterature de Pouchkine, loin des programmes scolaires. - B.Q. Large et ironique sourire aux lèvres, Ioulia Glebova est partie cette semaine célébrer la naissance du plus connu et respecté des poètes russes. « Pouchkine, hier comme aujourd’hui, c’est encore et toujours un peu notre soif de la liberté ! » Direction : Mikhaïlovskoe. Dans ce coin de campagne à quelque 800 km de Moscou, près de la frontière avec l'Europe, Alexandre pouchkine s'est enracinéet inspiré. Tous les ans, des foules plus ou moins nombreuses de russes s'y rendent le 6 juin, jour d'anniversaire du poète. • • • • • •
Vous désirez lire la suite de cet article ? 1€ pour 1 mois (sans engagement)
Сайт/Site : https://plus.lesoir.be/161529/article/2018-06-08/pouchkine-le-poete-de-lame-russe-jamais-celebre
|
| 23) |
le samedi 9 juin 2018 à 15 heures
|
Catégorie : Anniversaire |
Type : Commémoration |
Place Pouchkine, boulevard Emile Bockstael, 1020 Bruxelles (Laeken)
Commémoration de l'anniversaire d'Alexandre Pouchkine.
 Schrijver Alexander Poesjkin Viering 2018 |
Het Willemsfonds Laken en de Internationale Stichting Alexander Poesjkin Le Willemsfonds Laeken et la Fondation internationale Alexandre Pouchkine vous invitent à leur commémoration en plein air autour du monument Pouchkine. L’hommage aura lieu le samedi 9 juin à 15 heures à la Place Pouchkine à Laeken.
Le thème central cette année est « Les héritiers de Pouchkine » Au programme : poésies de Pouchkine en néerlandais, français et russe. La célébration est ponctuée d’un intermezzo musical (Slavis Besedin - solist « Wiener Staasoper »), suivi d’un hommage fleuri. Une réception suivra au GC Nekkersdal.
Alexandre Pouchkine a eu quatre enfants. Son fils aîné, Aleksandr Aleksandrovich Pouchkine, aurait eu en tout pas moins de 13 enfants. De son premier mariage est issue Maria Aleksandrova Pouchkina, dont l’arrière-petite-fille vit aujourd’hui à Uccle. Elle est mariée avec l’arrière-petit-fils de Maria Aleksandrova Pavlova, la deuxième femme du fils aîné de Pouchkine.
Het Willemsfonds Laken en de Internationale Stichting Alexander Poesjkin nodigen u uit op hun jaarlijkse openluchtviering rond het Poesjkinmonument. De Poesjkinviering vindt plaats op zaterdag 9 juni om 15 uur op het Poesjkinplein in Laken.
Het centrale thema dit jaar is « de nazaten van Poesjkin ». Op het programma staan voordrachten uit de poëzie van Poesjkin in het Nederlands, Frans en Russisch. De viering wordt opgeluisterd door een muzikaal intermezzo, gevolgd door een bloemenhulde. Aansluitend is er een gezellige receptie in het GC Nekkersdal.
Aleksandr Poesjkin had vier kinderen. Zijn oudste zoon Aleksandr Aleksandrovich Poesjkin zou in totaal niet minder dan 13 kinderen krijgen. Uit zijn eerste huwelijk kwam Maria Aleksandrova Pushkina wiens achterkleinkind vandaag in Ukkel leeft. Zij is getrouwd met de achterkleinzoon van Maria Aleksandrova Pavlova, de tweede vrouw van Poesjkins oudste zoon.
Participation gratuite/Gratis toegang. Inscription souhaitée/Graag inschrijven via info at elsampe.be of 02 549 65 22
http://spasibo-magazine.com/article/poesjkinviering-hommage-pouchkine
|
| 24) |
le samedi 9 juin 2018 de 15 à 17 heures
|
Catégorie : Langue russe |
Type : Conversation |
Centre Culturel de Nivelles (au petit comble), place Albert 1er 1, 1400 Nivelles
Table de conversation russe.
 Nivelles. Table de conversation russe. Organisée par CSC Les Hirondelles. |
Animatrice : Olga Bainova Organisé par CSC Les Hirondelles et Centre de langue et de culture russes de l'UMONS L’association russophone de Nivelles Les Hirondelles et le Centre russe de l’Université de Mons vous invitent à leurs séances de tables de conversation en russe, ouvertes à tous et gratuites. Ces ateliers pratiques de langue russe vous aideront à améliorer votre expression orale et à enrichir votre vocabulaire. Ils s’adressent à deux niveaux : débutant, A1/A2, et avancé, A2/B1, selon l’échelle de CECR (Cadre européen commun de référence pour les langues). Les tables de conversation se déroulent dans une ambiance conviviale et se basent sur des thématiques touchant à la vie quotidienne (niveau A1/A2) et des sujets plus abstraits qui seront annoncés à l’avance (niveau A2/B1).
Gratuit Pour de plus amples informations, veuillez consulter le site du Centre russe de l’Université de Mons ci-dessous
Сайт/Site : http://hosting.umons.ac.be/php/centrerusse/events/tables-de-conversation-a-nivelles-niveau-a1-a2">https://www.facebook.com/events/197650664145927/">http://hosting.umons.ac.be/php/centrerusse/events/tables-de-conversation-a-nivelles-niveau-a1-a2
|
| 25) |
le samedi 9 juin 2018 в 14 часов до 16.30
|
Catégorie : Affaires |
Type : Séminaire |
FincomAudit на Clos du Parnasse, Европейский квартал, 1050 Bruxelles (Ixelles)
Всё, что вы хотели узнать о ведении вашего бизнеса в Бельгии, но не знали у кого спросить
Добрый день, Уважаемые Самозанятые и предприниматели.)) ВОЗМОЖНО, ВАМ ПРИГОДИТСЯ ЭТОТ СЕМИНАР NGO European Platform for Advanced Women совместно с компанией фин. консультантов Fincom Audit ПРИГЛАШАЕТ НА СЕМИНАР из новой серии деловых встреч FIN-PARTY: ТЕМЫ для обсуждения : 1. Индивидуальное предпринимательство и коммерческие предприятия - выбор юридической формы и детальный анализ структуры затрат. 2. Взносы соц. страхования частных предпринимателей. Оптимальный путь их расчётов. Оплата взносов и перспектива финансового планирования вашей деятельности и расходов. ВОПРОСЫ аудитории И ОТВЕТЫ. (30 мин.) Семинар на 2,5 ч. С перерывом на 20 мин. (Кофе-пауза). Мы хотим сделать небольшое мероприятие, с возможностью уделить максимум внимания всем участникам. С наилучшими, Маргарита
Группа - мах. -12-15 участников. Цена 40 евро. ПРЕДОПЛАТА Интересно? Пишите epawpresident at gmail.com
|
| 26) |
le samedi 9 juin 2018 в 19 часов
|
Catégorie : Théâtre |
Type : Spectacle |
De Schouwburg van Luchtbal, Columbiastraat 8 A, 2030 Antwerpen
Один мужчина и одна женщина.
Весь мир – театр. | Один мужчина и одна женщина. |
Театр Комиссаржевской из Санкт-Петербурга приглашает в Антверпен на представление по пьесам Татьяны Москвиной. Разные судьбы, разные ситуации, от смешных и нелепых до грустных и почти трагичных. Любой из зрителей узнает в одном из персонажей себя, или своего приятеля или соседку, или коллегу по работе. Ждём вас в культурном центре « De Schouwburg van Luchtbal ».
Стоимость билета – €25. Предварительная оплата на счёт BE75 0017 6147 6651, BIC : GEBABEBB, Dialoog fv. Более подробная информация и резервирование по тел : 0484 73 81 58 (Наталья).
RC Page Internet. ARINA. Фестиваль « Брюссельские маски ». 2018-04-29.jpg
|
| 27) |
le dimanche 10 juin 2018 de 10 à 11 heures
|
Catégorie : Langue russe |
Type : Cours |
|
CSC Les Hirondelles, place Albert 1er 1, 1400 Nivelles
Atelier de langue russe.
 Nivelles. Atelier de langue russe. Organisé par CSC Les Hirondelles. |
Organisé par CSC Les Hirondelles Cours de russe - Niveau débutant Au petit comble du Centre Culturel de Nivelles
Infos et inscription : info at cscleshirondelles.be ou 0489/ 53 82 75 Olesya
Сайт/Site : https://www.facebook.com/events/575112246154442/
En tournée :
|
1400 Nivelles
| dimanche
3
juin 2018 |
de 10 à 11 heures
|
|
1400 Nivelles
| dimanche
10
juin 2018 |
de 10 à 11 heures
|
|
1400 Nivelles
| dimanche
17
juin 2018 |
de 10 à 11 heures
|
|
1400 Nivelles
| samedi
23
juin 2018 |
de 10 à 11 heures
|
|
| 28) |
le dimanche 10 juin 2018
|
Catégorie : Ballet |
Type : Spectacle |
Kinepolis
Ballet Live 2018 : Coppélia.
 Kinepolis. Ballet Live 2018 : Coppélia. |
Durée : 165 minutes Le Ballet au Cinéma: saison 2017 - 2018 Ce ballet assure de finir la saison en beauté sur une note comique et loufoque ! La version du Bolchoï opère un retour fascinant à la chorégraphie et aux costumes d’origine. La saison 2017-18 présente pour la 8ème année consécutive les plus grands classiques revisités par les plus célèbres chorégraphes d’aujourd’hui pour une expérience en exclusivité au cinéma avec les étoiles du Bolchoï et le corps de ballet. Trois ballets historiques recréés par Alexeï Ratmansky (le Corsaire, Roméo et Juliette et les Flammes de Paris) seront retransmis sur grand écran aux côtés de La Dame aux camélias de John Neumeier et La Mégère apprivoisée signée Jean-Christophe Maillot. Trois classiques intemporels de la scène moscovite complèteront la saison : Giselle, Casse-Noisette et Coppélia. Ces performances seront présentées en HD et son 5.1. Le légendaire Ballet du Bolchoï de Moscou revient au cinéma avec 7 ballets uniques retransmis par satellite en direct d’une de plus belles scènes au monde. Porté par les étoiles, les solistes et le Corps du Ballet du Bolchoï, la nouvelle saison 2016-2017 est à vivre au cinéma sur grand écran ! Kinepolis se réjouit de vous présenter leur magnifique répertoire intemporel. La perfection russe dans toute sa splendeur. Avant chaque représentation, nous vous offrons volontiers un verre en guise d’apéritif.
Сайт/Site : https://kinepolis.be/fr/evenements/ballet-live-2018-coppelia
|
| 29) |
le dimanche 10 juin 2018 de 9:00 - 19:00
|
Catégorie : Rencontre |
Type : Tourisme |
9:00 - выезд из Брюсселя с бульвара Пашеко 9 (boulevard Pachéco), Рядом станция метро Botanique-Kruidthuin-Ботанический сад.
Маастрихт с Владимиром Рониным.
 Маастрихт с Владимиром Рониным. |
Organisé par Bron / Источник et ARiNA Приглашаем на прогулку с профессором-историком Рониным по университетскому городу на юге Нидерландов - Маастрихту.
Цена €45/чел, предварительная регистрация обязательна. Оплата на счет BE 26 0689 3006 5329 vzw De Bron с указанием: Maastricht, фамилии участников, даты (10.06). Для справок : 0474 07 95 35, Татьяна Румянцева; 0499 28 33 08, Ирина Донченко.
Сайт/Site : https://www.facebook.com/events/158590118161572/
|
| 30) |
du lundi 11 juin 2018 au dimanche 17 juin 2018
|
Catégorie : Danse |
Type : Portes ouvertes |
Dance Sport Center "Impuls" Brussels, Orbanlaan 73, 1150 Bruxelles (Sint-Pieters-Woluwe)
Неделя открытых занятий в Импульс.
 Неделя открытых занятий в Импульс. |
Organisé par Dance Sport Center "Impuls" Brussels С 11 по 17 июня в центре ИМПУЛЬС пройдет НЕДЕЛЯ БЕСПЛАТНЫХ ОТКРЫТЫХ ЗАНЯТИЙ. В этот период все желающие могут посетить любые направления, познакомиться с педагогами и найти свой танцевальный стиль! Приходите и пробуйте! Семья ИМПУЛЬС ждет вас на открытых уроках!
Для детей : - художественная гимнастика - народный и современный танец - хип-хоп - pre-dance от 2.5 лет - классический танец - бальные танцы - эстрадный вокал и танец Для взрослых : - Dance Mix - Body Make - Lady Style - Пилатес - Йога Рекомендовано : Всем желающим!
Условия участия : Бесплатно! Инфо : impuls.be at gmail.com / 0488 18 83 15
Сайт/Site : http://center-impuls.be/schedule
|
| 31) |
le mardi 12 juin 2018
|
Catégorie : Concert |
Type : Musique |
Palais des Beaux-Arts / Salle Henry Le Boeuf, rue Ravenstein 23, 1000 Bruxelles
Orchestre national de Belgique & Daniil Trifonov
Beaux-Arts. Orchestre national de Belgique & Daniil Trifonov. |
Andrey Boreyko, direction Sebastian Currier, Divisions (Nouvelle oeuvre, commande ONB, dans le cadre de la commémoration du centenaire de la Grande Guerre 14-18 et avec le soutien de la Chancellerie du Premier Ministre)
Frédéric Chopin, Concerto pour piano et orchestre n° 1, op. 11 Bela Bartok, Concerto pour orchestre, Sz. 116
À moins de 25 ans, le pianiste russe Daniil Trifonov remportait de nombreux concours aussi prestigieux que le Concours Tchaïkovski à Moscou, le Concours Arthur Rubinstein à Tel-Aviv et le Concours Chopin à Varsovie. Au printemps 2014, il interprétait en première mondiale son propre Concerto pour piano. Sous la houlette du chef d'orchestre Andrey Boreyko, il se produira en solo dans le lyrique Premier Concerto pour piano de Chopin, le plus populaire de ses deux oeuvres pour piano et orchestre. Après la pause, vous entendrez le Concerto pour orchestre de Béla Bartók, dont le caractère sombre du début laisse progressivement la place à un final enjoué. Ce concert donnera également à entendre la première d'une commande faite au compositeur américain Sebastian Currier.
Сайт/Site : https://www.levif.be/actualite/vif-club/concert-orchestre-national-de-belgique-daniil-trifonov/game-prom-397221.html
|
| 32) |
du jeudi 19 avril 2018 au mercredi 13 juin 2018 dinsdag - zaterdag van 12:00 tot 18:00 uur
|
Catégorie : Schilderkunst |
Type : Tentoonstelling |
Hangar - Art Center, place du Châtelain 18, 1050 Brussel (Elsene)
Tentoonstelling Schilderkunst. Aki Kuroda (en Marcin Sobolev).
. 2018-04-19.jpg) Tentoonstelling Schilderkunst. Aki Kuroda (en Marcin Sobolev). |
Organisatie : Hangar - Art Center | gallery Hangar presenteert het magistrale werk van de Japanse kunstenaar Aki Kuroda. In deze eerste monografische tentoonstelling van de kunstenaar in België ontdekt de bezoeker een reeks nooit eerder vertoonde werken (2016/2017) en verscheidene emblematische schilderijnen. Doorheen zijn werken neemt Aki Kuroda ons mee in een universum dat tegelijk doordrongen is van antieke mythes en geschiedenissen van zijn geboorteland, Japan. Hij creëert “doorgangen” tussen verschillende werelden: modernisme en hedendaagse kunst, het Oosten en het Westen, lichaam en kosmos, mythologie en toekomst. De ruimtes van de Hangar worden ingepalmd door zeer grote, kleurrijke doeken met de “Cosmogarden” als thema.
Aki Kuroda werkte in Japan al verscheidene keren samen met architecten. Nu doet hij dit opnieuw: studenten interieurarchitectuur van de kunsthogeschool in Bergen, Arts², krijgen de kans om een pop-up theehuisje te bouwen. Helemaal in de stijl en de verbeeldingswereld van Aki Kuroda past deze creatie in de scenografie van de tentoonstelling.
Aki Kuroda staat dicht bij de jonge, hedendaagse artistieke scene. Daarom wou hij bij zijn tentoonstelling ook een jongere kunstenaar betrekken, de Belgisch-Russische Marcin Sobolev. Aki en Marcin zullen samen een installatie met bloemen en gemeenschappelijke artistieke creaties uitwerken. Als een levensgrote Cosmogarden …
Hangar maakt van deze monumentale exposition gebruik om een reeks evenementen over Japan en het werk van Aki Kuroda op te zetten. Later volgt hierover meer informatie.
Hangar dévoile là partir du 19 avril 2018, l’œuvre magistrale de l’artiste japonais Aki Kuroda. Dans cette première exposition monographique de l’artiste en Belgique (depuis 1995), le visiteur pourra découvrir une série d’œuvres inédites (2016/2017) ainsi que plusieurs tableaux emblématiques. Au travers de ses œuvres, Aki Kuroda nous transporte dans un univers empreint/s à la fois de mythes antiques et d’histoires de son pays, le Japon. Il crée des « passages » entre des mondes divers : le modernisme et l’art contemporain, l’Orient et l’Occident, le corps et le cosmos, la mythologie et l’avenir. De très grandes toiles colorées investissent les espaces de Hangar sur le thème du Cosmogarden (jardin intérieur et extérieur/tout se mêle en une jungle onirique). Une fois encore et comme à diverses reprises au Japon, Aki Kuroda a souhaité collaborer avec des architectes. Hangar a proposé une collaboration avec les étudiants en architecture d’intérieur de l’école supérieure des arts de Mons, Arts2, pour la construction d’une maison de thé éphémère. Cette réalisation, conforme à l’univers et aux dessins d’Aki, s’intègre à la scénographie de l’exposition.
Proche de la jeune scène artistique contemporaine, Aki Kuroda a souhaité associer à son exposition un plus jeune artiste, Marcin Sobolev (belgo russe). Aki et Marcin réaliseront ensemble une installation composée de fleurs et de créations artistiques communes. Un Cosmogarden grandeur nature… Hangar saisit l’occasion de cette exposition monumentale pour mettre en place une série d’événements liés au Japon et à l’œuvre d’Aki Kuroda. Les informations à ce sujet suivront.
Aki Kuroda, né le 4 octobre 1944 à Kyoto, est un peintre, artiste contemporain japonais, qui vit et travaille à Paris. Passionné de peinture depuis tout petit, il se plait à dire qu’il peint depuis qu’il sait tenir un pinceau. En 1970, Aki Kuroda s’installe à Paris et il réalise sa première exposition personnelle en 1978 en Allemagne. Il bénéficie de nombreuses expositions personnelles tant en Europe qu’au Japon, au Brésil, aux Usa, en Chine, etc. A côté de son travail pictural, il crée des spectacles de performances mêlant différentes formes artistiques. Artiste multi-facettes, sa création s’étend à de nombreux modes d’expression. Il collabore avec des personnalités importantes, notamment dans le milieu de l’opéra ou de l’architecture. Il reçoit également plusieurs grandes commandes publiques. Très lié aussi au milieu littéraire, il édite la revue Noise, inspirent de nombreux écrivains et illustre Hamlet de Shakespeare.
Prijs : gratis Contact : contact at hangar.art / 02 538 00 85
Сайт/Site : https://www.hangar.art/aki-kuroda
|
| 33) |
du mercredi 13 juin 2018 au mardi 19 juin 2018
|
Catégorie : Opéra |
Type : Spectacle |
Opera Gent, Schouwburgstraat 3, 9000 Gent
De Speler (Sergej Prokofjev).
Opera « De Speler » Sergej Prokofjev (1891 — 1953). |
2 uur en 5 minuten, zonder pauze Russisch met Nederlandse boventiteling Duik met ons de Russische onderwereld in... Opera ballet Vlaanderen Een setting die aan David Lynch doet denken. Personages die aan de rand van de afgrond staan. Gokschulden, drankverslaving, achtervolgingswaanzin en een sadomasochistische liefdesrelatie waar iedereen aan tenonder gaat... Welkom in De Speler van Prokofjev. Een waanzinnig sterk verhaal van Fjodor Dostojevski, dat onder handen genomen wordt door Karin Henkel, de theaterregisseur van Duitsland momenteel. Samen met onze maestro van het Russische oeuvre Dmitri Jurowski achter de pupiter, duiken we voor onze laatste voorstelling de duistere wereld van het casino in... Zien we je daar?
Synopsis : Aleksej Ivanovitsj is een huisleraar in dienst van een Duitse generaal en zijn familie. Hij is het gezelschap gevolgd naar het mondaine kuuroord Roulettenburg. Zowel de generaal als zijn aantrekkelijke stiefdochter Polina hopen op succes bij het spelen in de casino om zich vrij te kopen van een markies, bij wie ze beiden zwaar in de schulden staan. Aleksej is hopeloos verliefd op Polina en laat zich door haar gebruiken om fortuin te vergaren. Aanvankelijk loopt het fout. In het spel heeft Aleksej alles verloren bij een poging om Polina’s diamanten te verpanden en de opbrengst ervan te vergroten. Toch menen de generaal en zijn stiefdochter nog een andere troef achter de hand te hebben om aan geld te komen. Baboelenka, een rijke tante van de generaal, zou ernstig ziek zijn. Vader en stiefdochter wachten daarom vol spanning op een telegram met een overlijdensbericht. De generaal zou eindelijk een royale erfenis in handen krijgen en kunnen huwen met de demi-mondaine Blanche. Aleksej overtuigt Polina er intussen van dat als hij voor zichzelf speelt, hij alleen maar zal winnen. Voor haar is hij tot alles in staat, zo verklaart hij. Steeds weer laat hij zich door haar vernederen om haar liefde te winnen. Hij beseft dat de erfeniskwestie zijn kansen bij Polina kan dwarsbomen. Als Baboelenka’s fortuin de generaal effectief in de schoot zou vallen, dan kunnen niet alleen zijn schulden worden afgelost. De markies kan meteen aanspraken maken op Polina’s hand én een bruidschat. Baboelenka daagt in levende lijve op in Roulettenburg en ontkracht alle speculaties over een nakende dood. Ze is überhaupt niet van plan om de generaal financieel te helpen. Ze zet hem behoorlijk op zijn nummer. Alleen Aleksej wint haar vertrouwen en mag haar begeleiden naar het casino. Weerom zijn alle ogen op de huisleraar gericht: hij moet Baboelenka zo snel mogelijk doen ophouden met spelen. Maar de dame gaat helemaal op in het gokken en verspeelt zowat haar hele vermogen. Blanche verlaat de generaal, die niet eens de kans krijgt zijn tante ter verantwoording te roepen. Wanneer daarna blijkt dat de markies de schulden van de generaal heeft kwijtgescholden, komt Polina extra onder druk te staan. Ze verzoekt Andrej het bedrag, waarmee ze zich kan vrijkopen, bij elkaar te krijgen. In het casino wint Andrej keer op keer en laat hij de bank verschillende keren springen. Maar uiteindelijk wil Polina zijn immense sommen geld niet: ze is niet te koop. Een intussen gokverslaafde Andrej werpt zich opnieuw op het spel.
Kaarten : €14 - €127 Bestellen of meer info : 070 22 02 02 of info at operaballet.be
https://operaballet.be/nl/programma/2017-2018/de-speler https://www.operaballet.be/nl/het-huis/blog/gokschuld-en-boete-een-verslaafde-dostojevski-in-de-speler
|
| 34) |
du mercredi 13 juin 2018 au samedi 16 juin 2018 Vernissage : Début à 16 heures 30' Exposition lundi-vendredi de 10 à 18 heures / samedi-dimanche de 10 à 16 heures
|
Catégorie : Peintures |
Type : Exposition |
Centre Culturel et Scientifique auprès de la Russie à Bruxelles, rue du Méridien 21, 1210 Bruxelles (Saint-Josse-ten-Noode)
Exposition d'artistes Ossétes. Выставка осетинских художников.
Exposition d'artistes Ossétes. Выставка осетинских художников. |
Journées de la culture de l'Ossétie en Europe. Дни осетинской культуры в Европе. Association internationale des Sociétés ossétes « Rennaissance » Круглый стол Осетия - Европа « Мосты сотрудничества ». Table ronde osséto-européenne « Les ponts de la coopération ».
Entrée libre. Вход свободный. Renseignements au 02 219 01 33 / centcultrus at skynet dot be
|
| 35) |
le mercredi 13 juin 2018
|
|
|
Les Gens de Mer Dunkerque By Popinns, quai du Risban 1, F-59140 Dunkerque
Soirée russe.
 Dunkerque. Soirée russe. Organisée par Café Langues de Dunkerque. |
Organisé par Café Langues de Dunkerque Comme les années précédentes le Café Langues organise une soirée sur le thème de la Russie. Nous vous proposons un repas russe pour le prix de 19 euros / personne, boisson incluse.
Hôtel : +33 3 28 66 15 22 gdmdunkerque at popinns.com
Сайт/Site : https://www.facebook.com/events/173611290017860/
|
| 36) |
le jeudi 14 juin 2018 de 17:00 - 20:00
|
Catégorie : Football |
Type : Sport |
| 37) |
le jeudi 14 juin 2018
|
|
|
Juin 2018 => SUITE Calendrier d'événements à caractère culturel russe.
Diffusion de juin 2018 SUITE. Calendrier d'événements à caractère culturel russe.Calendrier d'événements à caractère culturel russe. Juin 2018 SUITE.
Lien pour visualiser ce courriel dans votre navigateur : Mail/RC_Mailing_Juin_14,_2018.html
| Calendrier vava.be juin 2018 SUITE | Liste des intitulés | Album des affiches/illustrations | Descriptifs détaillés
 Evénements de juin 2018 SUITE : 14 - Mondial Russie-Arabie Saoudite (Bruxelles/Namur) 14 - Over Moscou (Schilde) 15 - Film. Death of Stalin (Aalst) 15-17 - Даосские практики для женщин (Sossenheim) 16-17 - Salon Polonais RDV weekend (Chênée) 16-17 - Экскурсия Франция (Mont Saint-Michel) 16 - Экскурсия « Рубенс » (Antwerpen) 17 - Concert Gaudeamus (Brussel) 17,23 - Atelier langue russe (Nivelles) 18 - Voordracht DCV « Rusland » (Harelbeke) 19 - Mondial 2018. Egypte-Russie (Saint-Pétersbourg) 19 - Grands classiques russes (Bougival) 19,27 - Récital chant-piano Sophie Galitzine (Paris) 21 - Concert musique classique (Woluwé-Saint-Pierre) 21 - Over Siberië (Schilde) 21 - Rencontre personnel Ambassade Biélorussie (Bruxelles) 21-26 - Save a life Festival (Hambourg) 22 - Conférence : Bakounine dans la noblesse russe (Tervuren) 22 - Poësie op muziek door Olga Mentchik (Gent) 23 - Закрытие сезона! « БАРД-КЛУБЕНЬ » (Sossenheim) 24 - Sayani, République Touva-Russie (Brussel) 25 - Concert Nikita Gratchev (Mechelen) 25 - Coupe du monde 2018. Uruguay - Russie (Iekaterinbourg) 26 - Année de la Russie : Concerts de carillon (Cathédrale, Liège) 27-30 - Sylphides. Mariage d'Aurore (Spa et tournée) 29-30 - Hermitage Fine Art auction (Monaco)
|
|
|
| 38) |
le jeudi 14 juin 2018 om 20 uur
|
Catégorie : Russie |
Type : Présentation |
JoS, Eugeen Dierckxlaan 24, 2970 Schilde
Over : Moscou.
door Lucy Levina Organisatie : vzw Ummagumma 2de jeugd-club Een avond over de hoofdstad van Rusland. Onze gids is geboren en getogen in Moskou. Sinds enkele jaren woont ze in Antwerpen en spreekt ze al bijzonder goed Nederlands. Zij komt vertellen over de stad van 12 miljoen Russen en over het leven in het hart van Rusland.
Prijs : gratis / eddy at ummagumma.be
Сайт/Site : http://www.ummagumma.be/
|
| 39) |
le jeudi 14 juin 2018
|
Catégorie : Belgique |
Type : Histoire |
Internet - lepassebelge.blog
Un regard russe sur le front de l’Yser.
Un regard russe sur le front de l’Yser. |
Le passé belge. L'actualité de la recherche historique En mission d’observation auprès du quartier général de l’armée belge pendant la Grande Guerre, le capitaine Andrej Prezjbjano a joué un rôle d’entremise dans l’épisode des autos-canons-mitrailleuses belges envoyés en Galicie. Il a tenté en vain, après 1917, de constituer avec les Russes de Belgique une force de soutien aux armées blanches (1914-1921). Illustrations : « Belgique, le pays des héros » , une affiche de propagande russe de 1914. (Source: n. 1) Le capitaine Andrej Prezjbjano à Houtem (Furnes) en 1915. (Source: musée royal de l’Armée et d’Histoire militaire, Bruxelles; n. 1) • • • • • • • • • • • par P.V. Bibliographie : - Voor Vorst, voor Vrijheid en voor Recht. Kolonel Andrej Prezjbjano, een Rus aan het Ijzerfront, Kalmthout, Polis, 2017, 375 pp. Les pièces et poèmes cités sont évoqués pp. 61-62 et 75-77. - Le tour du monde en guerre des autos-canons belges 1915-1918, suivi de Lettres inédites d’Oscar et Marcel Thiry à leur famille pendant la Première Guerre mondiale, présentées par Lise Thiry, (Bruxelles), Le Grand Miroir, 2003.
Сайт/Site : https://lepassebelge.blog/2018/06/14/
|
| 40) |
le vendredi 15 juin 2018 van 20:00 tot 21:56
|
|
|
Netwerk Aalst, Houtkaai 15, 9300 Aalst
Netwerkfilm : The Death of Stalin.
 Netwerkfilm : The Death of Stalin. |
Een film van Armando Iannucci met Steve Buscemi, Simon Russel Beale, Michael Palin, Rupert Friend, Jason Isaacs…/ UK – 116’ Engels gesproken – Nederlands ondertiteld Organisatie : Netwerk Aalst Hilarische strijd om de macht in het Kremlin Wanneer de grote leider Jozef Stalin in 1953 het loodje legt, zijn de gevolgen enerzijds hi-la-risch en anderzijds behoorlijk schokkend. Althans in The Death Of Stalin, een Britse satire over de dagen vóór de begrafenis van vadertje Stalin. Dagen die een sardonisch licht werpen op alle waanzin, verdorvenheid en onmenselijkheid van zijn dictatoriale regime. Dagen waarop de mannen uit zijn entourage vechten om de erfenis van de hoogste macht.
Het gekonkel en de machtsspelletjes in het Kremlin zijn koren op de molen van Armando Iannucci, de Schotse maestro van de politieke satire (The Thick of It, Veep). Met een topcast van Engelstalige acteurs toont hij de cynische, door en door verrotte strijd om de macht, die al gauw vooral tussen Lavrenti Beria, de gevreesde voormalige baas van de veiligheidsdiensten, en de gewiekste Nikita Chroesjtsjov blijkt te gaan. Iannucci's inktzwarte komedie is uitermate geestig, maar laat niet na om ook de gruwelen van Stalins schrikbewind te tonen. Parallellen met de hedendaagse internationale politiek liggen voor het oprapen.
De cast is indrukwekkend. Ianucci kan rekenen op onder meer Steve Buscemi, Jason Isaacs, Olga Kurylenko, Michael Palin, Simon Russell Beale, Paddy Considine en Paul Whitehouse. Het scenario is gebasseerd op de gelijknamige Franse graphic novel van Fabien Nury en Thierry Robin.
Iannucci slaagt erin de historische gebeurtenissen van het Sovjetregime op een accurate manier vorm te geven in een komedie. Dit resulteert in slapstick horror die zowel vermakelijk als verontrustend is. Helaas kan niet iedereen deze aanpak smaken. De film werd nog voor de première verboden in Rusland door het ministerie van Cultuur.
Prijs : € 6,0 Kansentarief voor UiTPAS Dender: € 1,5
Сайт/Site : https://netwerkaalst.be/nl/films/the-death-of-stalin
|
| 41) |
du vendredi 15 juin 2018 au dimanche 17 juin 2018 в 19.00
|
Catégorie : Connaissance de soi |
Type : Séminaire |
Possev, Flurscheideweg 15, D - 65936 Frankfurt am Main (Sossenheim)
Даосские практики для женщин.
Елена Фоммель => Даосские практики для женщин. |
Елена Фоммель Дорогие друзья! Елена Фоммель приглашает Вас на необычный вечер! Даосские практики для женщин. Дорогие Богини! У вас есть уникальная возможность побывать на вечерней встрече с Еленой Фоммель - Ученица Мантек Чиа. Мы приглашаем вас воспользоваться акционым предложением всего за 10 евро посетить 15 июня в 19.00 мастер-класс «Даосские практики“. Работа с сексуальной энергией и сексуальные практики. На выходных 16 - 17 июня 2018 г. есть возможность посетить углубленный курс по даосским практикам. Мы приглашаем вас в увлекательное путешествие в познание себя.
Многие слышали о Дао, но знаете ли вы, что древние Даосские практики уже существуют более 7 тыс. лет. Они основаны на законах природы, действующих в нашей жизни. Этими практиками люди пользуются уже многие тысячелетия, и всякий раз они работают для всех, так же как одинаково для всех действуют законы природы. Даосские практики для женщин помогут усилить и укрепить женские энергии в теле, привести мысли, отношения и здоровье в порядок. Традиционно считалось, что женщина владеет женской энергией Инь, а мужчина мужской энергией Янь. Чтобы увеличить свою энергию Инь, нужно научиться приводить свои энергии в порядок и набирать Иньские энергии. На тренинге для женщин « Даосские энергетические практики. Базовый курс » который состоится 16 - 17 июня 2018 г вы учитесь как :
развить чувствительность энергии в теле и свою интуицию ( "развивая в себе и увеличивая свою чувствительность и силу, вы можете ощущать свое предназначение, свою миссию, своих людей, свою вторую половину и жить осознанной жизнью") принять и полюбить себя обмениваться энергиями с мужчиной ( " на тренинге мы будем учиться, как обмениваться энергиями и как наполнять друг друга, следовать своим чувствам, и своей энергии, а значит следовать свету и любви!") очиститься от негативных эмоций и избавляться от них (" не носить в себе багаж прошлого и пережитого, - прощать и отпускать; вовремя избавляться от негативных эмоций, тогда пустота может быть заполнена новыми энергиями и новыми людьми") открыть сексуальный центр и управлять сексуальной энергией ( "Я раскрою тебе секреты тантрического секса, мой учитель часто повторяет не занимайтесь сексом, а занимайтесь любовью, пусть не ведет вас в этом желание расслабиться , а ведет желание наполниться.")
Подробнее информация : palitra.center at gmail.com или +49 163 484 76 63
http://www.palitra-center.com/index.php?id=198 План местности/Plan d'accès : Russischer Klub Possev
|
| 42) |
du samedi 16 juin 2018 au dimanche 17 juin 2018
|
Catégorie : Association |
Type : Réunion |
Asbl Salon Polonais Culture Art Littérature, rue des Courteaux 229, 4032 Chênée
Asbl Salon Polonais RDV weekend 16-17/06.
Salon Polskiej Kultury na Chênée. |
Asbl Salon Polonais Culture Art Littérature / Salon Polskiej Kultury na Chênée. FR Chers Amis. Rendez-vous le weekend 16-17 juin a.p.d. 14:00 dans notre local, pour discuter de l'automne prochain passer en culture. Bienvenue à tous, Polonais et non, artistes et organisateurs, tout le monde intéressé! Culturellement votre, PL Drodzy Przyjaciele. W weekend 16-17 czerwca od godz. 14ej. Będziemy rozmawiać o programie na bieźącą jesień, artyści mogą zgłosić swoje projekty. Zapraszamy wszystkich zainteresowanych. Zawsze z Państwem
Bus N 29 à centre Liège, direction Bruyères, l’arrêt rue du Progrès. Parking voiture gratuit partout dans le quartier. Autobus N 29 z centrum Liège, kierunek Bruyères, przystanek rue du Progrès. Parkowanie samochodów jest gratisowe w naszej dzielnicy.
|
| 43) |
du samedi 16 juin 2018 au dimanche 17 juin 2018
|
Catégorie : Excursion |
Type : Tourisme |
|
Alsace
Автобусная экскурсия Франция - остров Le Mont Saint-Michel - 2 дня. Excursion de 2 jours en France au Mont-Saint-Michel.
Mont Saint-Michel. Source http://www.asset.keepeek.com. |
С русскоговорящим экскурсоводом Корнеевой Татьяной Новый экскурсионный сезон 2018. Загадочный остров Нормандии – Le Mont Saint Michel с его чудесным Аббатством, которому исполнилось 1300 лет, привлекает миллионы туристов и поломников. Самый высокий и быстрый прилив воды в мире до 15 метров, где на Ваших глазах со скоростью ‘галопа лошади’ пустыня вокруг острова превращается в море, не перестаёт удивлять посетителей острова. Величественный собор Аббатства – архитектурное чудо Франции, его узкие каменные улочки города-крепости и гостеприимные ресторанчики с занимательными рецептами уникальных блюд позволят Вам окунуться в атмосферу таинственности и средневековья. Наша экскурсия не случайно совпала с самым высоким приливом воды, который случается 1раз в год. Один из самых красивых исторических памятников Франции предстанет перед вами с загадочным явлением самого высокого прилива, что неприменно поразит ваше воображение Не упустите эту уникальную возможность! По дороге к острову остановка и прогулка по очаровательному городку Honfleur
Стоимость поездки 180 Евро / место В цену входит : - автобусное обслуживание в течение 2-х дней - ночь в отеле в номере на 2-3 человека - завтрак - обед в ресторане традиционной кухни на второй день - культурная программа с посещением Аббадства - Музея острова - сопровождение гида на русском языке на протяжении всего маршрута Резервация и предоплата 80 Евро обязательна по тел : 0484 69 36 07 / 0485 55 38 61 Количество мест ограничено.
En tournée :
|
| 44) |
le samedi 16 juin 2018 в 12 часов
|
Catégorie : Musée |
Type : Visite |
Место встречи – Дом-музей Рубенса (улица Wapper 9-11), 2000 Antwerpen
Экскурсия « Рубенс в Антверпене ».
Группа « Встречи друзей » и Аркадий Сухолуцкий приглашают на экскурсию по дому-музею Рубенса. Нас ждёт знакомство с с домом, где художник провёл самую плодотворную часть своей жизни, рассказ о семье мастера и его отношении к жизни и к творчеству. До скорых встреч! Ирина Донченко – арт-гид, тренер по развитию эмоционального интеллекта, Антонина Ругалова – администратор
Цена – €20/чел, предолата на счет BE47 7512 0889 3580, получатель VD Ontmoetingen onder vrienden.
|
| 45) |
le dimanche 17 juin 2018 à 11 heures 45'
|
|
Type : Musique |
Protestanse Kerk, Nieuwegraan Markt 1, 1000 Brussel
Aperitiefconcert Gaudeamus.
Aperitiefconcert Gaudeamus. Vocaal Ensemble Gaudeamus. |
Met werken van o.a.: Rutter, Nees, Lauridsen en Copland. t.g.v. het 10-jarig jubileum van het Vocaal Ensemble Gaudeamus o.l.v. Filips Pieters m.m.v. Anna Rusakova, orgel / piano en Sayana Tchankova, viool.
|
| 46) |
le dimanche 17 juin 2018 de 10 à 11 heures
|
Catégorie : Langue russe |
Type : Cours |
|
CSC Les Hirondelles, place Albert 1er 1, 1400 Nivelles
Atelier de langue russe.
 Nivelles. Atelier de langue russe. Organisé par CSC Les Hirondelles. |
Organisé par CSC Les Hirondelles Cours de russe - Niveau débutant Au petit comble du Centre Culturel de Nivelles
Infos et inscription : info at cscleshirondelles.be ou 0489/ 53 82 75 Olesya
Сайт/Site : https://www.facebook.com/events/575112246154442/
En tournée :
|
1400 Nivelles
| dimanche
3
juin 2018 |
de 10 à 11 heures
|
|
1400 Nivelles
| dimanche
10
juin 2018 |
de 10 à 11 heures
|
|
1400 Nivelles
| dimanche
17
juin 2018 |
de 10 à 11 heures
|
|
1400 Nivelles
| samedi
23
juin 2018 |
de 10 à 11 heures
|
|
| 47) |
le lundi 18 juin 2018
|
|
|
| 48) |
le lundi 18 juin 2018 van 14:00 tot 16:00
|
Catégorie : Politiek en maatschappij |
Type : Lezing |
Dienstencentrum De Vlinder, Kollegeplein 5, 8530 Harelbeke
Voordracht DCV « Rusland ».
 Voordracht DCV « Rusland ». |
Organisatie : Dienstencentrum De Vlinder Spreker Jef Abbeel overloopt de geschiedenis van de 9° eeuw tot Poetin. Over het huidige Rusland kom je ook veel te weten: politiek, economie, Belgische bedrijven, maatschappij, onderwijs, toerisme, verhouding met het Westen, rol van Rusland in de wereld. Je krijgt ook uitleg over de vooruitgang vergeleken met de eerste bezoeken in de jaren ’70 van Jef.
Prijs : € 2,0 Reservaties : bel naar 056 73 53 90 // onthaal.devlinder at ocmwharelbeke.be
|
| 49) |
le mardi 19 juin 2018 à 20 heures
|
Catégorie : Football |
Type : Sports |
| 50) |
le mardi 19 juin 2018 à 20 heures 45'
|
|
|
Théâtre du Grenier de Bougival, rue du Général Leclerc 7, F-78380 Bougival
Grands classiques russes : M. Glinka, S. Rachmaninov, M. Hypollitov-Ivanov
 Duo russe : Tatiana Vyatkina, piano et Alexandre Vyatkine, alto. |
Duo russe : Tatiana Vyatkina, piano et Alexandre Vyatkine, alto Saison russe : Bicentenaire de la naissance d'Ivan Tourguéniev. Après un cycle d'études de piano à la filiale du Conservatoire de Saint-Pétersbourg auprès du Professeur K. Zubravsky, Tatiana travaille comme professeur et accompagnatrice dans deux prestigieuses écoles de musique de Moscou : M. Rostropovitch et N. Alekceev. Parmi les élèves de Tatiana, des solistes ont intégré de grands orchestres symphoniques dirigés par M. Pletniov, Y. Bachmet, T. Kurentzis. Alexandre Vyatkine a terminé ses études de musique à l'Académie G. Gnessine et obtenu son doctorat sous la direction du Professeur V. Verlinsky pour sa maîtrise du quatuor. Le cursus artistique d'Alexandre est lié aux plus grands orchestres symphoniques de Moscou : G. Rojdestvenski, M. Chostakovitch, Z. Metha, D. Kitaenko, A. Lazarev, R. Kogan, E. Klas. Il participe en tant qu'altiste à de multiples tournées et festivals (Lucerne, Helsinki, Edimbourg...), travaille dans l'Orchestre National de Russie Capella et au Théâtre « Nouvel Opéra » de E. Kolobov en qualité de premier altiste.
les spectacles de théâtre, musique et danse sont proposés aux tarifs suivants : • Plein tarif 15 € • Tarif réduit 12 E (Étudiants, demandeurs d'emploi, plus de 65 ans, familles nombreuses et groupes de plus de 10 personnes) • Tarif jeune 7 Moins de 18 ans et bénéficiaires du RSA) Les spectacles « Jeune Public » sont proposés au tarif unique 7 E. LE « PASS » 5 SPECTACLES Théâtre, musique et danse • Plein tarif 50 € • Tarif réduit 40 € 6 - 'Formulaire de réservation en fin de brochure. Festival de Théâtre de Bougival • Plein tarif 11 E • Tarif réduit 7 € • Tarif jeune 5 E • Festipass : 8 spectacles 40 € Plateau des Chorégraphes • Tarif unique 11 E Festival Court Maintenant • Plein tarif 8 E • Tarif réduit 7 • Tarif jeune 6 € • Festicourt : toutes les séances 20 €
|
| 51) |
le mardi 19 juin 2018
|
Catégorie : Récital |
Type : Musique |
Théâtre de l'Ile-St.Louis-Paul Rey, quai d'Anjou 39, F-75004 (Paris)
Récital chant-piano : « Beauté et sourire de la Mélodie française ».
 Concert chant-piano : « Beauté et sourire de la Mélodie française ». |
Sophie Galitzine (soprano )et Jean Dubé (piano) Vous entendrez des chefs-d'oeuvre de Duparc, Fauré, Hahn, Poulenc,Satie, Messager, ainsi que des pièces rares pour piano seul, qui vous emmèneront dans un voyage musical poétique et savoureux, que Sophie Galitzine et Jean Dubé ont sélectionnés pour vous faire passer une soirée inoubliable, dans le ravissant petit Théâtre de l'Ile St-Louis - Paul Rey, situé en plein coeur du Paris poétique et historique, baigné par la Seine, à l'angle du Pont-Marie...
Pour ce concert, Sophie Galitzine et Jean Dubé vous ont sélectionné dans un nouveau programme, les mélodies françaises qui les ont le plus séduits par leur beauté et par leur charme. La force poétique du texte et de la musique chez Duparc, la douceur et la légèreté chez Fauré et Hahn, le sourire « Sartistique » d’Erik Satie et Messager, sans oublier la promenade dans le temps et l’espace avec Poulenc… tous les ingrédients sont réunis pour vous embarquer vers des univers éternels et mystiques, mais aussi simples et tendres ou encore sophistiqués et malicieux…
15€ - étudiants de moins de 25 ans, avec une carte: 10€ Réservation conseillée au 01 4633 4865 et contact at theatre-ilesaintlouis.com Le lien, ci-dessous, vous donnera une meilleure description du concert et conduira aux renseignements pratiques du Théâtre de l'Ile St-Louis - Paul Rey :
Сайт/Site : http://www.theatre-ilesaintlouis.com/spectacle/beaute-et-sourire-de-la-melodie-francaise
|
| 52) |
le mardi 19 juin 2018
|
Catégorie : Histoire |
Type : Littérature |
Последние битвы Императорского флота.
Олег Гончаренко => RC BIB Couverture. Олег Гончаренко - Последние битвы Императорского флота. |
Автор : Олег Гончаренко Из серии : Морская историческая библиотека Описание книги Книга военного историка О. Гончаренко посвящена самому трагическому периоду в истории Русского Императорского флота. Сражения 1914–1915 гг. на Черном и Балтийском морях, гибель линкора «Императрица Мария» и крейсера «Жемчуг», революционные волнения и массовые казни офицеров стали переломом в его судьбе. И все же это не было гибелью флота. Вновь созданные белые эскадры и флотилии вели боевые действия на Балтийском, Черном, Каспийском и Баренцевом морях, а также на Онежском и Ладожском озерах, на Волге, Каме, Шилке и Ангаре. История Русского Императорского флота завершилась трагическими днями эвакуации остатков Белой армии и последним походом эскадры Черноморского флота в Бизерту.
Объём : 390 стр. 35 иллюстраций ISBN : 978-5-4484-7085-1 Правообладатель : ВЕЧЕ
Сайт/Site : https://www.litres.ru/oleg-goncharenko/poslednie-bitvy-imperatorskogo-flota-34354999/
|
| 53) |
le mercredi 20 juin 2018
|
Catégorie : Russie |
Type : Economie |
ING Belgium SA/NV, Cours Saint-Michel 60, 1040 Bruxelles
La Russie : Quelles perspectives économiques ? Quelles relations commerciales avec la Belgique?
 La Russie : Quelles perspectives économiques ? Quelles relations commerciales avec la Belgique? |
1. L’économie russe se porte mieux La Russie en quelques chiffres… La croissance économique impactée par les sanctions et les prix du pétrole Les sanctions occidentales et la chute du prix du pétrole ont causé une récession en Russie entre 2014 et 2016. De nouvelles sanctions ont été instaurées en avril 2018 Des perspectives modérément optimistespar les Etats-Unis. Des perspectives modérément optimistes Nous prévoyons une croissance de 2% du PIB russe en 2018. L’inflation s’est établie à 2.4%, ce qui devrait permettre une politique monétaire accommodante en 2018 et 2019. 2. Importance des relations commerciales avec la Belgique La Russie est le troisième partenaire commercial extra-européen pour les importations belges et le cinquième pour les exportations belges. Les importations belges de biens russes représentent 6,859 milliards d’euros en 2017 et les exportations belges en Russie valent 2,63 milliards d’euros Orientation sectorielle Les importations belges provenant de Russie concernent majoritairement des perles et métaux précieux, ainsi que des produits minéraux. La Belgique exporte en Russie principalement des produits des industries chimiques, ainsi que des machines et appareils. Importance de la Russie pour chaque secteur 18,8% des perles et pierres précieuses importées en Belgique proviennent de la Russie. Disclaimer
ING Focus 2018-06-22 La Russie.pdf 294 KB pdf / 7 pages
Сайт/Site : https://newsroom.ing.be/la-russie--quelles-perspectives-economiques--quelles-relations-commerciales-avec-la-belgique#
|
| 54) |
le jeudi 21 juin 2018 Début 20:30
|
Catégorie : Concert classique |
Type : Musique |
Halll - Centre culturel de Woluwé-Saint-Pierre, avenue Charles Thielemans,93, 1150 Woluwé-Saint-Pierre
Concert de musique classique + apéro
 et Christia Hudzy, au piano (Ukraine). 2018-06-21.jpg) Dîner-concert Musique Tzigane Concert de musique classique + apéro |
Vladyslava Luchenko, violon (Ukraine) et Christia Hudzy, au piano (Ukraine) MGCONCERTS Vladyslava Luchenko, violon (Ukraine) et Christia Hudzy, au piano (Ukraine)
Ce duo, connu notamment pour sa participation au Concours Reine Elisabeth 2015 pour l’un, et par son travail à la Chapelle Musicale Reine Elisabeth pour l’autre, nous emmènera en Italie, avec un programme basé sur la musique d’Ottorino Respighi. Des oeuvres peu jouées pour violon et piano qui sont d’une envoûtante beauté…
La musique accompagne les voyages de l’être humain. Elle est autant inspirée et imprégnée par la culture et la rythmique locale du compositeur que par ses voyages et son désir de jeter des passerelles entre les cultures. La musique pousse aussi l’être humain à voyager autant dans son besoin de découverte et de rencontre de l’autre que dans son envie de construire « sa petite musique intérieure ». C’est avec l’association MGConcerts que le W:Halll vous propose ce cycle de musique classique tourné cette fois vers l’Europe. Les musiciens virtuoses programmés partageront toujours un moment didactique sur le voyage proposé lui-même ou sur les techniques musicales des compositions.
Notre partenaire | MGCONCERTS. Fondée en 2016 par Maria-Grazia TANESE, cette ASBL bruxelloise a pour vocation de partager le goût de la musique classique en mettant en avant la jeune génération de musiciens.
Tarif normal : 15€
|
| 55) |
le jeudi 21 juin 2018 om 15 uur
|
Catégorie : Russie |
Type : Présentation |
JoS, Eugeen Dierckxlaan 24, 2970 Schilde
Over : Siberië.
Organisatie : vzw Ummagumma 2de jeugd-club Op de dag dat bij ons de zomer begint, trekken wij naar het verre noorden. We maken kennis met de bewoners van de toendra en hun eeuwenoude cultuur en wijsheid. Een immens groot gebied met grote rivieren en grote meren. Siberië : een grote onbekende.
Prijs : gratis / eddy at ummagumma.be
Сайт/Site : http://www.ummagumma.be/
|
| 56) |
le jeudi 21 juin 2018 с 18.30 до 22ч00
|
Catégorie : Ambassade |
Type : Rencontre |
в здании Посольства РБ по адресу: avenue Molière 192, 1050 Bruxelles
Встреча с сотрудниками Посольства Республики Беларусь в Бельгии.
 Belarus Today |
Встреча с сотрудниками Посольства Республики Беларусь в Бельгии Приглашаем граждан республики Беларусь на очередную встречу с Чрезвычайным и Полномочным Послом РБ в Бельгии Александром Юрьевичем Михневичем и Консулом Беларуси Олегом Николаевичем Лешенюком, которая состоится 21 июня (четверг) с 18.30 до 22ч00 в здании Посольства РБ по адресу: Av. Moliere 192, 1050 Bruxelles Программа мероприятия : 1) Приветствие и презентация «Беларусь: обзор актуальной социально-экономической ситуации в РБ», Чрезвычайный и Полномочный Посол РБ в Бельгии Александр Михневич; 2) НАК «БЕЛАВИА»: новшества», директор представительства БЕЛАВИА в странах Бенилюкс Николай Тананайко; 3) Первый секретарь по консульским вопросам Посольства Беларуси Олег Лешенюк разъяснит актуальные моменты по, как уже некоторое время действующему, так и по недавно вступившему в силу законодательству относительно следующего: • Вступившего в начале 2018 года в силу декрета № 1 «О предупреждении социального иждивенчества» т.н. «закон о тунеядцах» в новой версии. Этот декрет предусматривает, что с 1 января 2019 года такие лица будут производить оплату субсидируемых государством услуг по их полной стоимости • Обмен паспорта для постоянного проживания на территории Бельгии • Постановка на консульский учет (плюсы и минусы) • Порядок осуществления нотариальных действий в посольстве Беларуси • Выдача справок для вступления в брак на территории Бельгии • Основные вопросы по безвизовому передвижению в Республике Беларусь 4) Неформальное общение с сотрудниками Посольства и Белавиа, ответы на личные вопросы, обмен мнениями за чашкой чая/ кофе. При желании Вы можете принести свои гастрономические творения, чтобы мы все смогли восхититься вашим кулинарным искусством. PS: Количество мест ограничено, поэтому большая просьба проинформировать о вашем намерении участвовать в вечере по электронной почте: belarustoday@telenet.be. Ждем вас! С уважением, Оксана Скреве Ассоциация «Беларусь сегодня»
|
| 57) |
du jeudi 21 juin 2018 au mardi 26 juin 2018 à 20 heures
|
Catégorie : Chanson |
Type : Concours |
| 58) |
le vendredi 22 juin 2018 à 23H55 (Fin : 02H06)
|
Catégorie : Film |
Type : Cinéma |
UGC, place de Brouckère 38, 1000 Bruxelles 21:30 TICKETS - UGC De Brouckère
27.06 Vendôme 21:30 TICKETS - VENDÔME (ter plaatse)
Arrhythmia — Аритмия.
Boris Khlebnikov => Film : Arrhythmia — Аритмия. |
Drame de Boris Khlebnikov avec Aleksandr Yatsenko, Irina Gorbacheva, Nikolay Shrayber
Brussels International Film Festival. Fictie . 116' . Russland . 2017 . Russisch / ST : Frans, Nederlands, Engels Oleg is een gedreven jonge ambulancier. Zijn vrouw Katya werkt als verpleegster op de spoeddienst van het ziekenhuis. Ze houdt van Oleg, maar ze heeft er genoeg van dat Oleg meer om zijn patiënten geeft dan om haar. Ze kondigt aan dat ze een scheiding wil. Het nieuwe hoofd van Oleg’s dienst is een kille manager die erg strikte regels oplegt. Oleg geeft geen moer om regels – hij wil levens redden; zijn houding brengt hem in de problemen bij zijn nieuwe baas. De crisis op het werk valt samen met de persoonlijke crisis van het koppel. Verscheurd als ze zijn tussen hun patiënten, in alcohol gedrenkte afterworks en een gezondheidszorg die ontmenselijkt, zoeken Oleg en Katya naar een band die hen kan samenhouden
Les Arcs European Film Festival (2017) UGC – IN AANWEZIGHEID VAN : Natalia Drozd (producer)
STARRING : Alexander Yatsenko, Irina Gorbacheva DIRECTOR : Boris Khlebnikov WRITERS : Natalia Meshchaninov, Boris Khlebnikov PHOTOGRAPHY : Alisher, Khamidkhodzhaev FILM EDITING : Ivan Lebedev, Yulia Batalova SOUND : Jeanne Laine PRODUCER : Don Films, Mars Media, Entertainment, CTB Film Company, Post Control, Color of May SALES : Indies Sales
Boris Khlebnikov (1982) is een Russische cineast en scenarist. Hij werd bekend in 2003 met de film Roads to Koktebel (in samenwerking met Alexei Popogrebsky), bekroond met de Karlovy Vary prijs, die nu al als een klassieker wordt beschouwd. Vijf films later is hij terug in competitie met zijn zesde langspeelfilm Arrhythmia. FILMOGRAPHY : 2003 Koktebel, 2006:Svobodnoe plavanu, 2017:Arrythmia
Contact : info at briff.be | 02 248 08 72
Сайт/Site : https://briff.be/nl/film/arrhythmia-3/
|
| 59) |
le vendredi 22 juin 2018 à partir de midi
|
Catégorie : Biographie |
Type : Conférence |
Royal Club de Belgique, Château de Ravenstein, 3080 Tervueren
Bakounine dans la noblesse russe, sa vie, sa famille, ses qualités.
Bakounine à l'âge de 29 ans (1843). | Bakounine à l'âge de 52 ans (ca 1866). |
Conférence par Dr. Prof. Robert Cutler Grâce à Monsieur Robert M. Cutler, nous découvrirons le bref passage de BAKOUNINE à Bruxelles qui a eu une certaine importance puisqu'il y rencontrera Joachim Lelewel, qui le sensibilisera à la question polonaise et l'orientera vers le panslavisme. Cela le rapprochera des exilés polonais, poursuivis eux aussi par le Tsar, les Polonais bénéficiant en France, à l'époque, d'une grande sympathie de l'opinion publique. Même si BAKOUNINE éprouve des réticences politiques à leur égard, ils sont très introduits dans les milieux progressistes parisiens, et lui permettent ainsi d'élargir ses relations. Il devient un ami de George Sand, liée à l'émigration polonaise par Chopin. Il rencontre Proudhon, en cours d'écriture de « La Philosophie de la misère ». Bakounine devenu grand anarchiste, grand révolutionnaire, apprendra par l’édit promulgué par le Tsar qu’il perd la citoyenneté russe, ses titres de noblesse, il est condamné par contumace à la déportation en Sibérie.
Dr. Prof. Robert Cutler : Le conférencier est diplômé du Massachusetts Institute of Technology en Science politique et Histoire européenne. Thème de thèse : L'affrontement d'idées entre Bakounine et Marx au sein de la Première Internationale ; Détenteur du Ph.D. en Relations internationales, University of Michigan. Thème de dissertation: La politique étrangère soviétique face à l'intégration européenne au début des années 1970 ; Boursier « Fellow » IREX, Faculté d'histoire récente et contemporaine, Université de Moscou [début des années 1980]; diverses bourses de recherches aussi à l'Université de Genève, Columbia University et d'autres ; Il a publié de documents archivaux et plusieurs articles scientifiques sur Bakounine et l'évolution de ses idées. Il a traduit et introduit d'une anthologie des écrits de Bakounine encore disponible (et la seule anthologie en langue anglaise à l'être) chez l'éditeur 30 ans après parution. |
 Dr. Prof. Robert Cutler |
Prix : 35 € Paiement sur place et inscription préalable nécessaire par téléphone au 02 648 19 83 (Frieda)
Liens : http://linkedin.com/in/RobertMCutler <= Dr Robert M Cutler, Sr Researcher http://carleton-ca.academia.edu/RobertMCutler <= Institute of European, Russian and Eurasian Studies Carleton University http://www.EurasianSecurity.com <= Fellow, Canadian Energy Research Inst. http://www.RobertCutler.org <= Sr Fellow, Canadian International Council
| 60) |
le vendredi 22 juin 2018
|
Catégorie : Concert |
Type : Musique |
|
| 61) |
le samedi 23 juin 2018
|
|
|
| 62) |
le samedi 23 juin 2018 om 20 uur
|
Catégorie : Concert |
Type : Musique |
Galerie van Washboard Art & Jazz Café, Brusselstraat 5, 2018 Antwerpen
Concert van de beroemde folk-rockband uit Rusland « The Siblings" » (Rybińsk-Volga),
Persoonlijke uitnodiging ! Deze zaterdag, op 23 juni 2018, om 20 uur, verwelkomen wij U op de finissage van de tentoonstelling « Mirrors are Silent" » van Erna v. Franssens en Luc Janssens met een gezamenlijk concert van de beroemde folk-rockband uit Rusland « The Siblings" »(Rybińsk-Volga), die zal plaatsvinden in het ondertussen welbekend Washboard Art & Jazz Café. Ook op de eerste verdieping kunt U de tentoonstelling « Beauty of history » van de beroemde Oekraïense kunstenaar Alexander Kudriavchenko gratis bezoeken. We nodigen je graag uit op deze prachtige avond van kunst, muziek en liedjes! :) Met vriendelijke groet, Sofie Janssens
Info : 03 272 0 999 - 0475 322 175 - info at washboard.be
|
| 63) |
le samedi 23 juin 2018 à 13h - 17h30'
|
Catégorie : Brocante |
Type : Marché |
Acer-Russie, rue Olivier de Serres, F-75015 Paris
Journée russe. Благотворительный базар.
Paris. Journée russe. Благотворительный базар. |
Buffet russe, Livres russes et français, Icônes, Brocante, Curiosités, Bijoux,... Добро пожаловать!
Note : Vous pouvez encore nous apporter ou nous envoyer des objets russes, des objets anciens, des bijoux fantaisie, des bibelots, des tableaux, des beaux livres russes ou français, du linge, des cadeaux etc… Merci de vos dons et de votre aide !
Renseignements : 01 42 50 53 46 ou bien courriel at acer-russie.com
|
| 64) |
le samedi 23 juin 2018
|
Catégorie : Langue russe |
Type : Conversation |
|
Centre Culturel de Nivelles (au petit comble), place Albert 1er 1, 1400 Nivelles
Table de conversation russe.
 Nivelles. Atelier de langue russe. Organisé par CSC Les Hirondelles. |
Organisé par CSC Les Hirondelles Cours de russe - Niveau débutant Au petit comble du Centre Culturel de Nivelles
Infos et inscription : info at cscleshirondelles.be ou 0489/ 53 82 75 Olesya
Сайт/Site : https://www.facebook.com/events/575112246154442/
En tournée :
|
1400 Nivelles
| dimanche
3
juin 2018 |
de 10 à 11 heures
|
|
1400 Nivelles
| dimanche
10
juin 2018 |
de 10 à 11 heures
|
|
1400 Nivelles
| dimanche
17
juin 2018 |
de 10 à 11 heures
|
|
1400 Nivelles
| samedi
23
juin 2018 |
de 10 à 11 heures
|
|
| 65) |
le samedi 23 juin 2018 в 18 часов
|
Catégorie : Bardes |
Type : Soirée |
Possev, Flurscheideweg 15, D - 65936 Frankfurt am Main (Sossenheim)
Закрытие сезона! « БАРД-КЛУБЕНЬ ».
 Закрытие сезона! « БАРД-КЛУБЕНЬ ». |
К 20-ЛЕТИЮ Международного проекта « Спаси и сохрани ». Арт-фестиваль « БРИЛЛИАНТОВЫЙ ДЮК » ПРИГЛАШАЕТ НА ПРАЗДНИЧНЫЙ ВЕЧЕР.
Как всегда, песни под гитару и другие музыкальные инструменты. Чтение стихов и многое другое. Приносить с собой песни, стихи и хорошее настроение. ЗЕЛЁНЫЙ МИКРОФОН Кто не поёт и не читает, тот просто слушает и кушает. В кафе у нашей хозяйки недорогие и вкусные блюда русской кухни, а также шашлыки и печёная картошка. Всё это можно запивать холодными, горячими и горячительными напитками из бара. Приезжайте, приходите, прилетайте! Будет нескучно!
Для тех, кто издалека, есть возможность бесплатной ночёвки. Все вопросы по телефону : 0177 834 31 29
План местности/Plan d'accès : Russischer Klub Possev
|
| 66) |
le dimanche 24 juin 2018
|
Catégorie : Concert |
Type : Musique |
Église de Lodelinsart, rue Neuve, 6042 Lodelinsart
Concert symphonique
Orchestre Symphonique Royal du Val de Sambre. à Lodelinsart. |
Direction : Bart Bouckaert Orchestre Symphonique Royal du Val de Sambre. Les Maîtres chanteurs de Nuremberg : prélude - Richard Wagner Concertino pour trombone et orchestre, op. 4 - Ferdinanf David soliste : Laurent Haye Symphonie n°7 en ut majeur, op. 105 - Jean Sibelius Une nuit sur le mont Chauve - Modeste Moussorgski
Entrée 15 € / Prévente : 12 € Réservetion : 0490 65 15 47 / natalia.lebedeff at gmail.com Compte : BE60 1262 0119 7470 (Orch. Symph. Val de Sambre)
|
| 67) |
le dimanche 24 juin 2018 à 15:00 & 20:00
|
Catégorie : Ballet |
Type : Festival |
Festivalhall, Koning Albertlaan 33, 1082 Brussel
« Sayani » République Touva - Russie.
 « Sayani » République Touva - Russie. |
27ième Festival International de Folklore. Foto's : Ludo Vandecruys | Fotoshow : Leo Jo Estercam Национальный ансамбль песни и танца САЯНЫ, Республитка Тыва Het Nationaal Ballet Sayani, Republiek Tuva. Gelegen in het centrum van Azië, waar de grote Yenisei-rivier zijn bron heeft, leeft een oud nomadenvolk waarvan de afstammelingen hun taal, hun cultuur en hun originele tradities hebben bewaard. De Republiek Tuva heeft een groter grondgebied dan België, Nederland, Denemarken, Luxemburg en Zwitserland samen. De natuur heeft de Republiek Tuva met opmerkelijke schoonheid begiftigd. In een relatief klein gebied vinden we een buitengewone klimatologische diversiteit: van de toendra tot de woestijn. De autonome republiek Tuva is de bakermat van een cultuur die zowel heel bijzonder als ongebruikelijk is. Het ‘Sayani National Ballet’ werd opgericht in 1969. De show is gebaseerd op de mythen en legendes van de Aziatische volkeren die in deze regio wonen. Hij werd in de republiek de waardige vertegenwoordiger van de nationale kunst, die met zorg de parels van de Tuvaanse folklore wist te verzamelen.
LE BALLET NATIONAL SAYANI, République de Touva. Située au centre de l’Asie, là où le grand fleuve Ienisseï prend sa source, vit un ancien peuple de nomades dont les descendants ont préservé leur langage, leur culture et leurs traditions originelles. La république de Touva possède un territoire plus grand que la Belgique, les Pays-Bas, le Danemark, le Luxembourg et la Suisse réunis. La nature a doté la république de Touva d’une beauté remarquable. Sur un territoire assez restreint on y retrouve une diversité climatique extraordinaire: de la toundra jusqu’au désert. La république autonome de Touva est le berceau d’une culture à la fois très particulière et inusitée: ‘Le Ballet National Sayani’ fut fondé en 1969. Son spectacle est basé sur les mythes et légendes des peuples asiatiques vivant dans cette région. Il est devenu dans la république le digne représentant de l’art national, en gardant avec soin les perles du folklore de Touva.
Programme – Partie 1 1. Danse de l’Empire Scythe 3 Min 18 danseurs/Danseuses Brun Numéro de danse sur la r2. Danse des mariées 3 Min 8 danseuses – 1 danseur Les jeunes filles se présentent pour espérer être choisies pour le mariage. 3. Chanson de gorge 3 min 1 chanteur Violet clair Styles de chansons de gorge 4. Chanson Ennè Saï 4 Min 4 chanteurs(euses) Costumes différents Chansons sur la nature ( rivières et montagnes ) 5. Chant Oskiè Tchergiè 3 Min 4 chanteurs(euses) Violet clair Chanson au tempo rapide sur la terre natale. 6. Chanson « Maman » 3 Min 1 chanteuse Vert Chanson de la mère sur l'amour des enfants, la tendresse 7. Suite chorégraphique et vocale 6 Min 16 dans/ 2 chant Gris L'unification des tribus dispersées en un seul ensemble. 8. Numéro orchestral 3 Min 10 music. 9. Danse Oudaltsi 2 Min 7 danseuurs Chocolat Danse énergique d'un homme montrant l'audace, la force, la dextérité et les méfaits des garçons 10. Danses de la jeunesse 3 min 20 dans/ 4 chant Brun clair Jeunesse, amour, amitié, tendresse. 11. Chanson Elzir Kara 3 min 10 musi/ 3 chant Brun clair Une chanson sur le cheval légendaire, le champion des fêtes nationales. 12. Chant Dungour Iri 3 min 6 musi 13. Oitoulach 4 Min 20 dans/ 4 chant / 10 Musi Amusement traditionnel, jeux de la jeunesse Tuvan.
Programme – Partie 2 1. Dochpoulouourum 3 Min 16 artistes Blanc et bleu clair 2. Kinguirgaï Kon 4 Min 13 artistes 3. Chant 3 Min 1 chanteuse A propos des héros légendaires - 60 héros. 4. Douci Priadkov 4 Min 9 danseurs Bleu A propos des guerriers qui ont défendu la patrie et le peuple. 5. Danse de Filles 3 Min 10 danseuses Bleu Danse lyrique féminine sur l'occupation traditionnelle 6. La chanson Mazalykta turgan chylgymny 3 Min 1 chanteuse Vert clair La chanson est un souvenir de la Mère Patrie. 7. Kochkoun Arat 3 Min 1 chant Vert Clair A propos des bergers nomades dans les steppes de Touva 8. Maltchinar 3 Min 2 danseurs Clair A propos de la vie nomade des gens. 9. Chant 3 Min 1 chanteur Rouge 10. Chant 3 Min 1 chanteur Rouge 11. "Hayaa utkay" 2 Min 18 dans Blanc Danse joyeuse de la jeunesse festive 12. Chant 4 Min 1 chant Sombre Appel du grand commandant du passé Kultéguine aux descendants. 13. Chant 4 Min 1 chant Sombre Une chanson qui désire tout le bien, la paix, la lumière, etc. 14. Danse finale 3 Min 20 dans / 4 Chant/ 10 musiciens Couleurs vives Réflexion de la fête nationale de Touva "Naadym" est une fête des éleveurs de bétail. La peinture montre trois principaux jeux d'hommes - les courses de chevaux, le tir à l'arc et la lutte nationale "Huresh".
Instruments Chanzi petit, instrument de musique à cordes pincées alto, . Yochin est un instrument de musique à cordes frappant, Iguil, Maureen-Huur, Contrabass - instruments de musique à cordes, Kengirge - instrument de musique de percussion, Flûte - instrument de musique à vent
La République de TOUVA Située au centre de l'Asie, là où le grand fleuve Iénisséi prend sa source, vit un ancien peuple de nomades dont les descendants ont préservés leur langage, leur culture et leurs traditions originelles. La république de Touva, formée en 1944 et devenue indépendante à la chute du communisme en Russie au début des années 90, possède un territoire plus grand que la Belgique, les Pays-Bas, le Danemark, le Luxembourg et la Suisse réunis (sa superficie totale est de 171 300 km2). La république est divisée en 17 districts administratifs, et sa population est de 310 000 habitants dont le tiers vit à Kyzyl. La nature a doté la république de Touva d’une beauté remarquable. Sur un territoire assez restreint on y retrouve une diversité climatique extraordinaire: de la toundra jusqu'à la désert. Dans cette région de Russie, près de la frontière avec la Mongolie, on peut y observer des contrastes frappants: élevage de rennes au nord, chameaux au sud. La république autonome de Touva est le
Сайт/Site : http://www.info-zomaar.com/20180624-Siberia/20180624-Siberia.html
|
| 68) |
le lundi 25 juin 2018 van 20:30 tot 21:30
|
Catégorie : Concert |
Type : Musique |
Cultuurplein, Minderbroedersgang 5, 2800 Mechelen
Beiaardconcert Nikita Gratchev.
Organisatie : Toren en beiaard vzw Op de markt Elena Sadina (°1970) Fantasie in d Wolfgang Amadeus Mozart (1756-1791), arr. L. ’t Hart Prelude in g Jef Denyn (1862-1941) Russische Fresco’s Sergej Gratchev (°1970) Variaties op twee Russische liederen Nikita Gratchev (°1998) Menuet en Trio Staf Nees (1901-1965) Moonlight Serenade Glenn Miller (1904-1944), arr. J. Lerinckx Wat is mijn hart ontroerd Tikhon Nikolaevich Khrenninovich (1913-2007), arr. J. Haazen
DUO MET SERGEJ GRATCHEV (ACCORDEON) Third Tale about Don voor beiaard en accordeon Nikita Gratchev (°1998) Fantasie met variaties op het Russisch volkslied ‘Korobeiniki’ Elena Sadina (°1970)
Nikita Gratchev (°1998, Mechelen) studeerde beiaard en piano aan de Beiaardschool ‘Jef Denyn’ en klarinet aan het Conservatorium van Mechelen. Aan beide scholen studeerde hij in 2017 af met grote onderscheiding. Bovendien speelt hij op een tiental Russische volksinstrumenten zoals harmonica, verschillende soorten van zhaleika’s, treshetki, rubel, blokfluit, Russische lepels … Elke zomer neemt hij deel aan het zomerprogramma in Middlebury College (Vermont, VS) waar hij samen met 60-tal Amerikaanse studenten optreedt in het koor en orkest. Samen met de jeugdbeiaardklas van de Beiaardschool o.l.v. Elena Sadina, nam hij deel aan verschillende festivals en gaf hij concerten in België, Nederland, Engeland, Frankrijk, Portugal, de Verenigde Staten en Rusland. Hij won twee keer de Internationale Jeugdbeiaardwedstrijd (in 2012 in België en in 2014 in Frankrijk). Momenteel studeert hij rechten aan de VUB in Brussel.
Prijs : gratis
|
| 69) |
le lundi 25 juin 2018 à 14 heures
|
|
|
| 70) |
le lundi 25 juin 2018 de 14 à 16 heures
|
Catégorie : Histoire |
Type : Conférece |
UDA - Université des Ainés, avenue de l'Assomption 73, 1200 Bruxelles (Woluwé-Saint-Lambert)
L'affrontement USA-URSS dans la course à la lune.
Affrontement USA-URSS dans la course à la lune, par Christian Barbier. |
par Christian Barbier Cycle « La Russie » de l'Université d’été 2017-2018 LA RUSSIE Après l'Inde et les USA, c'est au tour de la Russie. La Russie nous évoque les Slaves. l'Empire des tsars, la révolution, l'URSS, etc. Une facette particulière de l'histoire de la Russie est la conquête spatiale. Christian Barbier nous racontera l'affrontement entre l'URSS et les USA. Des étoiles à la toile. Olivier Lecomte nous fera découvrir le cinéma russe contemporain incarné par le réalisateur Andreï Zvyagintsev. Nous voyagerons à travers l'histoire via la musique. André Van Oekel vous fera découvrir ou redécouvrir les plus grands compositeurs de cette grande nation qui n'est pas qu'une dictature de la collusion et de la corruption ou de l'espionnage et du dopage. Enfin, nous nous pencherons sur les icônes russes, objet d'art mais également instrument politique avec Daniel Stevens.
La décennie des années 60 restera, dans la mémoire de ceux qui l'ont vécue, celle d'un affrontement entre l'URSS et les USA, pour la conquête de nouvelles frontières : l'espace et la Lune. Quoique pacifique, cet affrontement était surtout celui de deux visions du monde, sur fond, parfois tendu, de guerre froide. Bien que nous connaissons et avons vécu le triomphe américain avec les premiers pas de Neil Armstrong sur le sol de la Mer de la Tranquilité, la chape de silence dont fut enveloppé le programme spatial soviétique nous a empêches de vivre pleinement cette compétition. Heureusement, le mur de silence s'est fissuré dans le milieu des années '90, et il a été possible de reconstituer, grâce aux documents déclassifiés et aux témoignages des acteurs encore vivants, les événements qui ont conduit à l'échec soviétique. C'est cette histoire non-amputée qui sera racontée ici.
Deux formules d'inscription : soit le cycle complet au prix de 68 E, soit à la carte selon vos envies. 1 séance 13 € code 2738 Mais : AVANTAGE FPPR non indiqué dans la brochure : Grâce à une collaboration avec l’UDA, les membres en règle de cotisation de la FPPR (Fondation pour la Préservation du Patrimoine russe) peuvent assister à la formation « L’icône russe » même s’ils ne sont pas membres de l’UDA ! Pour ce faire, ils doivent s’inscrire avant le 8 juillet chez Daniel Stevens (dstevensric at skynet.be) qui communiquera à l’UDA leur prénom et nom, et payer le seul frais d’inscription à cette formation (25 €) + 3,5 € d’assurance = 28,5 €
|
| 71) |
le lundi 25 juin 2018
|
Catégorie : Révolution russe |
Type : Histoire |
Telegram channel colonelcassad
К 100-летию гражданской войны. Интервью Александра Колпакиди. СolonelСassad.
Интервью Александра Колпакиди. Сolonel Сassad. |
СolonelСassad (colonelcassad)
– Александр Иванович, хотели бы вспомнить значимые для страны события, которым исполнилось столетие. В начале июня 1918 г. стараниями так называемых "белочехов" было организовано первое антибольшевисткое правительство. Почему антибольшевистские правительства организовывали какие-то "пленные" чехи, были ли они пленными, чем руководствовались? – А из чего же тогда "белое" движение потом возникло? – То есть Гражданская война фактически началась с интервенции? – Если их было так много, как же они не победили? – Сегодня считают, что Гражданская война началась аж в 1917 г. и начали ее именно "красные" – советская власть, по сути. Так была ли Гражданская война до восстания белочехов? – Теперь же белочехам ставят памятники. – А сегодня нам говорят: "А стоило ли это того?" – Но некоторые иностранцы, как мы помним, переходили к красным, Ярослав Гашек, например?
Сайт/Site : https://colonelcassad.livejournal.com/4275908.html
|
| 72) |
le mardi 26 juin 2018 Registration will open at 17:30
|
Catégorie : Géopolitique |
Type : Conférence |
Club Royal des Guides, rue d’Arlon 32, 1000 Bruxelles
An Analysis of Energy Security and Geo-economics.
Mises Circle with Dr. Robert M. Cutler. |
Mises Circle with Dr. Robert M. Cutler. We would like to invite you to our upcoming Mises Circle « The Place of the Caspian Sea in EU Policy” »with Dr. Robert M. CUTLER, Energy Security and Geo-Economics expert. Speaker : Dr. Robert M. Cutler, Energy Security and Geo - economics Expert Moderator : Dr. Annette Godart – van der Kroon, President of the Ludwig von Mises Institute Europe Programme : 17:30 –18:00 – Registration 18:00–18:10 – Opening words by Mrs. Godart-van der Kroon 18:10–18:40 – Dr. Robert M. Cutler 18:40–19:30 – Discussion The Caspian Sea is an essential issue concerning EU relations not only with regard to enlargement negotiations, but also the energy sector. Whereas the dispute about the pipelines in the Southern gas Corridor sparks controversy, it furthermore highlights underlying geo-economic disputes and beyond, between the parties involved due to its richness in natural resources on and off-shore. Thus, it is essential for the European Union to implement a successful strategy in order to deal with the challenges at hand with the Caspian Sea. The event will take place on June 26th, 2018, at Club Royal des Guides, Rue d’Arlon 32, Brussels. We are delighted to welcome you to the event!
Dr. Robert M. Cutler After teaching 14 different subjects in international relations, comparative politics and political philosophy, Dr. Robert M. Cutler expanded into policy analysis and consulting, foremost as an Energy Security and Geo-economic specialist covering Eurasia. Currently, he is a Senior Research Fellow at the Institute of European, Russian & Eurasian Studies at Carleton University, Ottawa. He consults international institutions, governments and the private sector on policy issues, leads research teams and produces briefings and analytical bulletins. Dr. Cutler has a strong online presence and has published numerous articles in academic journals, besides serving on policy-review editorial boards, executive committees and policy research organizations.
Mrs. Annette Godart-van der Kroon Annette Godart-van der Kroon is President of the Ludwig von Mises Institute -Europe. Under her guidance, the Institute has organized a multitude of successfulconferences and dinner debates since its establishment in 2002. LVMI -Europe has a Boardof Directors composed of prominent economists, politicians and thinkers originating from Europe and beyond. From 1993 to 2001 she served as Conference Director of the Von MisesInstitute in Ghent, during which time she organised six conferences. She also possesses long-termexperience as a civil affairs lawyerat the Courts of Roermond and Utrecht in theNetherlands. Between 1988 and 1992 she was a Member of the Board of Advisors of the Vereniging Zelfstandige Ondernemers (VZO). In 1996 she became a member of the MontPélerin Society, an influential society composed of Nobel Prize winning economists and otherleading scholars. She is an accomplished writer, having authored several books and a largenumber of articles. Her first book, titled ‘Het sociaal-economisch denken van F.A. Hayek’ andedited by Acco (Louvain), was published in 1988. She holds a Master’s degree in Law fromthe University of Leyden, with a specialisation in Civil Law and Political Science.
The discussion is followed by a small reception Attending the event is free of charge, but your registration is mandatory Please register by sending an email to : assistant at vonmisesinstitute-europe.org
Сайт/Site : http://www.vonmisesinstitute-europe.eu/wp-content/uploads/2018/06/INVITATION-TO-THE-MISES-CIRCLE-online-leaflet.pdf
|
| 73) |
le mardi 26 juin 2018
|
|
|
The University of Wisconsin Press, Madison, Wisconsin
An Anti-Bolshevik Alternative : The White Movement and the Civil War in the Russian North.
 Liudmila Novikova => The White Movement and the Civil War in the Russian North. University of Wisconsin Press. |
by Liudmila Novikova (Author), Seth Bernstein (Translator) The traditional narrative of the Russian Civil War is one of revolution against counterrevolution, Bolshevik Reds against Tsarist Whites. Liudmila Novikova convincingly demonstrates, however, that the struggle was not between a Communist future and a Tsarist past; instead, it was a bloody fight among diverse factions of a modernizing postrevolutionary state. Focusing on the sparsely populated Arkhangelsk region in Northern Russia, she shows that the anti-Bolshevik government there, which held out from 1918 to early 1920, was a revolutionary alternative bolstered by broad popular support.
Novikova draws on declassified archives and sources in both Russia and the West to reveal the White movement in the North as a complex social and political phenomenon with a distinct regional context. She documents the politics of the Northern Government and its relations with the British and American forces who had occupied the ports of Murmansk and Arkhangelsk at the end of World War I. As the civil war continued, the increasing involvement of the local population transformed the conflict into a ferocious "people's war" until remaining White forces under General Evgenii Miller evacuated the region in February 1920.
Hardcover, Price : $79.95 ISBN-13: 9780299317409 / ISBN-10: 0299317404
|
| 74) |
le mardi 26 juin 2018 de 10 à 16 heures
|
Catégorie : Musique russe |
Type : Carillon |
Cathédrale Saint-Paul, place de la Cathédrale, 4000 Liège
Concerts de carillon de la Cathédrale Saint-Paul de Liège 2018 - année de la Russie.
Concerts de carillon de la Cathédrale Saint-Paul de Liège 2018 - année de la Russie. |
par Fabrice Renard A l’occasion du 165-ième anniversaire des relations diplomatiques entre la Russie et la Belgique plusieurs événements culturels se dérouleront à Liège. Parmi ceux-ci, l’hymne russe et des œuvres classiques des compositeurs russes dans interprétées par le Maître carillonneur Fabrice Renard dans la Cathédrale Saint-Paul de Liège de 12h30 à 13h30 chaque mercredi jusqu'au 26 septembre 2018. Le directeur général et l’organisateur de ce programme est Monsieur Serge Delvenne en partenariat avec notre société.
Le 26 juin 2018 à 10 heures 30', avec le soutien de la Ville de Liège, sur la place de la Cathédrale à 4000 Liège, aura lieu l’accueil de S.E. l’Ambassadeur de la Fédération de la Russie, Monsieur Tokovinin et des membres de la délégation officielle sous les sons de l’hymne russe suivi par le concert des œuvres composées en première mondiale par Fabrice Renard et toutes dédiées à la Russie. Exceptionnellement, le chœur MGIMO (Institut d'Etat des Relations Internationales de Moscou). Les organisateurs se réservent le droit d'accès au lunch et vin d'honneur (sur invitation).
Programme : - Concert de carillon par Fabrice Renard ; - Concert du Chœur MGIMO de Moscou ; - Concert de Julie CARPINO et ses musiciens ; - Concert de l'Orchestre des cadets de Moscou (Militaires).
Note : L’association Meridian (Liège) organisera plusieurs événements en relation avec le 165-ième anniversaire des relations diplomatiques entre la Russie et la Belgique pendant toute la saison campanaire et au delà. Au programme sont prévus : le 23 mai – Concert de l’ensemble « Raduga » du collège de culture de Saint-Pétersbourg à l’église Sainte-Catherine de Liège Le 18 juin – Table ronde entre les sociétés russophones et belges ; Le 23 juin - Ateliers et programme éducatif pour enfants « À la tradition populaire » : Chemin Michel Gobiet 1, 4000 Liège 7-8/07 – Concert des accordéonistes : église Sainte Catherine de Liège 15 -16.09 – Exposition des artistes peintres et artisants russes 16.09 – Spectacle de marionnettes « Princesse La Grenouille » de Christina Boukova 22.09 – Buffet dans le style russe avec les plats traditionnels accompagné des jeunes musiciens et chanteurs de la Région liégeoise.
A l'occasion de ces événements nous vous invitons à venir nombreux, en famille et entre amis. Expatriés Russes ou d'origine Russe, ainsi que tous nos amis belges de la ville de Liège et de la Région liégeoise et d'ailleurs. Une occasion unique de découvrir les particularités culturelles des uns et des autres dans un esprit convivial et de sincères amitiés. Les œuvres des artistes-peintres seront présentées dans toute la diversité des traditions russes. Il s’agit de peintres de la Région liégeoise, de Bruxelles et de Louvain.
Grâce à ce genre d’événements la consolidation de nos liens amicaux, culturels, économiques, se renforcent et se pérennisent entre les peuples Belge et Russes et pourrons ainsi se transmettre en héritage à la jeunesse actuelle de nos deux peuples et aux générations futures. Dans le cadres de ce programme outre les événements cités, sont également prévu : 27/05 : 14h00 : Salon Mativa : Concert de l'école russe « Néva ». 22/07 : 15h00 : église Sainte-Catherine de Liège : Concert de l'école russe « La vraie note ». 29/09 : 20h00 : église Sainte-Catherine de Liège : Conférence sur la musique russe par Madame I. Landenne, professeur de piano et d'histoire de la musique. 07/10 : Cathédrale Saint-Paul de Liège : Concert de Mesdames Anastassia (flûte) et Tatiana (cymbalum) Eletskaia, Anne-Claude Dejasse (violon) Fabrice Renard ( piano et orgue)
Entrée gratuite / renseignements : 0485 00 53 54 Avec le soutien de la Ville de Liège, du Consulat Général d'Italie à Liège et de l'Ambassade de la Fédération de Russie au Royaume de Belgique.
http://cathedraledeliege.be/infokt.pdf
|
| 75) |
le mercredi 27 juin 2018 à 23H55 (Fin : 02H06)
|
Catégorie : Film |
Type : Cinéma |
|
Vendôme 21:30 TICKETS - VENDÔME (ter plaatse)
Arrhythmia — Аритмия.
Boris Khlebnikov => Film : Arrhythmia — Аритмия. |
Drame de Boris Khlebnikov avec Aleksandr Yatsenko, Irina Gorbacheva, Nikolay Shrayber
Brussels International Film Festival. Fictie . 116' . Russland . 2017 . Russisch / ST : Frans, Nederlands, Engels Oleg is een gedreven jonge ambulancier. Zijn vrouw Katya werkt als verpleegster op de spoeddienst van het ziekenhuis. Ze houdt van Oleg, maar ze heeft er genoeg van dat Oleg meer om zijn patiënten geeft dan om haar. Ze kondigt aan dat ze een scheiding wil. Het nieuwe hoofd van Oleg’s dienst is een kille manager die erg strikte regels oplegt. Oleg geeft geen moer om regels – hij wil levens redden; zijn houding brengt hem in de problemen bij zijn nieuwe baas. De crisis op het werk valt samen met de persoonlijke crisis van het koppel. Verscheurd als ze zijn tussen hun patiënten, in alcohol gedrenkte afterworks en een gezondheidszorg die ontmenselijkt, zoeken Oleg en Katya naar een band die hen kan samenhouden
Les Arcs European Film Festival (2017) UGC – IN AANWEZIGHEID VAN : Natalia Drozd (producer)
STARRING : Alexander Yatsenko, Irina Gorbacheva DIRECTOR : Boris Khlebnikov WRITERS : Natalia Meshchaninov, Boris Khlebnikov PHOTOGRAPHY : Alisher, Khamidkhodzhaev FILM EDITING : Ivan Lebedev, Yulia Batalova SOUND : Jeanne Laine PRODUCER : Don Films, Mars Media, Entertainment, CTB Film Company, Post Control, Color of May SALES : Indies Sales
Boris Khlebnikov (1982) is een Russische cineast en scenarist. Hij werd bekend in 2003 met de film Roads to Koktebel (in samenwerking met Alexei Popogrebsky), bekroond met de Karlovy Vary prijs, die nu al als een klassieker wordt beschouwd. Vijf films later is hij terug in competitie met zijn zesde langspeelfilm Arrhythmia. FILMOGRAPHY : 2003 Koktebel, 2006:Svobodnoe plavanu, 2017:Arrythmia
Contact : info at briff.be | 02 248 08 72
Сайт/Site : https://briff.be/nl/film/arrhythmia-3/
En tournée :
|
| vendredi
22
juin 2018 |
23H55 (Fin : 02H06)
|
|
| mercredi
27
juin 2018 |
23H55 (Fin : 02H06)
|
|
| 76) |
le mercredi 27 juin 2018 à 20 heures
|
Catégorie : Ballet |
Type : Spectacle |
Centre Culturel Spa-Jalhay-Stoumont, Théâtre Jacques Huisman, rue Servais 8, 4900 Spa
Les Sylphides. Le mariage d'Aurore.
 Les Sylphides. Le mariage d'Aurore. |
Le Ballet Classique de Saint-Pétersbourg avec les étoiles des théâtres Mariinsky et Mikhaïlovsky Production : Arts Center Saint-Michel, Stichting Klassieke Dans Musique de Frédéric Chopin, Chorégraphie de Mikhail Fokine, Mise en scène par Elena Pankova, Ballet Classique de Saint-Pétersbourg, avec les étoiles des théâtres Mariinsky et Mikhaïlovsky Les Sylphides est un ballet créé par le chorégraphe Michel Fokine pour Anna Pavlova, une danseuse au talent lyrique exceptionnel. Il a été présenté pour la première fois sur la scène du théâtre Mariinsky de Saint-Pétersbourg en 1908, et peu après Serge Diaghilev le choisira pour ses saisons Ballets Russes. En 1909 il fut montré à Paris au théâtre du Châtelet. Après cela, au cours du 20e siècle, il trouva sa place dans le répertoire des compagnies de ballet du monde entier. Les Sylphides, un ballet fantastique évoquant les ballets romantiques du début du 19ème siècle, qui emmène le public dans un monde onirique, plein de rêveries et fantasmes. L’histoire représente un jeune poète enchanté qui rencontre d’incorporelles sylphides dans un parc ombragé, et leurs danses lui font oublier les inquiétudes et ennuis du monde réel.
Musique de Piotr Tchaïkovski, Chorégraphie de Marius Petipa, Reconstruit par Mikhail Venshchikov Le Mariage d’Aurore Ce Ballet, inspiré par le conte de Charles Perrault, raconte l’histoire d’une charmante Princesse, qui après un sommeil de 100 ans, est réveillée par le baiser d’un Prince vaillant. La Belle au Bois Dormant a été présenté pour la première fois en 1890 sur la scène du théâtre Mariinsky, et reçut immédiatement les éloges des amateurs de ballet. Les fées, elfes et personnages de contes de fées rappellent les tendres souvenirs de l’enfance, plongeant le spectateur dans une atmosphère mystérieuse et enchantée. Une trentaine d’années après, Serge Diaghilev décida d’offrir le ballet au public européen. Les meilleures scènes, rassemblées dans un spectacle en un acte, ont été ajoutées au répertoire des Ballets Russes sous le nom du Mariage d’Aurore.
Для обладателей карточек « CLICK CLUB » клуба скидка 10% от стоимости. Tél. 087 77 30 00 | info at ccspa.be
http://ccspa-jalhay-stoumont.be/events/ballet-classique-de-saint-petersbourg/ http://www.cultureconnection.be/click-club/
|
| 77) |
le mercredi 27 juin 2018
|
Catégorie : Récital |
Type : Musique |
|
Théâtre de l'Ile-St.Louis-Paul Rey, quai d'Anjou 39, F-75004 (Paris)
Récital chant-piano : « Beauté et sourire de la Mélodie française ».
 Concert chant-piano : « Beauté et sourire de la Mélodie française ». |
Sophie Galitzine (soprano ) et Jean Dubé (piano) Vous entendrez des chefs-d'oeuvre de Duparc, Fauré, Hahn, Poulenc,Satie, Messager, ainsi que des pièces rares pour piano seul, qui vous emmèneront dans un voyage musical poétique et savoureux, que Sophie Galitzine et Jean Dubé ont sélectionnés pour vous faire passer une soirée inoubliable, dans le ravissant petit Théâtre de l'Ile St-Louis - Paul Rey, situé en plein coeur du Paris poétique et historique, baigné par la Seine, à l'angle du Pont-Marie...
Pour ce concert, Sophie Galitzine et Jean Dubé vous ont sélectionné dans un nouveau programme, les mélodies françaises qui les ont le plus séduits par leur beauté et par leur charme. La force poétique du texte et de la musique chez Duparc, la douceur et la légèreté chez Fauré et Hahn, le sourire « Sartistique » d’Erik Satie et Messager, sans oublier la promenade dans le temps et l’espace avec Poulenc… tous les ingrédients sont réunis pour vous embarquer vers des univers éternels et mystiques, mais aussi simples et tendres ou encore sophistiqués et malicieux…
15€ - étudiants de moins de 25 ans, avec une carte: 10€ Réservation conseillée au 01 4633 4865 et contact at theatre-ilesaintlouis.com Le lien, ci-dessous, vous donnera une meilleure description du concert et conduira aux renseignements pratiques du Théâtre de l'Ile St-Louis - Paul Rey :
Сайт/Site : http://www.theatre-ilesaintlouis.com/spectacle/beaute-et-sourire-de-la-melodie-francaise
En tournée :
|
| 78) |
le jeudi 28 juin 2018
|
Catégorie : Russie |
Type : Littérature |
Ici Même Éditions, rue Geoffroy-Drouet 2, F-44000 Nantes
Cases russes. Album.
Askold Akishin => Cases russes. Album, aux Éditions Ici Même. |
de Askold Akishin (Scénario), Askold Akishin (Dessinateur) Être auteur de BD en Russie Askold Akishin, l'un des fondateurs du studio moscovite KOM, figure parmi les pionniers de la bande dessinée russe. Ses romans graphiques embrassent tous les genres de la bande dessinée : historique, militaire, aventure, jeunesse, super-héros, documentaire, horreur, policier, underground. Akishin a adapté en bande dessinée Mikhaïl Boulgakov (Le Maître et Marguerite, paru chez Actes Sud BD en 2005), Howard Phillips Lovecraft ou encore Ray Bradbury. Dans son autobiographie, Askold raconte sa vie d'homme et surtout d'auteur, mêlant l'univers hétéroclite de ses bandes dessinées aux événements du dernier demi-siècle. C'est à la fois le témoignage du cheminement artistique d'un auteur et la première tentative de raconter la naissance de la bande dessinée en Russie.
EUR 22,00 Album : 152 pages; Langue : Français ISBN-10 : 2369120347; ISBN-13: 978-2369120346
|
| 79) |
le jeudi 28 juin 2018 à 19 heures
|
Catégorie : Ballet |
Type : Spectacle |
|
St John’s International School Performing Arts Center Theatre, 1410 Waterloo
Les Sylphides & Aurora’s Wedding on the stage The Kingdom of Belgium.
 Les Sylphides & Aurora’s Wedding on the stage The Kingdom of Belgium. |
A Night of One-Act Ballets in Belgium Production : Arts Center Saint-Michel, Stichting Klassieke Dans Les Sylphides is a ballet created by the choreographer Mikhail Fokin for Anna Pavlova, a dancer with unique lyrical talent. It was first presented on the stage of the Mariinsky Theater in St. Petersburg in 1908, and soon Sergei Diaghilev selected it for his Ballets Russes project. In 1909, it was shown in Paris, in Théâtre du Châtelet; after that, throughout the 20th century, it found its way into the repertoire of the ballet companies all over the world. Les Sylphides, a fantasy ballet evoking the romantic ballets of the early 19th century, takes the audience away into the world of dreams, reveries and fantasies. The story features a young enchanted poet, who meets incorporeal sylphides in a shady park, and their dance makes him forget the worries and the troubles of the real world.
Aurora’s Wedding. This ballet, inspired by a fairy-tale by Charles Perrault, relates the story of the charming Princess who, having spent a hundred years in sleep, woke up to the kiss of the valiant Prince. The Sleeping Beauty was first presented in 1890 on the stage of the Mariinsky Theater, and met with the immediate acclaim of the ballet lovers. The fairies, elves and fairy-tale characters bring back the sweet childhood memories, immersing the audience in the enchanting mysterious atmosphere. Three decades later, Serge Diaghilev decided to offer the ballet to the European audience. The best episodes, put together in a one-act show, were added to the repertoire of the Ballets Russes as Aurora’s Wedding.
Для обладателей карточек « CLICK CLUB » клуба скидка 10% от стоимости.
Сайт/Site : https://arts-michel.ru/en/news/night_of_one-acts_ballet_belgium-2018/
En tournée :
|
| 80) |
du vendredi 29 juin 2018 au samedi 30 juin 2018
|
|
|
Hermitage Fine Art, avenue de la Costa 25, MC-98000 Monaco
Hermitage Fine Art summer auction 2018.
 Monaco Hermitage Fine Art summer auction 2018. |
Hermitage Fine Art is pleased to announce an upcoming auction that will take place on June 29th & 30th 2018, at Hotel Metropole, Monte-Carlo. We are currently inviting consignments for our Summer 2018 auction. The catalogue will include Russian Art, jewellery and objects of virtue, rare books and manuscripts, watches, furniture, porcelain, photographs and numismatics. Please do not hesitate to contact us for a free and confidential valuation of your collection. Consignment Deadline: 15 May 2018 Russian art auction June 29th, Monte-Carlo Jewellery and objects of virtue auction June 30th, Monte-Carlo Rare books and manuscripts auction June 30th, Monte-Carlo
To receive a complimentary auction estimate please e-mail photos and any relevant information about your art work to info at hermitagefineart.com or +377 9 777 39 80
Сайт/Site : http://www.hermitagefineart.com
|
| 81) |
le vendredi 29 juin 2018 à 19 heures
|
Catégorie : Ballet |
Type : Spectacle |
|
Mark Liebrecht Schouwburg, Heilig-Kruisstraat 16, 2640 Mortsel
Les Sylphides. Le mariage d'Aurore.
 Les Sylphides. Le mariage d'Aurore. |
Le Ballet Classique de Saint-Pétersbourg avec les étoiles des théâtres Mariinsky et Mikhaïlovsky Production : Arts Center Saint-Michel, Stichting Klassieke Dans Musique de Frédéric Chopin, Chorégraphie de Mikhail Fokine, Mise en scène par Elena Pankova, Ballet Classique de Saint-Pétersbourg, avec les étoiles des théâtres Mariinsky et Mikhaïlovsky Les Sylphides est un ballet créé par le chorégraphe Michel Fokine pour Anna Pavlova, une danseuse au talent lyrique exceptionnel. Il a été présenté pour la première fois sur la scène du théâtre Mariinsky de Saint-Pétersbourg en 1908, et peu après Serge Diaghilev le choisira pour ses saisons Ballets Russes. En 1909 il fut montré à Paris au théâtre du Châtelet. Après cela, au cours du 20e siècle, il trouva sa place dans le répertoire des compagnies de ballet du monde entier. Les Sylphides, un ballet fantastique évoquant les ballets romantiques du début du 19ème siècle, qui emmène le public dans un monde onirique, plein de rêveries et fantasmes. L’histoire représente un jeune poète enchanté qui rencontre d’incorporelles sylphides dans un parc ombragé, et leurs danses lui font oublier les inquiétudes et ennuis du monde réel.
Musique de Piotr Tchaïkovski, Chorégraphie de Marius Petipa, Reconstruit par Mikhail Venshchikov Le Mariage d’Aurore Ce Ballet, inspiré par le conte de Charles Perrault, raconte l’histoire d’une charmante Princesse, qui après un sommeil de 100 ans, est réveillée par le baiser d’un Prince vaillant. La Belle au Bois Dormant a été présenté pour la première fois en 1890 sur la scène du théâtre Mariinsky, et reçut immédiatement les éloges des amateurs de ballet. Les fées, elfes et personnages de contes de fées rappellent les tendres souvenirs de l’enfance, plongeant le spectateur dans une atmosphère mystérieuse et enchantée. Une trentaine d’années après, Serge Diaghilev décida d’offrir le ballet au public européen. Les meilleures scènes, rassemblées dans un spectacle en un acte, ont été ajoutées au répertoire des Ballets Russes sous le nom du Mariage d’Aurore.
Для обладателей карточек « CLICK CLUB » клуба скидка 10% от стоимости.
http://www.cultureconnection.be/click-club/
En tournée :
|
4900 Spa
| mercredi
27
juin 2018 |
à 20 heures
|
|
1410 Waterloo
| jeudi
28
juin 2018 |
à 19 heures
|
|
2640 Mortsel
| vendredi
29
juin 2018 |
à 19 heures
|
|
8400 Oostende
| samedi
30
juin 2018 |
à 20 heures
|
|
1000 Bruxelles
| dimanche
1
juillet 2018 |
à 19 heures
|
|
6000 Charleroi
| mardi
26
février 2019 |
à 19 heures
|
|
| 82) |
le samedi 30 juin 2018 à 20 heures
|
Catégorie : Ballet |
Type : Spectacle |
|
De Grote Post, Hendrik Serruyslaan 18 A, 8400 Oostende
A Night of One-Act Ballet.
A Night of One-Act Ballet. |
Arts-Michel Ballet company, St.-Petersburg Production : Arts Center Saint-Michel, Stichting Klassieke Dans Klassiek Russisch ballet is onsterfelijk. Meer dan honderd jaar na de eerste uitvoering brengt het Arts-Michel Ballet company uit Sint-Petersburg de beste one-act scènes naar het podium van De Grote Post.
Les Sylphides breng een chorgrafie van Mikhail Fokin (1908) op muziek van Frederic Chopin. Fokin creëerde het stuk voor Anna Pavlova, een danseres met een uniek lyrisch talent en werd voor het eerst gepresenteerd op de planken van het Mariinsky Theater in St. Petersburg in 1908. Snel daarna selecteerde Sergei Diaghilev het stuk voor zijn Ballet Russes-project. Na een voorstelling in Parijs vonden Les Sylphides een plek in het repertoire van menig balletcompagnies over de hele wereld.
De fantasierijke voorstelling doet denken aan de vroeg 19e eeuwse romantische balletten en voert het publiek mee naar een dromerige wereld waarin een jonge, betoverde poeet de sylphides ontmoet en hun dans hem de wereldse problemen en zorgen doet vergeten.
Aurora's Wedding verenigt de muziek van Pyotr Tchaikovsky met de choreografie Marius Petipa. Geïnspireerd op het sprookje van Charles Perrault vinden we een charmante prinses in de hoofdrol die na een 100-jarige slaap wordt wakker gekust door een dappere prins. Deze Schone Slaapster veroverde meteen na haar debuut in 1890 de harten van balletliefhebbers. De elfen en andere sprookjesachtige figuren brengen kinderlijke herinneringen terug en laten het publiek baden in een betoverende en mysterieuze sfeer.
Drie decennia later besliste Serge Diaghilev om het ballet naar Europa te brengen. De beste episodes werden verzameld in een one-act show en toegevoegd aan het repertoire van Les Ballets Russes.
€ 25,00 UiTloket (ticketbalie): 059 33 90 00 / Kantoren: 059 56 85 00 / benieuwd at degrotepost.be
Сайт/Site : https://www.degrotepost.be/agenda/1692/Arts_Michel_Ballet_company_St_Petersburg/A_Night_of_One_Act_Ballet/
En tournée :
|
4900 Spa
| mercredi
27
juin 2018 |
à 20 heures
|
|
1410 Waterloo
| jeudi
28
juin 2018 |
à 19 heures
|
|
2640 Mortsel
| vendredi
29
juin 2018 |
à 19 heures
|
|
8400 Oostende
| samedi
30
juin 2018 |
à 20 heures
|
|
1000 Bruxelles
| dimanche
1
juillet 2018 |
à 19 heures
|
|
6000 Charleroi
| mardi
26
février 2019 |
à 19 heures
|
|
| 83) |
du dimanche 22 avril 2018 au dimanche 1 juillet 2018
|
Catégorie : Art contemporain |
Type : Parcours |
Parcs et le long de la voie verte reliant Woluwé-Saint-Pierre, Woluwé-Saint-Lambert et Auderghem
Troisième édition de P(ART)cours / Par(KUNST), biennale d’art contemporain en plein air.
cours - Par(KUNST), biennale d|art contemporain en plein air. 2018-04-22.jpg) Troisième édition de P(ART)cours / Par(KUNST), biennale d’art contemporain en plein air. |
Cette Biennale d'art contemporain PARTcours-ParKUNST-ParkARTS qui regroupe 35 artistes de 10 nationalités dont deux Russes : Greta Dimaris et Alexandra Demenkova
l’ASBL Wolu-Animations et la Commune de Woluwe-Saint-Pierre, en collaboration avec l’ASBL Lieux-Communs et en partenariat avec les Communes de Woluwe-Saint-Lambert et Auderghem vous invitent à la troisième édition de P(ART)cours / Par(KUNST), biennale d’art contemporain en plein air, qui se déroulera dans les parcs et le long de la voie verte reliant les trois communes. Le projet P(ART)cours / Par(KUNST) propose au public une expérience de l'art contemporain grandeur nature ! Cette année, 35 artistes venus de 10 pays traceront par leurs œuvres le parcours. Sous le commissariat de Guy Malevez, cet événement artistique invite le promeneur à poser un regard neuf sur les espaces investis. Sculptures et installations en plein air magnifieront les cinq kilomètres du parcours en créant un dialogue poétique avec l’environnement. Définitivement impliquée dans une pratique liant art, nature et urbanité, cette édition promet d’amener l’art contemporain à la rencontre du public. Le Parcours débute à la station de métro Beaulieu et emprunte la voie verte jusqu’au parc de Woluwe pour se terminer au Parc Malou. Un plan du parcours avec la présentation des œuvres est disponible dans différents points de distribution.
Van 22 april tot 1rt juli 2018 organiseren de VZW Wolu-Animaties en de gemeente Sint-Pieters-Woluwe, in samenwerking met de VZW Lieux-Communs en de gemeenten Sint-Lambrechts-Woluwe en Oudergem voor de tweede keer de driejaarlijkse tentoonstelling van hedendaagse kunst “P(ART)cours / Par(KUNST)”, met kunstenaars die hun werken tentoonstellen langsheen de Groene Wandeling en in de parken die de drie Brusselse gemeenten met elkaar verbinden. P(ART)cours / Par(KUNST) zijn bezoeker opnieuw een aparte hedendaagse kunstbelevenis in open lucht! Dit jaar wordt de weg uitgestippeld door 35 kunstenaars uit 10 landen. Deze tentoonstelling, samengesteld door Guy Malevez, nodigt de wandelaar uit om de ingenomen ruimte anders te bekijken. De beeldhouwwerken en openluchtinstallaties luisteren het vijf kilometer lange parcours op door een poëtische dialoog te creëren met de omgeving. Kunst, natuur en stad worden zo met elkaar verweven en deze editie slaagt erin om hedendaagse kunst dichter bij het publiek te brengen. Het Parcours begint aan het metrostation Beaulieu en loopt langs de Groene Wandeling tot het Woluwepark en het Maloupark. Een plannetje van het traject met een voorstelling van de kunstwerken is op verschillende plaatsen verkrijgbaar en kan ook gedownload worden van.
Сайт/Site : https://www.partcours-parkunst.com/
|
| 84) |
du jeudi 28 juin 2018 au samedi 7 juillet 2018
|
Catégorie : Opéra |
Type : Spectacle |
|
Opera Antwerpen, Frankrijklei 1, 2000 Antwerpen
De Speler (Sergej Prokofjev).
Opera « De Speler » Sergej Prokofjev (1891 — 1953). |
Duik met ons de Russische onderwereld in... Opera ballet Vlaanderen Een setting die aan David Lynch doet denken. Personages die aan de rand van de afgrond staan. Gokschulden, drankverslaving, achtervolgingswaanzin en een sadomasochistische liefdesrelatie waar iedereen aan tenonder gaat... Welkom in De Speler van Prokofjev. Een waanzinnig sterk verhaal van Fjodor Dostojevski, dat onder handen genomen wordt door Karin Henkel, de theaterregisseur van Duitsland momenteel. Samen met onze maestro van het Russische oeuvre Dmitri Jurowski achter de pupiter, duiken we voor onze laatste voorstelling de duistere wereld van het casino in... Zien we je daar?
Synopsis : Aleksej Ivanovitsj is een huisleraar in dienst van een Duitse generaal en zijn familie. Hij is het gezelschap gevolgd naar het mondaine kuuroord Roulettenburg. Zowel de generaal als zijn aantrekkelijke stiefdochter Polina hopen op succes bij het spelen in de casino om zich vrij te kopen van een markies, bij wie ze beiden zwaar in de schulden staan. Aleksej is hopeloos verliefd op Polina en laat zich door haar gebruiken om fortuin te vergaren. Aanvankelijk loopt het fout. In het spel heeft Aleksej alles verloren bij een poging om Polina’s diamanten te verpanden en de opbrengst ervan te vergroten. Toch menen de generaal en zijn stiefdochter nog een andere troef achter de hand te hebben om aan geld te komen. Baboelenka, een rijke tante van de generaal, zou ernstig ziek zijn. Vader en stiefdochter wachten daarom vol spanning op een telegram met een overlijdensbericht. De generaal zou eindelijk een royale erfenis in handen krijgen en kunnen huwen met de demi-mondaine Blanche. Aleksej overtuigt Polina er intussen van dat als hij voor zichzelf speelt, hij alleen maar zal winnen. Voor haar is hij tot alles in staat, zo verklaart hij. Steeds weer laat hij zich door haar vernederen om haar liefde te winnen. Hij beseft dat de erfeniskwestie zijn kansen bij Polina kan dwarsbomen. Als Baboelenka’s fortuin de generaal effectief in de schoot zou vallen, dan kunnen niet alleen zijn schulden worden afgelost. De markies kan meteen aanspraken maken op Polina’s hand én een bruidschat. Baboelenka daagt in levende lijve op in Roulettenburg en ontkracht alle speculaties over een nakende dood. Ze is überhaupt niet van plan om de generaal financieel te helpen. Ze zet hem behoorlijk op zijn nummer. Alleen Aleksej wint haar vertrouwen en mag haar begeleiden naar het casino. Weerom zijn alle ogen op de huisleraar gericht: hij moet Baboelenka zo snel mogelijk doen ophouden met spelen. Maar de dame gaat helemaal op in het gokken en verspeelt zowat haar hele vermogen. Blanche verlaat de generaal, die niet eens de kans krijgt zijn tante ter verantwoording te roepen. Wanneer daarna blijkt dat de markies de schulden van de generaal heeft kwijtgescholden, komt Polina extra onder druk te staan. Ze verzoekt Andrej het bedrag, waarmee ze zich kan vrijkopen, bij elkaar te krijgen. In het casino wint Andrej keer op keer en laat hij de bank verschillende keren springen. Maar uiteindelijk wil Polina zijn immense sommen geld niet: ze is niet te koop. Een intussen gokverslaafde Andrej werpt zich opnieuw op het spel.
Kaarten : €14 - €127 Bestellen of meer info : 070 22 02 02 of info at operaballet.be
https://operaballet.be/nl/programma/2017-2018/de-speler https://www.operaballet.be/nl/het-huis/blog/gokschuld-en-boete-een-verslaafde-dostojevski-in-de-speler
En tournée :
|
| 85) |
du vendredi 29 juin 2018 au dimanche 8 juillet 2018
|
Catégorie : Enchères |
Type : Vente |
Drouot digital, CAZO, rue Edmond Valentin 12, F-75007 Paris
Première vente en ligne « Art et histoire russe ».
« Art et histoire russe » Drouot digital. | « Art et histoire russe » Première vente en ligne. |
Chers clients, Permettez nous de vous présenter notre première vente en ligne « Art et histoire russe ». Nous espérons que vous allez apprécier la possibilité de faire des enchères pendant plusieurs jours et à n’importe quelle heure. Notre vente aura lieu sur Drouot digital.
Art et l’histoire russe : livres illustrés, documents militaires et historiques (documents de l’armée Nord-Ouest de Général N.Youdenich, lettres de Son Altesse Princière Anatol Lieven, Manuscrit de la biographie de Baron Von Nicolas Budberg, les documents de Généraux P. Wrangel, E. Miller, N. Stogov, A. Von Liampe, P. Chnabel, A. Arkhangelsky ; les documents de NKVD et VTCHK, de l’armée de Général À. Vlassov ; les rares affiches militaires de 1918 à 1937 etc.), photographies, lithographies, cartes postales et aquarelle. Русское искусство и русская история : иллюстрированные книги, военные и исторические документы (документы Северо-Западной армии Генерала Н.Юденича, письма Светлейшего Князя Анатолия Ливена, Рукопись биографии Барона Николая Фон Будберга, документы Генералов Е. Миллера, Н. Стогова, П. Шнабеля, П. Шатилова и других ; документы НКВД и ВЧК ; редкие афишы времён Гражданской войны и периода эмиграции с 1918 по 1942гг.), фотографии, литографии, почтовые открытки, акварель.
Tous les lots de la vente seront visibles à l’étude sur rendez-vous. Si vous avez des difficultés pour votre première inscription ou pour faire vos enchères « en ligne », n’hésitez pas à nous contacter au +33 1 45 55 18 66 pour vous aidez dans vos démarches ou bien contacter directement drouot digital pour toute inscription au +33 1 47 70 75 10 En vous souhaitant bonne chance pendant vos enchères. Veuillez agréer, Mesdames, Messieurs, nos salutations distinguées.
Madame Tatiana Barysheva (Demidova), Spécialiste de l’art russe, t.barysheva at cazo.fr +33.6.82.92.82.32
Drouot digital : http://www.drouotonline.com" Catalogue : https://www.drouotonline.com/ventes/92911/art-et-histoire-russe?refurl=art-et-histoire-russe&offset=0&query=&lotGroupTheme=
|
| 86) |
du jeudi 14 juin 2018 au dimanche 15 juillet 2018
|
|
|
Russie
2018 FIFA World Cup™ tickets : impressive figures mark the closing of the current sales window.
 2018 FIFA World Cup™ tickets : impressive figures mark the closing of the current sales window. |
In cooperation with BST and BECI 2018 FIFA World Cup™ Russia 14 June - 15 July 2018 14 Jun 2018 - 18:00 Local time Group A Luzhniki Stadium, Moscow Russia - Saudi Arabia
19 Jun 2018 - 21:00 Local time Group A Saint Petersburg Stadium Russia - Egypt
4,905,169 tickets had been requested by fans from all over the world before the random selection draw sales period concluded at 12:00 Moscow time today. Since 5 December 2017, supporters have had a great opportunity to apply for tickets exclusively at FIFA.com/tickets, and anticipation for the 2018 FIFA World Cup™ in Russia this summer has been increasing steadily. Most of the applications have come from Russia (2,503,957 tickets requested), with Germany (338,414), Argentina (186,005), Mexico (154,611), Brazil (140,848), Poland (128,736), Spain (110,649), Peru (100,256), Colombia (87,786), USA (87,052) and the Netherlands (71,096) making up the top ten countries outside the host nation. Overall, international demand accounts for 49 per cent.
. . . . . . .
Cliquez sur le lien fifa.com ci-dessous pour lire la suite :
Сайт/Site : http://www.fifa.com/worldcup/news/y=2018/m=1/news=2018-fifa-world-cuptm-tickets-impressive-figures-mark-the-closing-of-t-2927411.html
|
| 87) |
du jeudi 14 juin 2018 au lundi 16 juillet 2018 de 14 à 00 heures
|
Catégorie : Coupe du monde |
Type : Sports |
Vogue Club Brussels, avenue du Port, 86C, 1000 Bruxelles
FiFA World Cup. Russia 2018.
 FiFA World Cup. Russia 2018. Ecran géant. |
Ecran géant Vous voulez vivre l'ambiance de la coupe du monde? Le Vogue Brussels vous invite à suivre les match sur grand écran et en terrasse! DJ's restauration
0478 45 47 61 / info at voguebrussels.be
|
| 88) |
du mardi 8 mai 2018 au mardi 31 juillet 2018
|
Catégorie : LIvre |
Type : Souscription |
Забытые герои Великой войны. Издание книги.
 Забытые герои Великой войны. Издание книги. |
Книга включает в себя более ста жизнеописаний героев Первой Мировой. В книгу также входит собрание фронтовой поэзии поэтов – участников Великой войны. В этом году исполняется 100 лет со дня окончания Первой Мировой войны. Второй Отечественной, как именовали её в России. Великой войны, важнейшей в истории нашей страны, войны, по окончанию которой достигнуты были бы её вековые геополитические цели, её государственный идеал. Войны, после победы в которой ни одна держава мира уже не могла бы соперничать с Россией. До этой победы нам не хватило считанных месяцев. «Ни к одной стране судьба не была так жестока, как к России. Её корабль пошёл ко дну, когда до гавани оставалось подать рукой», - говорил Уинстон Черчилль.
В 1918 г. Антанта не вспомнила о том, что главная заслуга в победе на Германией принадлежала России. Россия, преданная внешними союзниками и внутренними дезертирами, лежала в руинах, раздираемая развязанной большевиками гражданской войной, и была де-факто вычеркнута из числа стран-победительниц, лишена своей Победы.
В 1917 г. дезертиры, алкавшие превращения войны внешней в гражданскую, захватили власть в России. А захватив её, стали яростно бороться не только с героями, но и с памятью о них. На целое столетье Россия забыла своих великих полководцев и флотоводцев, выдающихся асов и героев-подводников, бравых кавалеристов и милосердных сестёр, простых солдат и полковых священников, женщин-ударниц и доблестное казачество… Военные кладбища и мемориалы были стёрты с лица земли, как враждебные новому строю, контрреволюционные. «Прокляты и убиты», - так называется знаменитый роман Виктора Астафьева о войне Второй Мировой. О героях войны первой можно было написать «Прокляты и забыты». Захваченная дезертирами Россия принуждена была забыть блестящих русских лётчиков Гильшера, Орлова, Крутеня, русскую Жанну Дарк Марию Бочкарёву, расстрелянную большевиками, первую шашку Империи генерала Ф.А. Келлера, доблестных солдат, отравленных газами, но отбивших атаку немцев на крепость Осовец, адмирала Эссена, сестру милосердия Римму Иванову, генералов Лечицкого, Щербачева, Плеве, Лохвицкого, гарнизон крепости Сморгонь, выдержавший беспримерную осаду в 810 дней, четырёх братьев Панаевых, отдавших жизни Отечеству, Дениса Давыдова Первой Мировой – атамана Пунина и многих-многих русских героев и героинь.
Сегодня героям Великой войны открывают памятники, но для России она по сей день остаётся забытой. По сей день мы остаёмся в долгу перед нашими славными героями и защитниками, доблестно сражавшимися за наше Отечество и погибавшими за него. Мы грешны перед ними – забвением. Власть дезертиров почти не оставила нам могил наших защитников, но не смогла истребить их имена со скрижалей русской славы. И сегодня пришла пора возвращать их, вспоминать и чтить, отдавая долг благодарной памяти и любви, восстанавливая утраченную нами с 1917 г. локтевую связь с нашими предками.
Этой цели служит книга « Забытые герои Великой войны », включающая в себя более ста жизнеописаний героев Первой Мировой. В книгу также входит собрание фронтовой поэзии поэтов – участников Великой войны. Издание снабжено значительным количеством иллюстраций. Книга « Забытые герои Великой войны » будет интересна всем неравнодушным к родной истории людям, а также, благодаря большой доступности изложения и лёгкости языка, весьма полезна только открывающим для себя русскую историю юным читателям. В год 100-летия окончания войны Россию и Русскую Армию не чтут, как победителей. Но именно победителями были наши офицеры и солдаты. И все, желающие почтить их память, могут сделать это, внеся любую небольшую лепту в поддержку издания книги « Забытые герои Великой войны » - нашего скромного венка на безвестные, уничтоженные могилы русских героев. И вновь я обращаюсь к вам, дорогие единомышленники : « ПОДДЕРЖИТЕ МОЙ ПРОЕКТ! » . 80 тысяч рублей, которые мы планируем собрать на Планете, необходимы для печати тиража книги. В эту сумму уже входят все наши расходы на корректуру, редактуру, вёрстку и дизайн книги, а также комиссии платформы и налоги.
Сбор средств на издание книги Поддержать проект Youtube vidéo : 138 vues au 8/05/2018 Ajoutée le 11 avr. 2018 par Голос-Эпохи.ТВ
https://planeta.ru/campaigns/pervayamirovaya https://www.youtube.com/watch?v=xHjvKNO0TNY
|
| 89) |
du mardi 26 juin 2018 au dimanche 12 août 2018 Vernissage op woensdag 13 juni om 18u00. Van woensdag to zondag - 12u00 tot 20u00
|
Catégorie : Histoire |
Type : Exposition |
Botanique
Revivre l'invasion russe de Prague avec Josef Koudelka.
 Video BRUZZ. Prague. Josef Koudelka krijgt zelf niet de kans om zijn foto|s te ontwikkelen. |
Il y a 50 ans, Josef Koudelka a pris part à la protestation pragoise contre l'Union soviétique. Il en a aussi gardé des photos qui sont à voir jusqu'au 12 juillet à Botanique. Met de medewerking van het Tsjechisch Centrum van Brussel, Magnum Photos en Aperture.
Naar aanleiding van de vijftigste verjaardag van de invasie van Praag door de Sovjettanks in 1968 verwelkomt de Botanique deze zomer een van de levende legendes van de hedendaagse fotografie. Josef Koudelka is de auteur van meerdere reeksen die vandaag een cultstatus hebben verworven. Dankzij zijn zwarte afdrukken, zijn strakke beeldinstellingen en zijn scherpe oog is hij onbetwistbaar één van de vaders van de humanistische fotografie. Vanaf 1971 was hij verbonden met het Agentschap Magnum en met Invasion Prague 1968 leverde hij het meeste journalistieke werk van zijn carrière. De bliksemsnelle militaire interventie van de sovjets in de straten van Praag in 1968, die de Tsjechische geschiedenis ingrijpend beïnvloedde, veranderde doorheen de lens van Koudelka in een universeel symbool van verzet. De beelden werden aanvankelijk anoniem gepubliceerd en hebben sindsdien de hele wereld afgereisd.
In 1968 is Koudelka dertig. Hij heeft net zijn studies als luchtvaartingenieur opgegeven om zich aan de fotografie te wijden. Tot dan is zijn werk vooral gewijd aan het theater en aan de zigeuners. Wanneer hij net is teruggekeerd van Roemenië, waar hij zigeuners is gaan fotograferen, wordt Praag ingenomen door de troepen van het Warschaupact. Hij is tegelijk waarnemer en deelnemer, en legt beelden vast van de tanks in de stad en van de bevolking die zich ertegen verzet. Hoewel ook andere fotografen deze episode toen hebben vastgelegd, is hij de enige die de essentie ervan met zoveel kracht en intensiteit heeft vertaald.
Zijn mythische beelden worden al snel symbolen van de strijd voor de vrijheid. Zonder dat hij ooit eerder nieuwsfoto’s had gemaakt, signeert Koudelka een reportage die zal uitgroeien tot een van de naoorlogse klassiekers. Hij werd opgemerkt door Elliott Erwitt die hem introduceerde bij het agentschap Magnum Photos. Zijn werk werd over de hele wereld verspreid en won talloze prestigieuze prijzen. Hij is echter verplicht om tot de jaren ’80 anoniem te blijven, ondanks deze internationale erkenning, om de veiligheid van zijn familie te beschermen. De beelden van de invasie van Praag verschijnen voor de eerste keer in Tsjechoslowakije in 1990, in het weekblad Respekt.
Deze tentoonstelling wordt georganiseerd in het kader van de Biënnale “Summer of Photography”.
5,50 €: volle prijs 4,50 €: senioren, studenten, groepen, JAP, Summer of Photography* 3,50 €: Bota’carte, schoolgroepen, werkzoekenden 2 €: Muzex
Сайт/Site : https://www.botanique.be/nl/tentoonstelling/josef-koudelka-invasion-prague-68
|
| 90) |
du lundi 27 novembre 2017 au mardi 27 novembre 2018 de 18h - 20h00
|
Catégorie : Histoire |
Type : Conférence |
Université Paris I, salle Halbwachs, rue de la Sorbonne 17, F-75005 Paris
Guerre et transferts culturels : l’exemple des campagnes de 1812-1814.
 Conférence de Marie-Pierre Rey => Guerre et transferts culturels : l’exemple des campagnes de 1812-1814. |
par Marie-Pierre Rey Séminaire : « L'idée russe **** aux idées occidentales" » 2017-2018. Le séminaire est organisé avec le soutien du CHSPM et du LabEx COMOD Organisateurs : Stéphanie Roza, Igor Sokologorsky, Thomas Van Der Hallen
Entrée libre sur inscription préalable : igorsokologorsky at yahoo.fr ; thomas.vanderhallen at gmail.com
Сайт/Site : https://www.facebook.com/events/1931127883880430
|
|
Calendrier /
Affiches du mois
|
Livre d'or →
consultation /
signature
|
Enquête →
besoins des contacts
|
Bordereau →
notice (réservé)
|
inscription |
Liens →
agenda similaires | livres-souvenirs
|