Russian cultural events calendar : FPPR - Assemblée générale statutaire 2018.

Calendrier d'événements à caractère culturel russe en Belgique
Календарь мероприятий, связанных с русской культурой в Бельгии
Agenda van gebeurtenissen met Russisch cultureel karakter in België

Recueil d'annonces d'événements fournies à titre indicatif!
Nous vous souhaitons d'y trouver les renseignements que vous recherchez et demandons votre indulgence pour toute erreur, inexactitude ou omission au niveau des renseignements publiés.
Pour toute modification/addition contacter par courriel  sacha underscore troiepolsky at yahoo dot fr  ou téléphone +32 (0)486 04 04 22

   

Vava Agenda/Calendar - cliquable days
Juin   previous arrow   2018   next arrow
Dim
Lun
Mar
Mer
Jeu
Ven
Sam
27
28
29
30
31
Mai  previous icon
Courant
next icon Juillet
Liste des intitulés d'événements

Liste

Album

Notice

Affiche
RC diaporama

Diapo
Postcard. Please add me to your mailing list
Rejoignez-nous   
[5.064 contacts]  
[6.577 notices]  
next arrow   array: (icoLivres), (icoArticles), (icoVidéos), (icoMailing), (icoGroupes2)   Éditions [520 livres sortis de presse]
next arrow   array: (icoLivres), (icoArticles), (icoVidéos), (icoMailing), (icoGroupes2)   Bibliographie [160 publications Internet ]
next arrow   array: (icoLivres), (icoArticles), (icoVidéos), (icoMailing), (icoGroupes2)   Vidéographie [196 vidéos mises en ligne]
next arrow   array: (icoLivres), (icoArticles), (icoVidéos), (icoMailing), (icoGroupes2)   Diffusion [138 billets envoyés aux contacts]
next arrow   array: (icoLivres), (icoArticles), (icoVidéos), (icoMailing), (icoGroupes2)   Groupes [74 sur réseaux sociaux]
NEXT   ANNONCES Événements du mois de juin de l'année 2018 [90] : - sans session : - afficher la première notice du mois en Layout Page la notice dont l'IDEvent - le mois est déterminé par le champ firstMonth de la notice - erreur si notice non trouvée dans le vecteur du mois passé par l'URL
)   le jeudi 7 juin 2018
     à 11 heures

Catégorie : Réunion Type : Associations 
Club Prince Albert, Salle Egmont, rue des Petits Carmes 20, 1000 Bruxelles
  FPPR - Assemblée générale statutaire 2018.
Invitation. FPPR - Assemblée générale statutaire. 2018-06-07
Assemblée générale statutaire 2018.
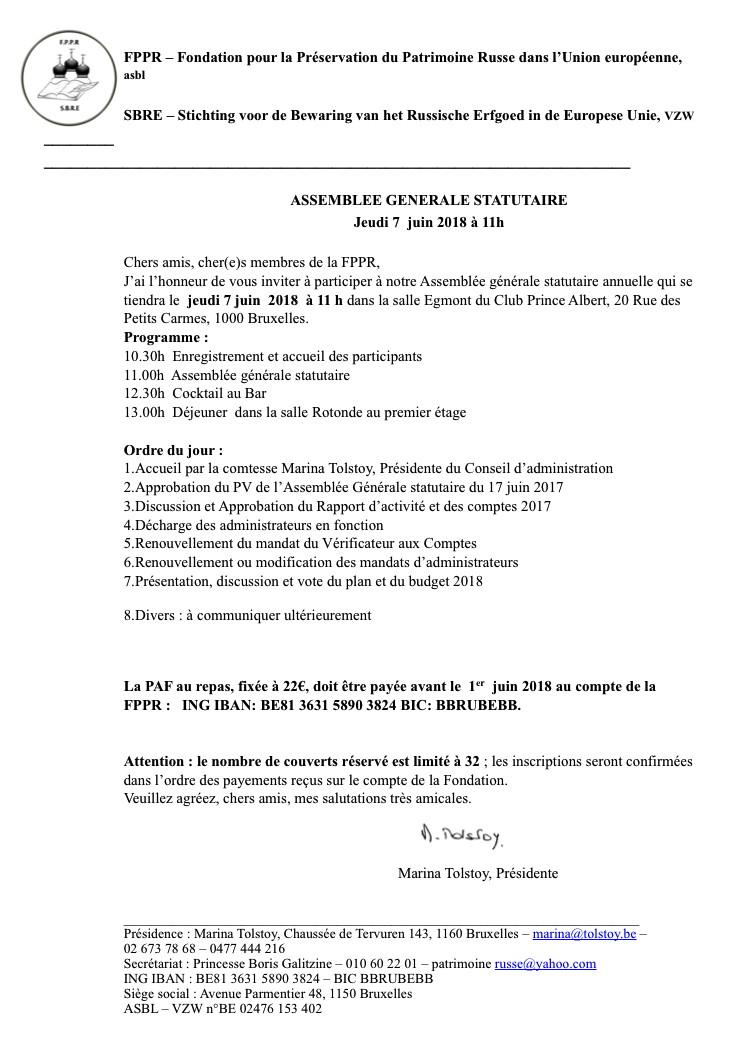
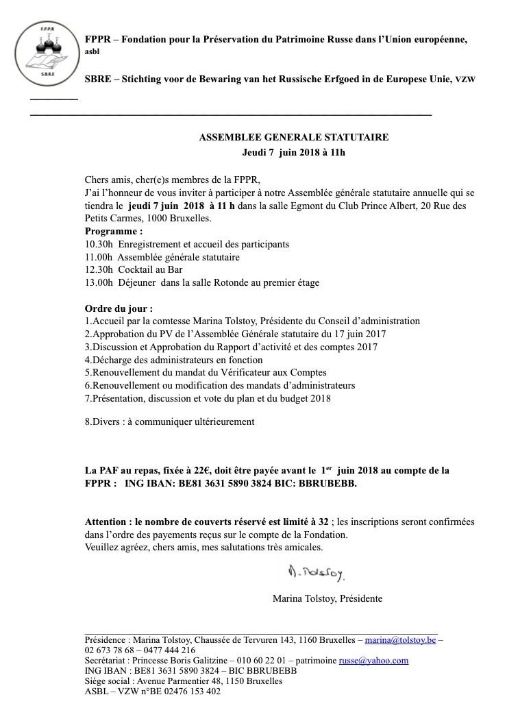
Fondation pour la Préservation du Patrimoine Russe dans l’Union européenne, asbl

Stichting voor de Bewaring van het Russische Erfgoed in de Europese Unie, VZW
FPPR – Fondation pour la Préservation du Patrimoine Russe dans l’Union européenne, asbl
SBRE – Stichting voor de Bewaring van het Russische Erfgoed in de Europese Unie, VZW
________ ___________________________________________________________________
Chers amis, cher(e)s membres de la FPPR,
J’ai l’honneur de vous inviter à participer à notre Assemblée générale statutaire annuelle qui se tiendra le jeudi 7 juin 2018 à 11 h dans la salle Egmont du Club Prince Albert, 20 Rue des Petits Carmes, 1000 Bruxelles.
Programme :
10.30h Enregistrement et accueil des participants
11.00h Assemblée générale statutaire
12.30h Cocktail au Bar
Ordre du jour :
1. Accueil par la comtesse Marina Tolstoy, Présidente du Conseil d’administration ;
2. Approbation du PV de l’Assemblée Générale statutaire du 17 juin 2017 ;
3. Discussion et Approbation du Rapport d’activité et des comptes 2017 ;
4. Décharge des administrateurs en fonction ;
5. Renouvellement du mandat du Vérificateur aux Comptes ;
6. Renouvellement ou modification des mandats d’administrateurs ;
7. Présentation, discussion et vote du plan et du budget 2018 ;
8. Divers : à communiquer ultérieurement.
Veuillez agréez, chers amis, mes salutations très amicales.
Marina Tolstoy, Présidente

Présidence : Marina Tolstoy, Chaussée de Tervuren 143, 1160 Bruxelles – marina at tolstoy.be – 02 673 78 68 – 0477 444 216
Secrétariat : Princesse Boris Galitzine – 010 60 22 01 – patrimoine russe at yahoo.com ING IBAN : BE81 3631 5890 3824 – BIC BBRUBEBBS
Siège social : Avenue Parmentier 48, 1150 Bruxelles | ASBL – VZW n°BE 02476 153 402

1) du dimanche 10 juin 2018 au lundi 0000
Отчётный концерт « Цирк, цирк, цирк ». Concert de fin d'année.
2) le vendredi 1 juin 2018
Bicentenaire de la naissance d’Ivan Tourgueniev.
3) le vendredi 1 juin 2018
Poësie op muziek als bloesems midden de terreur. Wij Kleuren Rood Liefde Versus Oorlog.
4) du samedi 2 juin 2018 au dimanche 3 juin 2018
Concert chorale et orchestre - Saison russe.
5) le samedi 2 juin 2018
In de Wandelgangen van het Geheugen.
6) le samedi 2 juin 2018
Les concerts du Trésor : Darina Vasileva et Peter Petrov.
7) le samedi 2 juin 2018
SJOOT.
8) le samedi 2 juin 2018
Sur la grande-route d'Anton Tchekhov.
9) le samedi 2 juin 2018
Vente Art russe.
10) du samedi 2 juin 2018 au dimanche 3 juin 2018
Автобусная экскурсия : Прекрасный Париж.
11) le samedi 2 juin 2018
Вечер/лекция писательницы Татьяны Толстой.
12) le samedi 2 juin 2018
Праздничный вечер « Спаси и сохрани ».
13) le dimanche 3 juin 2018
Atelier de langue russe.
14) le dimanche 3 juin 2018
Семейное занятие в музее « Игрушечная история ».
15) le lundi 4 juin 2018
A la recherche d’un messie : Barbusse, Merejkovski, Robakidze.
16) le mardi 5 juin 2018
France, le moment politique, sous titré : manifeste écologique et social.
17) le mercredi 6 juin 2018
Movie Sobibor. Собибор.
18) le mercredi 6 juin 2018
Экскурсия « Эпоха перемен. Питер Брейгель Мужицкий ».
19) le jeudi 7 juin 2018
Au cœur du Kremlin.
20) le jeudi 7 juin 2018
FPPR - Assemblée générale statutaire 2018.
21) le jeudi 7 juin 2018
Opera in de Cinema : Boris Godounov.
22) le vendredi 8 juin 2018
Pouchkine, le poète de l’âme russe à jamais célébré.
23) le samedi 9 juin 2018
Commémoration de l'anniversaire d'Alexandre Pouchkine.
24) le samedi 9 juin 2018
Table de conversation russe.
25) le samedi 9 juin 2018
Всё, что вы хотели узнать о ведении вашего бизнеса в Бельгии, но не знали у кого спросить
 
FincomAudit на Clos du Parnasse, Европейский квартал, 1050 Bruxelles (Ixelles)
26) le samedi 9 juin 2018
Один мужчина и одна женщина.
27) le dimanche 10 juin 2018
Atelier de langue russe.
28) le dimanche 10 juin 2018
Ballet Live 2018 : Coppélia.
29) le dimanche 10 juin 2018
Маастрихт с Владимиром Рониным.
30) du lundi 11 juin 2018 au dimanche 17 juin 2018
Неделя открытых занятий в Импульс.
31) le mardi 12 juin 2018
Orchestre national de Belgique & Daniil Trifonov
32) du jeudi 19 avril 2018 au mercredi 13 juin 2018
Tentoonstelling Schilderkunst. Aki Kuroda (en Marcin Sobolev).
33) du mercredi 13 juin 2018 au mardi 19 juin 2018
De Speler (Sergej Prokofjev).
34) du mercredi 13 juin 2018 au samedi 16 juin 2018
Exposition d'artistes Ossétes. Выставка осетинских художников.
35) le mercredi 13 juin 2018
Soirée russe.
36) le jeudi 14 juin 2018
Coupe du monde 2018. Groupe A. Russie - Arabie Saoudite.
37) le jeudi 14 juin 2018
Juin 2018 => SUITE Calendrier d'événements à caractère culturel russe.
38) le jeudi 14 juin 2018
Over : Moscou.
 
JoS, Eugeen Dierckxlaan 24, 2970 Schilde
39) le jeudi 14 juin 2018
Un regard russe sur le front de l’Yser.
40) le vendredi 15 juin 2018
Netwerkfilm : The Death of Stalin.
41) du vendredi 15 juin 2018 au dimanche 17 juin 2018
Даосские практики для женщин.
42) du samedi 16 juin 2018 au dimanche 17 juin 2018
Asbl Salon Polonais RDV weekend 16-17/06.
43) du samedi 16 juin 2018 au dimanche 17 juin 2018
Автобусная экскурсия Франция - остров Le Mont Saint-Michel - 2 дня. Excursion de 2 jours en France au Mont-Saint-Michel.
44) le samedi 16 juin 2018
Экскурсия « Рубенс в Антверпене ».
 
Место встречи – Дом-музей Рубенса (улица Wapper 9-11), 2000 Antwerpen
45) le dimanche 17 juin 2018
Aperitiefconcert Gaudeamus.
46) le dimanche 17 juin 2018
Atelier de langue russe.
47) le lundi 18 juin 2018
Table ronde entre les sociétés russophones et belges.
 
Association Meridian (Liège)
48) le lundi 18 juin 2018
Voordracht DCV « Rusland ».
49) le mardi 19 juin 2018
Coupe du monde 2018. Groupe A : Egypte - Russie.
 
Saint-Pétersbourg
50) le mardi 19 juin 2018
Grands classiques russes : M. Glinka, S. Rachmaninov, M. Hypollitov-Ivanov
51) le mardi 19 juin 2018
Récital chant-piano : « Beauté et sourire de la Mélodie française ».
52) le mardi 19 juin 2018
Последние битвы Императорского флота.
53) le mercredi 20 juin 2018
La Russie : Quelles perspectives économiques ? Quelles relations commerciales avec la Belgique?
54) le jeudi 21 juin 2018
Concert de musique classique + apéro
55) le jeudi 21 juin 2018
Over : Siberië.
 
JoS, Eugeen Dierckxlaan 24, 2970 Schilde
56) le jeudi 21 juin 2018
Встреча с сотрудниками Посольства Республики Беларусь в Бельгии.
57) du jeudi 21 juin 2018 au mardi 26 juin 2018
Конкурс по гамбурскому счёту.
58) le vendredi 22 juin 2018
Arrhythmia — Аритмия.
59) le vendredi 22 juin 2018
Bakounine dans la noblesse russe, sa vie, sa famille, ses qualités.
60) le vendredi 22 juin 2018
Poësie op muziek als bloesems midden de terreur. Wij Kleuren Rood Liefde Versus Oorlog.
61) le samedi 23 juin 2018
Ateliers et programme éducatif pour enfants.
 
À la tradition populaire, chemin Michel Gobiet 1, 4000 Liège
62) le samedi 23 juin 2018
Concert van de beroemde folk-rockband uit Rusland « The Siblings" » (Rybińsk-Volga),
 
Galerie van Washboard Art & Jazz Café, Brusselstraat 5, 2018 Antwerpen
63) le samedi 23 juin 2018
Journée russe. Благотворительный базар.
64) le samedi 23 juin 2018
Table de conversation russe.
65) le samedi 23 juin 2018
Закрытие сезона! « БАРД-КЛУБЕНЬ ».
66) le dimanche 24 juin 2018
Concert symphonique
67) le dimanche 24 juin 2018
«  Sayani » République Touva - Russie.
68) le lundi 25 juin 2018
Beiaardconcert Nikita Gratchev.
 
Cultuurplein, Minderbroedersgang 5, 2800 Mechelen
69) le lundi 25 juin 2018
Coupe du monde 2018. Groupe A : Uruguay - Russie.
 
Iekaterinbourg
70) le lundi 25 juin 2018
L'affrontement USA-URSS dans la course à la lune.
71) le lundi 25 juin 2018
К 100-летию гражданской войны. Интервью Александра Колпакиди. СolonelСassad.
72) le mardi 26 juin 2018
An Analysis of Energy Security and Geo-economics.
73) le mardi 26 juin 2018
An Anti-Bolshevik Alternative : The White Movement and the Civil War in the Russian North.
74) le mardi 26 juin 2018
Concerts de carillon de la Cathédrale Saint-Paul de Liège 2018 - année de la Russie.
75) le mercredi 27 juin 2018
Arrhythmia — Аритмия.
76) le mercredi 27 juin 2018
Les Sylphides. Le mariage d'Aurore.
77) le mercredi 27 juin 2018
Récital chant-piano : « Beauté et sourire de la Mélodie française ».
78) le jeudi 28 juin 2018
Cases russes. Album.
79) le jeudi 28 juin 2018
Les Sylphides & Aurora’s Wedding on the stage The Kingdom of Belgium.
80) du vendredi 29 juin 2018 au samedi 30 juin 2018
Hermitage Fine Art summer auction 2018.
81) le vendredi 29 juin 2018
Les Sylphides. Le mariage d'Aurore.
82) le samedi 30 juin 2018
A Night of One-Act Ballet.
83) du dimanche 22 avril 2018 au dimanche 1 juillet 2018
Troisième édition de P(ART)cours / Par(KUNST), biennale d’art contemporain en plein air.
84) du jeudi 28 juin 2018 au samedi 7 juillet 2018
De Speler (Sergej Prokofjev).
85) du vendredi 29 juin 2018 au dimanche 8 juillet 2018
Première vente en ligne « Art et histoire russe ».
86) du jeudi 14 juin 2018 au dimanche 15 juillet 2018
2018 FIFA World Cup™ tickets : impressive figures mark the closing of the current sales window.
87) du jeudi 14 juin 2018 au lundi 16 juillet 2018
FiFA World Cup. Russia 2018.
88) du mardi 8 mai 2018 au mardi 31 juillet 2018
Забытые герои Великой войны. Издание книги.
89) du mardi 26 juin 2018 au dimanche 12 août 2018
Revivre l'invasion russe de Prague avec Josef Koudelka.
90) du lundi 27 novembre 2017 au mardi 27 novembre 2018
Guerre et transferts culturels : l’exemple des campagnes de 1812-1814.


Calendrier / Affiches du mois | Livre d'or → consultation / signature | Enquête → besoins des contacts | Bordereau → notice (réservé) | inscription | Liens → agenda similaires | livres-souvenirs

In memoriam Варвара Фёдоровна Протасова, Орёлъ, Россiя (1867-11-10 - 1942-08-23)